Última actualização :
17/12/2025
droga contra o câncer   Cyclophosphamide  
injetável
Cápsula Solução Oral
Estabilidade em soluções simples Estabilidade em misturas Factores que afectam a sua estabilidade Compatibilidade Método de administração Bibliografía pdf
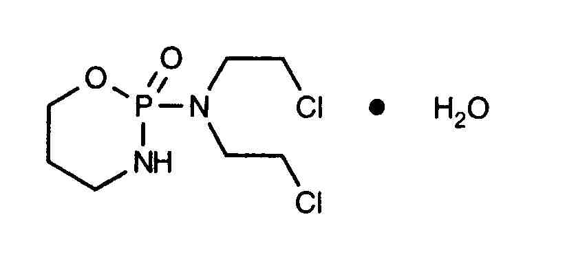
   estrutura química  

Nomes comerciais nos diversos países   Nomes comerciais nos diversos países     

OS NOMES COMERCIAIS SÃO INDICATIVOS E OS EXCIPIENTES DA FORMULAÇÃO PODEM SER DIFERENTES CONFORME O PAÍS E FABRICANTE.

Alkyloxan Egipto, Malásia
Celomide Índia
Ciclofosfamida Argentina, Chilli, Romènia
Cicloxal Espanha
Cryofaxol México
Cycloblastin Australia
Cycloblastine Países Baixos
Cyclophosphamid Alemanha, Dinamarca
Cyclophosphamide Arábia Saudita, Estados Unidos de América, Gran-bretanha, nova Zelândia
Cyclostin Alemanha
Cycloxan Malásia
Cycram Egipto
Cytoxan Canadá, Estados Unidos de América, Hungria
Eldamide Índia
Endoxan Alemanha, Arábia Saudita, Australia, Austria, Bélgica, Chilli, Colômbia, Croácia, Emirados Árabes Unidos, Equator, Eslovenia, França, Grècia, Hungria, Índia, Irã, Itália, Luxemburgo, Marrocos, nova Zelândia, Países Baixos, Polonia, Portugal, Suicia, Tailandia, Tunísia, Turquia, Venezuela
Endoxana Gran-bretanha, Irlanda
Formitex Colômbia, México
Genoxal Espanha
Genuxal Brasil
Hidrofosmin México
Ledoxan Colômbia
Ledoxina Colômbia, México
Neophos Egipto
Neosar Estados Unidos de América
Procytox Canadá
Sendoxan Dinamarca, Finlandia, Islandia, Noruega, Suècia
Syklofosfamid Finlandia, Turquia
Estabilidade em misturas   injetável   Estabilidade em misturas : Cyclophosphamide     
Embalagem Solvente concentração molécula temperatura conservação Duração da estabilidade Bibliografia
vidro Agua para injectaveis 1 mg/ml
injetável   Cyclophosphamide   
injetável   Granisetron hydrochloride 0,5 mg/ml
20°C-23°C
4 hora
luz 57
Nível de evidência A+
vidro Glucose 5% 10 mg/ml
injetável   Cyclophosphamide   
injetável   Palonosetron hydrochloride 50 µg/ml
25°C
4 hora
luz 2016
Nível de evidência A+
Cloreto de polivinilo cloreto de sódio 0,9% 1 mg/ml
injetável   Cyclophosphamide   
injetável   Mesna 0,2 & 1 mg/ml
20°C
24 hora
luz 2104
Nível de evidência D
Cloreto de polivinilo cloreto de sódio 0,9% 5 mg/ml
injetável   Cyclophosphamide   
injetável   Mesna 1 mg/ml
20°C
24 hora
luz 2104
Nível de evidência D
Cloreto de polivinilo cloreto de sódio 0,9% 10 mg/ml
injetável   Cyclophosphamide   
injetável   Mesna 2 & 10 mg/ml
20°C
24 hora
luz 2104
Nível de evidência D
Cloreto de polivinilo cloreto de sódio 0,9% 0,3 mg/ml
injetável   Cyclophosphamide   
injetável   Ondansetron hydrochloride 0,05 mg/ml
23°C-25°C
4 dia
luz 50
Nível de evidência B
Cloreto de polivinilo cloreto de sódio 0,9% 2 mg/ml
injetável   Cyclophosphamide   
injetável   Ondansetron hydrochloride 0,4 mg/ml
23°C-25°C
4 dia
luz 50
Nível de evidência B
Cloreto de polivinilo cloreto de sódio 0,9% 0,3 mg/ml
injetável   Cyclophosphamide   
injetável   Ondansetron hydrochloride 0,05 mg/ml
4°C
8 dia
luz 50
Nível de evidência B
Cloreto de polivinilo cloreto de sódio 0,9% 2 mg/ml
injetável   Cyclophosphamide   
injetável   Ondansetron hydrochloride 0,4 mg/ml
4°C
8 dia
luz 50
Nível de evidência B
Cloreto de polivinilo Glucose 5% 0,3 mg/ml
injetável   Cyclophosphamide   
injetável   Ondansetron hydrochloride 0,05 mg/ml
23°C-25°C
4 dia
luz 50
Nível de evidência B
Cloreto de polivinilo Glucose 5% 2 mg/ml
injetável   Cyclophosphamide   
injetável   Ondansetron hydrochloride 0,4 mg/ml
23°C-25°C
4 dia
luz 50
Nível de evidência B
Cloreto de polivinilo Glucose 5% 0,3 mg/ml
injetável   Cyclophosphamide   
injetável   Ondansetron hydrochloride 0,05 mg/ml
4°C
8 dia
luz 50
Nível de evidência B
Cloreto de polivinilo Glucose 5% 2 mg/ml
injetável   Cyclophosphamide   
injetável   Ondansetron hydrochloride 0,4 mg/ml
4°C
8 dia
luz 50
Nível de evidência B
Polietileno Glucose 5% 1,8 mg/ml
injetável   Cyclophosphamide   
injetável   Mesna 0,54 mg/ml
22°C
6 hora
luz 1833
Nível de evidência D
Polietileno Glucose 5% 10,8 mg/ml
injetável   Cyclophosphamide   
injetável   Mesna 3,2 mg/ml
22°C
24 hora
luz 1833
Nível de evidência D
Polietileno Glucose 5% 10,8 mg/ml
injetável   Cyclophosphamide   
injetável   Mesna 3,2 mg/ml
4°C
48 hora
no especificado 1833
Nível de evidência D
Polietileno Glucose 5% 1,8 mg/ml
injetável   Cyclophosphamide   
injetável   Mesna 0,54 mg/ml
4°C
48 hora
no especificado 1833
Nível de evidência D
no especificado cloreto de sódio 0,9% 10 mg/ml
injetável   Cyclophosphamide   
injetável   Topotecan 0,028 mg/ml
20°C-23°C
4 hora
luz 1026
Nível de evidência C
no especificado Glucose 5% 10 mg/ml
injetável   Cyclophosphamide   
injetável   Topotecan 0,028 mg/ml
20°C-23°C
4 hora
luz 1026
Nível de evidência C

  Mentions Légales