Last update :
17/12/2025
Anticancer drug   Cyclophosphamide  
injection
Capsule Oral solution
Stability in solutions Stability of mixtures Factors which affect stability Compatibility Route of administration References pdf
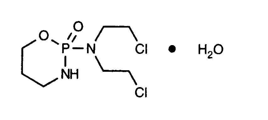
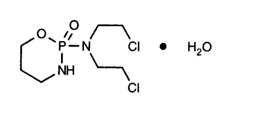
   Chemical structure  

Tradename   Tradename     

Trade names are indicative and excipients composition can be different depending on the country and manufacturers

Alkyloxan Egypt, Malaysia
Celomide India
Ciclofosfamida Argentina, Chile, Romania
Cicloxal Spain
Cryofaxol Mexico
Cycloblastin Australia
Cycloblastine Netherlands
Cyclophosphamid Denmark, Germany
Cyclophosphamide Great Britain, New Zealand, Saudi Arabia, United States of America
Cyclostin Germany
Cycloxan Malaysia
Cycram Egypt
Cytoxan Canada, Hungary, United States of America
Eldamide India
Endoxan Australia, Austria, Belgium, Chile, Colombia, Croatia, Ecuador, France, Germany, Greece, Hungary, India, Iran, Italy, Luxembourg, Morocco, Netherlands, New Zealand, Poland, Portugal, Saudi Arabia, Slovenia, Switzerland, Thailand, Tunisia, Turkey, United Arab Emirates, Venezuela
Endoxana Great Britain, Ireland
Formitex Colombia, Mexico
Genoxal Spain
Genuxal Brazil
Hidrofosmin Mexico
Ledoxan Colombia
Ledoxina Colombia, Mexico
Neophos Egypt
Neosar United States of America
Procytox Canada
Sendoxan Denmark, Finland, Iceland, Norway, Sweden
Syklofosfamid Finland, Turkey
Stability of mixtures   injection   Stability of mixtures : Cyclophosphamide     
Container Solvent Concentration Compound Temperature Storage Duration of stability References
Glass Water for Injection 1 mg/ml
injection   Cyclophosphamide   
injection   Granisetron hydrochloride 0,5 mg/ml
20°C-23°C
4 Hour
Light 57
Level of evidence A+
Glass Glucose 5% 10 mg/ml
injection   Cyclophosphamide   
injection   Palonosetron hydrochloride 50 µg/ml
25°C
4 Hour
Light 2016
Level of evidence A+
Polyvinyl chloride Sodium chloride 0,9% 1 mg/ml
injection   Cyclophosphamide   
injection   Mesna 0,2 & 1 mg/ml
20°C
24 Hour
Light 2104
Level of evidence D
Polyvinyl chloride Sodium chloride 0,9% 5 mg/ml
injection   Cyclophosphamide   
injection   Mesna 1 mg/ml
20°C
24 Hour
Light 2104
Level of evidence D
Polyvinyl chloride Sodium chloride 0,9% 10 mg/ml
injection   Cyclophosphamide   
injection   Mesna 2 & 10 mg/ml
20°C
24 Hour
Light 2104
Level of evidence D
Polyvinyl chloride Sodium chloride 0,9% 0,3 mg/ml
injection   Cyclophosphamide   
injection   Ondansetron hydrochloride 0,05 mg/ml
23°C-25°C
4 Day
Light 50
Level of evidence B
Polyvinyl chloride Sodium chloride 0,9% 2 mg/ml
injection   Cyclophosphamide   
injection   Ondansetron hydrochloride 0,4 mg/ml
23°C-25°C
4 Day
Light 50
Level of evidence B
Polyvinyl chloride Sodium chloride 0,9% 0,3 mg/ml
injection   Cyclophosphamide   
injection   Ondansetron hydrochloride 0,05 mg/ml
4°C
8 Day
Light 50
Level of evidence B
Polyvinyl chloride Sodium chloride 0,9% 2 mg/ml
injection   Cyclophosphamide   
injection   Ondansetron hydrochloride 0,4 mg/ml
4°C
8 Day
Light 50
Level of evidence B
Polyvinyl chloride Glucose 5% 0,3 mg/ml
injection   Cyclophosphamide   
injection   Ondansetron hydrochloride 0,05 mg/ml
23°C-25°C
4 Day
Light 50
Level of evidence B
Polyvinyl chloride Glucose 5% 2 mg/ml
injection   Cyclophosphamide   
injection   Ondansetron hydrochloride 0,4 mg/ml
23°C-25°C
4 Day
Light 50
Level of evidence B
Polyvinyl chloride Glucose 5% 0,3 mg/ml
injection   Cyclophosphamide   
injection   Ondansetron hydrochloride 0,05 mg/ml
4°C
8 Day
Light 50
Level of evidence B
Polyvinyl chloride Glucose 5% 2 mg/ml
injection   Cyclophosphamide   
injection   Ondansetron hydrochloride 0,4 mg/ml
4°C
8 Day
Light 50
Level of evidence B
Polyethylene Glucose 5% 1,8 mg/ml
injection   Cyclophosphamide   
injection   Mesna 0,54 mg/ml
22°C
6 Hour
Light 1833
Level of evidence D
Polyethylene Glucose 5% 10,8 mg/ml
injection   Cyclophosphamide   
injection   Mesna 3,2 mg/ml
22°C
24 Hour
Light 1833
Level of evidence D
Polyethylene Glucose 5% 10,8 mg/ml
injection   Cyclophosphamide   
injection   Mesna 3,2 mg/ml
4°C
48 Hour
Not specified 1833
Level of evidence D
Polyethylene Glucose 5% 1,8 mg/ml
injection   Cyclophosphamide   
injection   Mesna 0,54 mg/ml
4°C
48 Hour
Not specified 1833
Level of evidence D
Not specified Sodium chloride 0,9% 10 mg/ml
injection   Cyclophosphamide   
injection   Topotecan 0,028 mg/ml
20°C-23°C
4 Hour
Light 1026
Level of evidence C
Not specified Glucose 5% 10 mg/ml
injection   Cyclophosphamide   
injection   Topotecan 0,028 mg/ml
20°C-23°C
4 Hour
Light 1026
Level of evidence C

  Mentions Légales