Viimeisin päivitys :
18/03/2026
syöpälääke   Cyclophosphamide  
Injektioneste
Kapseli Oraaliliuos
Stabilius liuoksessa Stabilius seoksissa Tekijät, jotka vaikuttavat stabiliuteen Yhteensopivuus Antotapa Viitteet pdf
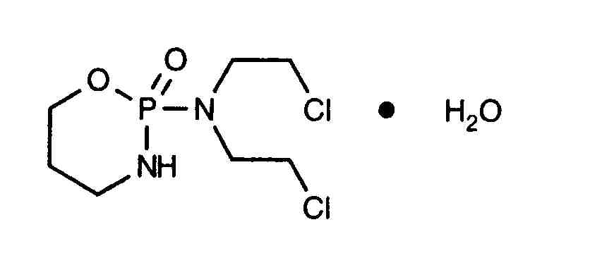
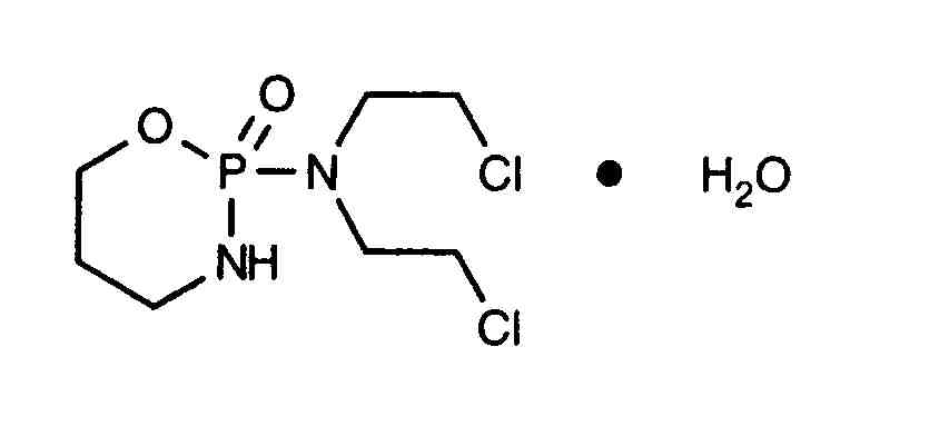
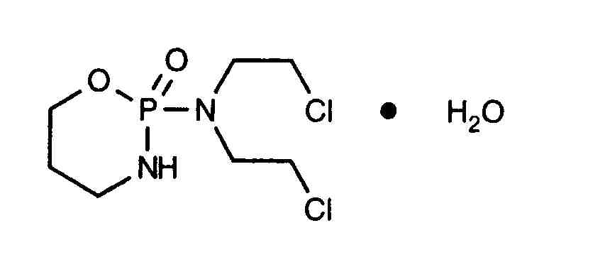
   Kemiallinen rakenne  

Kauppanimi   Kauppanimi     

Trade names are indicative and excipients composition can be different depending on the country and manufacturers

