Τελευταία ενημέρωση :
17/12/2025
φάρμακο κατά του καρκίνου   Cyclophosphamide  
Ενέσιμο
Κάψουλα Πόσιμο διάλυμα
Σταθερότητα διαλυμάτων Σταθερότητα σε μίγματα Παράγοντας που επηρεάζει τη σταθερότητα Συμβατότητες Τρόπος χορήγησης Βιβλιογραφία pdf
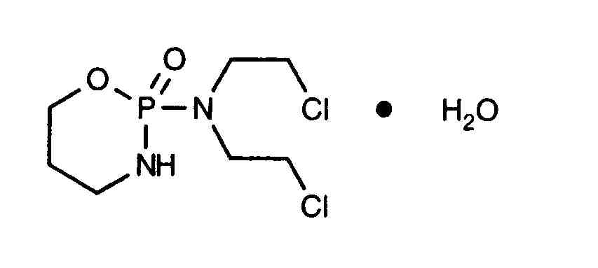
   χημική δομή  

Εμπορική ονομασία   Εμπορική ονομασία     

Οι εμπορικές ονομασίες είναι ενδεικτικές και η σύνθεση των εκδόχων μπορεί να διαφέρει ανάλογα με τη χώρα και τα εργαστήρια

Alkyloxan Αίγυπτος, Μαλαισία
Celomide Ινδία
Ciclofosfamida Αργεντινή, Ρουμανία, Χιλή
Cicloxal Ισπανία
Cryofaxol Μεξικό
Cycloblastin Αυστραλία
Cycloblastine Ολλανδία
Cyclophosphamid Γερμανία, Δανία
Cyclophosphamide Η.Π.Α., Μεγάλη Βρετανία, νέα Ζηλανδία, Σαουδική Αραβία
Cyclostin Γερμανία
Cycloxan Μαλαισία
Cycram Αίγυπτος
Cytoxan Η.Π.Α., Καναδάς, Ουγγαρία
Eldamide Ινδία
Endoxan Yhdistyneet arabiemiirikunnat, Αυστραλία, Αυστρία, Βέλγιο, Βενεζουέλα, Γαλλία, Γερμανία, Εκουαδόρ, Ελβετία, Ελλάδα, Ινδία, Ιράν, Ιταλία, Κολομβία, Κροατία, Λουξεμβούργο, Μαρόκο, νέα Ζηλανδία, Ολλανδία, Ουγγαρία, Πολωνία, Πορτογαλία, Σαουδική Αραβία, Σλοβενία, Ταϊλάνδη, Τουρκία, Τυνησία, Χιλή
Endoxana Ιρλανδία, Μεγάλη Βρετανία
Formitex Κολομβία, Μεξικό
Genoxal Ισπανία
Genuxal Βραζιλία
Hidrofosmin Μεξικό
Ledoxan Κολομβία
Ledoxina Κολομβία, Μεξικό
Neophos Αίγυπτος
Neosar Η.Π.Α.
Procytox Καναδάς
Sendoxan Δανία, Ισλανδία, Νορβηγία, Σουηδία, Φινλανδία
Syklofosfamid Τουρκία, Φινλανδία
Σταθερότητα σε μίγματα   Ενέσιμο   Σταθερότητα σε μίγματα : Cyclophosphamide     
Υποδοχέας Διαλυτικό Συγκέντρωση Συστατικό Θερμοκρασία Αποθήκευση Διάρκεια σταθερότητας Βιβλιογραφία
Ύαλος Ενέσιμο ύδωρ 1 mg/ml
Ενέσιμο   Cyclophosphamide   
Ενέσιμο   Granisetron hydrochloride 0,5 mg/ml
20°C-23°C
4 Ώρα
Φως 57
Επίπεδο των αποδεικτικών στοιχείων A+
Ύαλος Γλυκόζη 5% 10 mg/ml
Ενέσιμο   Cyclophosphamide   
Ενέσιμο   Palonosetron hydrochloride 50 µg/ml
25°C
4 Ώρα
Φως 2016
Επίπεδο των αποδεικτικών στοιχείων A+
Πολυβινυλοχλωρίδιο Χλωριούχο νάτριο 0,9% 1 mg/ml
Ενέσιμο   Cyclophosphamide   
Ενέσιμο   Mesna 0,2 & 1 mg/ml
20°C
24 Ώρα
Φως 2104
Επίπεδο των αποδεικτικών στοιχείων D
Πολυβινυλοχλωρίδιο Χλωριούχο νάτριο 0,9% 5 mg/ml
Ενέσιμο   Cyclophosphamide   
Ενέσιμο   Mesna 1 mg/ml
20°C
24 Ώρα
Φως 2104
Επίπεδο των αποδεικτικών στοιχείων D
Πολυβινυλοχλωρίδιο Χλωριούχο νάτριο 0,9% 10 mg/ml
Ενέσιμο   Cyclophosphamide   
Ενέσιμο   Mesna 2 & 10 mg/ml
20°C
24 Ώρα
Φως 2104
Επίπεδο των αποδεικτικών στοιχείων D
