Pēdējā atjaunošana :
18/03/2026
vēzis narkotiku   Cyclophosphamide  
Injekcija
Kapsula Orāls šķīdums
Šķīduma stabilitāte Maisījuma stabilitāte Stabilitāti ietekmējoši faktori Saderība Levadīšanas veids Literatūras saraksts pdf
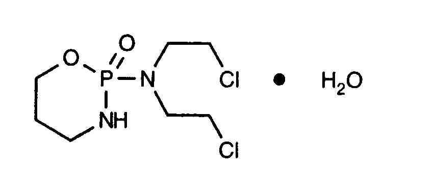
   Ķīmiskā uzbūve   

Oriģinālais nosaukums   Oriģinālais nosaukums     

Tirdzniecības nosaukumi ir apzīmējoši un palīgvielas var atšķirties dažādām valstīm un laboratorijām

Alkyloxan Ēģipte, Malaizija
Celomide Indija
Ciclofosfamida Argentīna, Čīle, Rumānija
Cicloxal Spānija
Cryofaxol Meksika
Cycloblastin Austrālija
Cycloblastine Holande
Cyclophosphamid Dānija, Vācija
Cyclophosphamide Amerikas Savienotās Valstis, Jaunzēlande, Lielbritānija, Saūda Arābija
Cyclostin Vācija
Cycloxan Malaizija
Cycram Ēģipte
Cytoxan Amerikas Savienotās Valstis, Kanāda, Ungārija
Eldamide Indija
Endoxan Apvienotie Arābu Emirāti, Austrālija, Austrija, Beļģija, Čīle, Ekvadora, Francija, Grieķija, Holande, Horvātija, Indija, Irāna, Itālija, Jaunzēlande, Kolumbija, Luksemburga, Maroka, Polija, Portugāle, Saūda Arābija, Slovēnija, Šveice, Taizeme, Tunisija, Turcija, Ungārija, Vācija, Venecuēla
Endoxana Īrija, Lielbritānija
Formitex Kolumbija, Meksika
Genoxal Spānija
Genuxal Brazīlija
Hidrofosmin Meksika
Ledoxan Kolumbija
Ledoxina Kolumbija, Meksika
Neophos Ēģipte
Neosar Amerikas Savienotās Valstis
Procytox Kanāda
Sendoxan Dānija, Islande, Norvēģija, Somija, Zviedrija
Syklofosfamid Somija, Turcija
Maisījuma stabilitāte   Injekcija   Maisījuma stabilitāte : Cyclophosphamide     
Iepakojums Šķīdinātājs Koncentrācija Savienojums Temperatūra Glabāšana Stabilitātes ilgums Literatūras saraksts
Stikls Ūdens injekcijām 1 mg/ml
Injekcija   Cyclophosphamide   
Injekcija   Granisetron hydrochloride 0,5 mg/ml
20°C-23°C
4 Stunda
Gaisma 57
Pierādījumu līmenis A+
Stikls 5% glikoze 10 mg/ml
Injekcija   Cyclophosphamide   
Injekcija   Palonosetron hydrochloride 50 µg/ml
25°C
4 Stunda
Gaisma 2016
Pierādījumu līmenis A+
Polivinilhlorīds Nātrija hlorīds 0.9% 1 mg/ml
Injekcija   Cyclophosphamide   
Injekcija   Mesna 0,2 & 1 mg/ml
20°C
24 Stunda
Gaisma 2104
Pierādījumu līmenis D
Polivinilhlorīds Nātrija hlorīds 0.9% 5 mg/ml
Injekcija   Cyclophosphamide   
Injekcija   Mesna 1 mg/ml
20°C
24 Stunda
Gaisma 2104
Pierādījumu līmenis D
Polivinilhlorīds Nātrija hlorīds 0.9% 10 mg/ml
Injekcija   Cyclophosphamide   
Injekcija   Mesna 2 & 10 mg/ml
20°C
24 Stunda
Gaisma 2104
Pierādījumu līmenis D
Polivinilhlorīds Nātrija hlorīds 0.9% 0,3 mg/ml
Injekcija   Cyclophosphamide   
Injekcija   Ondansetron hydrochloride 0,05 mg/ml
23°C-25°C
4 Diena
Gaisma 50
Pierādījumu līmenis B
Polivinilhlorīds Nātrija hlorīds 0.9% 2 mg/ml
Injekcija   Cyclophosphamide   
Injekcija   Ondansetron hydrochloride 0,4 mg/ml
23°C-25°C
4 Diena
Gaisma 50
Pierādījumu līmenis B
Polivinilhlorīds Nātrija hlorīds 0.9% 0,3 mg/ml
Injekcija   Cyclophosphamide   
Injekcija   Ondansetron hydrochloride 0,05 mg/ml
4°C
8 Diena
Gaisma 50
Pierādījumu līmenis B
Polivinilhlorīds Nātrija hlorīds 0.9% 2 mg/ml
Injekcija   Cyclophosphamide   
Injekcija   Ondansetron hydrochloride 0,4 mg/ml
4°C
8 Diena
Gaisma 50
Pierādījumu līmenis B
Polivinilhlorīds 5% glikoze 0,3 mg/ml
Injekcija   Cyclophosphamide   
Injekcija   Ondansetron hydrochloride 0,05 mg/ml
23°C-25°C
4 Diena
Gaisma 50
Pierādījumu līmenis B
Polivinilhlorīds 5% glikoze 2 mg/ml
Injekcija   Cyclophosphamide   
Injekcija   Ondansetron hydrochloride 0,4 mg/ml
23°C-25°C
4 Diena
Gaisma 50
Pierādījumu līmenis B
Polivinilhlorīds 5% glikoze 0,3 mg/ml
Injekcija   Cyclophosphamide   
Injekcija   Ondansetron hydrochloride 0,05 mg/ml
4°C
8 Diena
Gaisma 50
Pierādījumu līmenis B
Polivinilhlorīds 5% glikoze 2 mg/ml
Injekcija   Cyclophosphamide   
Injekcija   Ondansetron hydrochloride 0,4 mg/ml
4°C
8 Diena
Gaisma 50
Pierādījumu līmenis B
Polietilēns 5% glikoze 1,8 mg/ml
Injekcija   Cyclophosphamide   
Injekcija   Mesna 0,54 mg/ml
22°C
6 Stunda
Gaisma 1833
Pierādījumu līmenis D
Polietilēns 5% glikoze 10,8 mg/ml
Injekcija   Cyclophosphamide   
Injekcija   Mesna 3,2 mg/ml
22°C
24 Stunda
Gaisma 1833
Pierādījumu līmenis D
Polietilēns 5% glikoze 10,8 mg/ml
Injekcija   Cyclophosphamide   
Injekcija   Mesna 3,2 mg/ml
4°C
48 Stunda
Nav specifisks 1833
Pierādījumu līmenis D
Polietilēns 5% glikoze 1,8 mg/ml
Injekcija   Cyclophosphamide   
Injekcija   Mesna 0,54 mg/ml
4°C
48 Stunda
Nav specifisks 1833
Pierādījumu līmenis D
Nespecifisks Nātrija hlorīds 0.9% 10 mg/ml
Injekcija   Cyclophosphamide   
Injekcija   Topotecan 0,028 mg/ml
20°C-23°C
4 Stunda
Gaisma 1026
Pierādījumu līmenis C
Nespecifisks 5% glikoze 10 mg/ml
Injekcija   Cyclophosphamide   
Injekcija   Topotecan 0,028 mg/ml
20°C-23°C
4 Stunda
Gaisma 1026
Pierādījumu līmenis C

  Mentions Légales