Последнее обновление :
18/03/2026
Цитостатическое средство   Cyclophosphamide  
Инъекция
Капсула Раствор для перорального приёма
Стабильность растворов Стабильность смесей Факторы, которые влияют на стабильность Совместимость Способы введения Библиография pdf
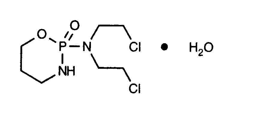
   Химическая структура  

Товарное название   Товарное название     

Trade names are indicative and excipients composition can be different depending on the country and manufacturers

Alkyloxan Египет, Малайзия
Celomide Индия
Ciclofosfamida Аргентина, Румыния, чили
Cicloxal Испания
Cryofaxol Мексика
Cycloblastin Австралия
Cycloblastine Голландия
Cyclophosphamid Германия, Дания
Cyclophosphamide Великобритания, новая Зеландия, Саудовская Аравия, Соединённые Штаты Америки
Cyclostin Германия
Cycloxan Малайзия
Cycram Египет
Cytoxan Венгрия, Канада, Соединённые Штаты Америки
Eldamide Индия
Endoxan Австралия, Австрия, Бельгия, Венгрия, Венесуэла, Германия, Голландия, Греция, Индия, Иран, Италия, Колумбия, Люксембург, Марокко, новая Зеландия, Объединенные Арабские Эмираты, Польша, Португалия, Саудовская Аравия, Словения, Таиланд, Тунис, Турция, Франция, Хорватия, чили, Швейцария, Эквадор
Endoxana Великобритания, Ирландия
Formitex Колумбия, Мексика
Genoxal Испания
Genuxal Бразилия
Hidrofosmin Мексика
Ledoxan Колумбия
Ledoxina Колумбия, Мексика
Neophos Египет
Neosar Соединённые Штаты Америки
Procytox Канада
Sendoxan Дания, Исландия, Норвегия, Финляндия, Швеция
Syklofosfamid Турция, Финляндия
Стабильность смесей   Инъекция   Стабильность смесей : Cyclophosphamide     
Упаковка Растворитель Концентрация Молекула Температура Хранение Продолжительность стабильности Ссылки
Стекло Вода для инъекций 1 mg/ml
Инъекция   Cyclophosphamide   
Инъекция   Granisetron hydrochloride 0,5 mg/ml
20°C-23°C
4 Час
Свет 57
Уровень доказательности A +
Стекло Глюкоза 5% 10 mg/ml
Инъекция   Cyclophosphamide   
Инъекция   Palonosetron hydrochloride 50 µg/ml
25°C
4 Час
Свет 2016
Уровень доказательности A +
Поливинилхлорид Натрия хлорид 0,9% 1 mg/ml
Инъекция   Cyclophosphamide   
Инъекция   Mesna 0,2 & 1 mg/ml
20°C
24 Час
Свет 2104
Уровень доказательности D
Поливинилхлорид Натрия хлорид 0,9% 5 mg/ml
Инъекция   Cyclophosphamide   
Инъекция   Mesna 1 mg/ml
20°C
24 Час
Свет 2104
Уровень доказательности D
Поливинилхлорид Натрия хлорид 0,9% 10 mg/ml
Инъекция   Cyclophosphamide   
Инъекция   Mesna 2 & 10 mg/ml
20°C
24 Час
Свет 2104
Уровень доказательности D
Поливинилхлорид Натрия хлорид 0,9% 0,3 mg/ml
Инъекция   Cyclophosphamide   
Инъекция   Ondansetron hydrochloride 0,05 mg/ml
23°C-25°C
4 День
Свет 50
Уровень доказательности B
Поливинилхлорид Натрия хлорид 0,9% 2 mg/ml
Инъекция   Cyclophosphamide   
Инъекция   Ondansetron hydrochloride 0,4 mg/ml
23°C-25°C
4 День
Свет 50
Уровень доказательности B
Поливинилхлорид Натрия хлорид 0,9% 0,3 mg/ml
Инъекция   Cyclophosphamide   
Инъекция   Ondansetron hydrochloride 0,05 mg/ml
4°C
8 День
Свет 50
Уровень доказательности B
Поливинилхлорид Натрия хлорид 0,9% 2 mg/ml
Инъекция   Cyclophosphamide   
Инъекция   Ondansetron hydrochloride 0,4 mg/ml
4°C
8 День
Свет 50
Уровень доказательности B
Поливинилхлорид Глюкоза 5% 0,3 mg/ml
Инъекция   Cyclophosphamide   
Инъекция   Ondansetron hydrochloride 0,05 mg/ml
23°C-25°C
4 День
Свет 50
Уровень доказательности B
Поливинилхлорид Глюкоза 5% 2 mg/ml
Инъекция   Cyclophosphamide   
Инъекция   Ondansetron hydrochloride 0,4 mg/ml
23°C-25°C
4 День
Свет 50
Уровень доказательности B
Поливинилхлорид Глюкоза 5% 0,3 mg/ml
Инъекция   Cyclophosphamide   
Инъекция   Ondansetron hydrochloride 0,05 mg/ml
4°C
8 День
Свет 50
Уровень доказательности B
Поливинилхлорид Глюкоза 5% 2 mg/ml
Инъекция   Cyclophosphamide   
Инъекция   Ondansetron hydrochloride 0,4 mg/ml
4°C
8 День
Свет 50
Уровень доказательности B
Полиэтилен Глюкоза 5% 1,8 mg/ml
Инъекция   Cyclophosphamide   
Инъекция   Mesna 0,54 mg/ml
22°C
6 Час
Свет 1833
Уровень доказательности D
Полиэтилен Глюкоза 5% 10,8 mg/ml
Инъекция   Cyclophosphamide   
Инъекция   Mesna 3,2 mg/ml
22°C
24 Час
Свет 1833
Уровень доказательности D
Полиэтилен Глюкоза 5% 10,8 mg/ml
Инъекция   Cyclophosphamide   
Инъекция   Mesna 3,2 mg/ml
4°C
48 Час
Не указано 1833
Уровень доказательности D
Полиэтилен Глюкоза 5% 1,8 mg/ml
Инъекция   Cyclophosphamide   
Инъекция   Mesna 0,54 mg/ml
4°C
48 Час
Не указано 1833
Уровень доказательности D
Не указано Натрия хлорид 0,9% 10 mg/ml
Инъекция   Cyclophosphamide   
Инъекция   Topotecan 0,028 mg/ml
20°C-23°C
4 Час
Свет 1026
Уровень доказательности C
Не указано Глюкоза 5% 10 mg/ml
Инъекция   Cyclophosphamide   
Инъекция   Topotecan 0,028 mg/ml
20°C-23°C
4 Час
Свет 1026
Уровень доказательности C

  Mentions Légales