Последнее обновление :
17/12/2025
Цитостатическое средство   Cyclophosphamide  
Инъекция
Капсула Раствор для перорального приёма
Стабильность растворов Стабильность смесей Факторы, которые влияют на стабильность Совместимость Способы введения Библиография pdf
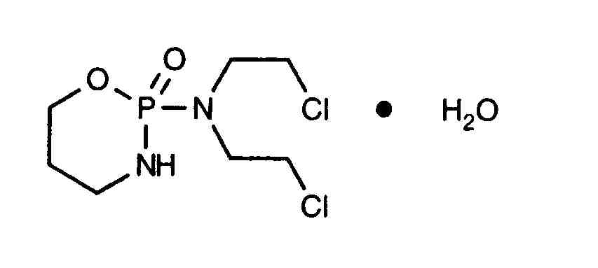
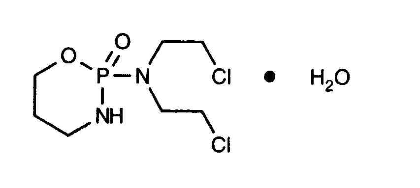
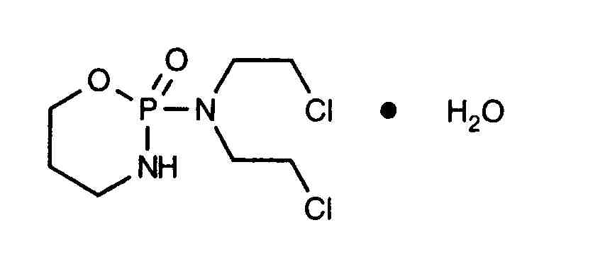
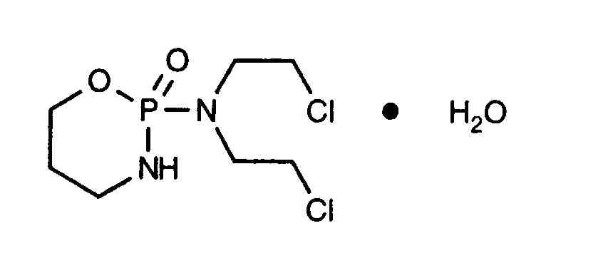
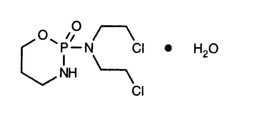
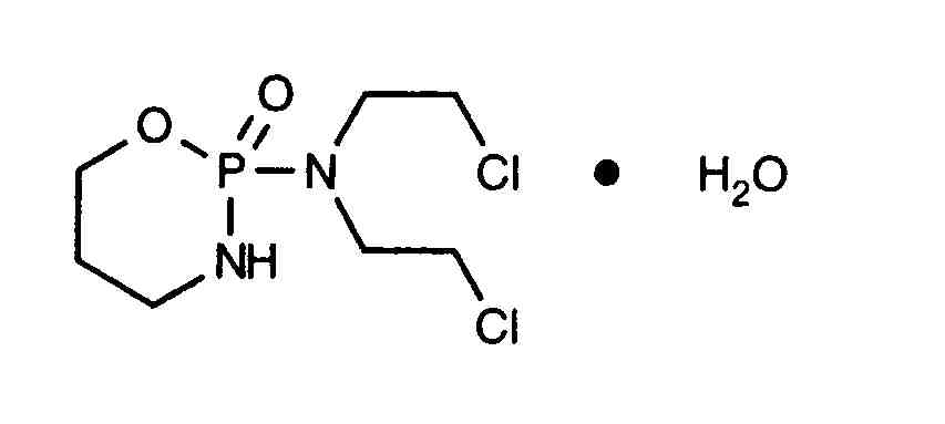
   Химическая структура  

Товарное название   Товарное название     

Trade names are indicative and excipients composition can be different depending on the country and manufacturers

Alkyloxan Египет, Малайзия
Celomide Индия
Ciclofosfamida Аргентина, Румыния, чили
Cicloxal Испания
Cryofaxol Мексика
Cycloblastin Австралия
Cycloblastine Голландия
Cyclophosphamid Германия, Дания
Cyclophosphamide Великобритания, новая Зеландия, Саудовская Аравия, Соединённые Штаты Америки
Cyclostin Германия
Cycloxan Малайзия
Cycram Египет
Cytoxan Венгрия, Канада, Соединённые Штаты Америки
Eldamide Индия
Endoxan Австралия, Австрия, Бельгия, Венгрия, Венесуэла, Германия, Голландия, Греция, Индия, Иран, Италия, Колумбия, Люксембург, Марокко, новая Зеландия, Объединенные Арабские Эмираты, Польша, Португалия, Саудовская Аравия, Словения, Таиланд, Тунис, Турция, Франция, Хорватия, чили, Швейцария, Эквадор
Endoxana Великобритания, Ирландия
Formitex Колумбия, Мексика
Genoxal Испания
Genuxal Бразилия
Hidrofosmin Мексика
Ledoxan Колумбия
Ledoxina Колумбия, Мексика
Neophos Египет
Neosar Соединённые Штаты Америки
Procytox Канада
Sendoxan Дания, Исландия, Норвегия, Финляндия, Швеция
Syklofosfamid Турция, Финляндия

Факторы, которые влияют на стабильность   Инъекция   Факторы, которые влияют на стабильность : Cyclophosphamide        
Ссылки
Температура Повышение, увеличение Стимулирует Деградация 172
Температура >70°C Стимулирует Деградация 170

  Mentions Légales