Alkyloxan Egypti, Malesia
Celomide Intia
Ciclofosfamida Argentiina, Chile, Romania
Cicloxal Espanja
Cryofaxol Meksiko
Cycloblastin Australia
Cycloblastine Hollanti
Cyclophosphamid Saksa, Tanska
Cyclophosphamide Iso-Britannia, New Zealand, Saudi-Arabia, Yhdysvallat
Cyclostin Saksa
Cycloxan Malesia
Cycram Egypti
Cytoxan Kanada, Unkari, Yhdysvallat
Eldamide Intia
Endoxan Australia, Belgia, Chile, Ecuador, Hollanti, Intia, Iran, Italia, Itävalta, Kolumbia, Kreikka, Kroatia, Luxemburg, Marokko, New Zealand, Portugali, Puola, Ranska, Saksa, Saudi-Arabia, Slovenia, Sveitsi, Thaimaa, Tunisia, Turkki, Unkari, Venezuela, Yhdistyneet arabiemiirikunnat
Endoxana Irlanti, Iso-Britannia
Formitex Kolumbia, Meksiko
Genoxal Espanja
Genuxal Brasilia
Hidrofosmin Meksiko
Ledoxan Kolumbia
Ledoxina Kolumbia, Meksiko
Neophos Egypti
Neosar Yhdysvallat
Procytox Kanada
Sendoxan Islanti, Norja, Ruotsi, Suomi, Tanska
Syklofosfamid Suomi, Turkki
Stabilius seoksissa   Injektioneste   Stabilius seoksissa : Cyclophosphamide     
Astia Liuotin Konsentraatio Yhdiste Lämpötila Säilytys Vakauden kesto Viitteet
Lasi Injektionesteisiin käytettävä vesi 1 mg/ml
Injektioneste   Cyclophosphamide   
Injektioneste   Granisetron hydrochloride 0,5 mg/ml
20°C-23°C
4 tunti
Valo 57
Näytön laajuus A+
Lasi Glukoosi 5% 10 mg/ml
Injektioneste   Cyclophosphamide   
Injektioneste   Palonosetron hydrochloride 50 µg/ml
25°C
4 tunti
Valo 2016
Näytön laajuus A+
Polyvinyylikloridi Natriumkloridi 0,9% 1 mg/ml
Injektioneste   Cyclophosphamide   
Injektioneste   Mesna 0,2 & 1 mg/ml
20°C
24 tunti
Valo 2104
Näytön laajuus D
Polyvinyylikloridi Natriumkloridi 0,9% 5 mg/ml
Injektioneste   Cyclophosphamide   
Injektioneste   Mesna 1 mg/ml
20°C
24 tunti
Valo 2104
Näytön laajuus D
Polyvinyylikloridi Natriumkloridi 0,9% 10 mg/ml
Injektioneste   Cyclophosphamide   
Injektioneste   Mesna 2 & 10 mg/ml
20°C
24 tunti
Valo 2104
Näytön laajuus D
Polyvinyylikloridi Natriumkloridi 0,9% 0,3 mg/ml
Injektioneste   Cyclophosphamide   
Injektioneste   Ondansetron hydrochloride 0,05 mg/ml
23°C-25°C
4 Päivä
Valo 50
Näytön laajuus B
Polyvinyylikloridi Natriumkloridi 0,9% 2 mg/ml
Injektioneste   Cyclophosphamide   
Injektioneste   Ondansetron hydrochloride 0,4 mg/ml
23°C-25°C
4 Päivä
Valo 50
Näytön laajuus B
Polyvinyylikloridi Natriumkloridi 0,9% 0,3 mg/ml
Injektioneste   Cyclophosphamide   
Injektioneste   Ondansetron hydrochloride 0,05 mg/ml
4°C
8 Päivä
Valo 50
Näytön laajuus B
Polyvinyylikloridi Natriumkloridi 0,9% 2 mg/ml
Injektioneste   Cyclophosphamide   
Injektioneste   Ondansetron hydrochloride 0,4 mg/ml
4°C
8 Päivä
Valo 50
Näytön laajuus B
Polyvinyylikloridi Glukoosi 5% 0,3 mg/ml
Injektioneste   Cyclophosphamide   
Injektioneste   Ondansetron hydrochloride 0,05 mg/ml
23°C-25°C
4 Päivä
Valo 50
Näytön laajuus B
Polyvinyylikloridi Glukoosi 5% 2 mg/ml
Injektioneste   Cyclophosphamide   
Injektioneste   Ondansetron hydrochloride 0,4 mg/ml
23°C-25°C
4 Päivä
Valo 50
Näytön laajuus B
Polyvinyylikloridi Glukoosi 5% 0,3 mg/ml
Injektioneste   Cyclophosphamide   
Injektioneste   Ondansetron hydrochloride 0,05 mg/ml
4°C
8 Päivä
Valo 50
Näytön laajuus B
Polyvinyylikloridi Glukoosi 5% 2 mg/ml
Injektioneste   Cyclophosphamide   
Injektioneste   Ondansetron hydrochloride 0,4 mg/ml
4°C
8 Päivä
Valo 50
Näytön laajuus B
Polyetyleeni Glukoosi 5% 1,8 mg/ml
Injektioneste   Cyclophosphamide   
Injektioneste   Mesna 0,54 mg/ml
22°C
6 tunti
Valo 1833
Näytön laajuus D
Polyetyleeni Glukoosi 5% 10,8 mg/ml
Injektioneste   Cyclophosphamide   
Injektioneste   Mesna 3,2 mg/ml
22°C
24 tunti
Valo 1833
Näytön laajuus D
Polyetyleeni Glukoosi 5% 10,8 mg/ml
Injektioneste   Cyclophosphamide   
Injektioneste   Mesna 3,2 mg/ml
4°C
48 tunti
Ei määritetty 1833
Näytön laajuus D
Polyetyleeni Glukoosi 5% 1,8 mg/ml
Injektioneste   Cyclophosphamide   
Injektioneste   Mesna 0,54 mg/ml
4°C
48 tunti
Ei määritetty 1833
Näytön laajuus D
Ei määritetty Natriumkloridi 0,9% 10 mg/ml
Injektioneste   Cyclophosphamide   
Injektioneste   Topotecan 0,028 mg/ml
20°C-23°C
4 tunti
Valo 1026
Näytön laajuus C
Ei määritetty Glukoosi 5% 10 mg/ml
Injektioneste   Cyclophosphamide   
Injektioneste   Topotecan 0,028 mg/ml
20°C-23°C
4 tunti
Valo 1026
Näytön laajuus C

  Mentions Légales