Πολυβινυλοχλωρίδιο Χλωριούχο νάτριο 0,9% 0,3 mg/ml
Ενέσιμο   Cyclophosphamide   
Ενέσιμο   Ondansetron hydrochloride 0,05 mg/ml
23°C-25°C
4 Ημέρα
Φως 50
Επίπεδο των αποδεικτικών στοιχείων B
Πολυβινυλοχλωρίδιο Χλωριούχο νάτριο 0,9% 2 mg/ml
Ενέσιμο   Cyclophosphamide   
Ενέσιμο   Ondansetron hydrochloride 0,4 mg/ml
23°C-25°C
4 Ημέρα
Φως 50
Επίπεδο των αποδεικτικών στοιχείων B
Πολυβινυλοχλωρίδιο Χλωριούχο νάτριο 0,9% 0,3 mg/ml
Ενέσιμο   Cyclophosphamide   
Ενέσιμο   Ondansetron hydrochloride 0,05 mg/ml
4°C
8 Ημέρα
Φως 50
Επίπεδο των αποδεικτικών στοιχείων B
Πολυβινυλοχλωρίδιο Χλωριούχο νάτριο 0,9% 2 mg/ml
Ενέσιμο   Cyclophosphamide   
Ενέσιμο   Ondansetron hydrochloride 0,4 mg/ml
4°C
8 Ημέρα
Φως 50
Επίπεδο των αποδεικτικών στοιχείων B
Πολυβινυλοχλωρίδιο Γλυκόζη 5% 0,3 mg/ml
Ενέσιμο   Cyclophosphamide   
Ενέσιμο   Ondansetron hydrochloride 0,05 mg/ml
23°C-25°C
4 Ημέρα
Φως 50
Επίπεδο των αποδεικτικών στοιχείων B
Πολυβινυλοχλωρίδιο Γλυκόζη 5% 2 mg/ml
Ενέσιμο   Cyclophosphamide   
Ενέσιμο   Ondansetron hydrochloride 0,4 mg/ml
23°C-25°C
4 Ημέρα
Φως 50
Επίπεδο των αποδεικτικών στοιχείων B
Πολυβινυλοχλωρίδιο Γλυκόζη 5% 0,3 mg/ml
Ενέσιμο   Cyclophosphamide   
Ενέσιμο   Ondansetron hydrochloride 0,05 mg/ml
4°C
8 Ημέρα
Φως 50
Επίπεδο των αποδεικτικών στοιχείων B
Πολυβινυλοχλωρίδιο Γλυκόζη 5% 2 mg/ml
Ενέσιμο   Cyclophosphamide   
Ενέσιμο   Ondansetron hydrochloride 0,4 mg/ml
4°C
8 Ημέρα
Φως 50
Επίπεδο των αποδεικτικών στοιχείων B
Πολυαιθυλένιο Γλυκόζη 5% 1,8 mg/ml
Ενέσιμο   Cyclophosphamide   
Ενέσιμο   Mesna 0,54 mg/ml
22°C
6 Ώρα
Φως 1833
Επίπεδο των αποδεικτικών στοιχείων D
Πολυαιθυλένιο Γλυκόζη 5% 10,8 mg/ml
Ενέσιμο   Cyclophosphamide   
Ενέσιμο   Mesna 3,2 mg/ml
22°C
24 Ώρα
Φως 1833
Επίπεδο των αποδεικτικών στοιχείων D
Πολυαιθυλένιο Γλυκόζη 5% 10,8 mg/ml
Ενέσιμο   Cyclophosphamide   
Ενέσιμο   Mesna 3,2 mg/ml
4°C
48 Ώρα
Απροσδιόριστο 1833
Επίπεδο των αποδεικτικών στοιχείων D
Πολυαιθυλένιο Γλυκόζη 5% 1,8 mg/ml
Ενέσιμο   Cyclophosphamide   
Ενέσιμο   Mesna 0,54 mg/ml
4°C
48 Ώρα
Απροσδιόριστο 1833
Επίπεδο των αποδεικτικών στοιχείων D
Απροσδιόριστο Χλωριούχο νάτριο 0,9% 10 mg/ml
Ενέσιμο   Cyclophosphamide   
Ενέσιμο   Topotecan 0,028 mg/ml
20°C-23°C
4 Ώρα
Φως 1026
Επίπεδο των αποδεικτικών στοιχείων C
Απροσδιόριστο Γλυκόζη 5% 10 mg/ml
Ενέσιμο   Cyclophosphamide   
Ενέσιμο   Topotecan 0,028 mg/ml
20°C-23°C
4 Ώρα
Φως 1026
Επίπεδο των αποδεικτικών στοιχείων C

  Mentions Légales