viimane versioon :
18/03/2026
vähiravimite   Cyclophosphamide  
Süsteravim
kapsel suukaudne lahus
Stabiilsus lahustes Stabiilsust mõjutavad tegurid stabiilsust mõjutavad faktorid Sobimatus Manustamis viis Viited pdf
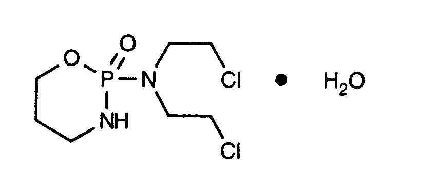
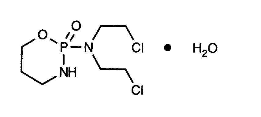
   keemiline struktuur  

Kaubanduslikud nimed erinevates maades   Kaubanduslikud nimed erinevates maades     

Preparaatide nimed on näitlikud ja abianete sisaldus võib erineda sõltuvalt riigist ja laborist

Alkyloxan Egiptus, Malaisia
Celomide India
Ciclofosfamida Argentiina, Rumeenia, Tšiili
Cicloxal Hispaania
Cryofaxol Mehhiko
Cycloblastin Austraalia
Cycloblastine Holland
Cyclophosphamid Saksamaa, Taani
Cyclophosphamide Ameerika ühendriigid, Saudi Araabia, Suurbritannia, uus-Meremaa
Cyclostin Saksamaa
Cycloxan Malaisia
Cycram Egiptus
Cytoxan Ameerika ühendriigid, Kanada, Ungari
Eldamide India
Endoxan Araabia Ühendemiraadid, Austraalia, Austria, Belgia, Ecuador, Holland, Horvaatia, India, Iraan, Itaalia, Kolumbia, Kreeka, Luksemburg, Maroko, Poola, Portugal, Prantsusmaa, Saksamaa, Saudi Araabia, Sloveenia, Sveits, Tai, Tšiili, Tuneesia, Türgi, Ungari, uus-Meremaa, Venetsueela
Endoxana Iirimaa, Suurbritannia
Formitex Kolumbia, Mehhiko
Genoxal Hispaania
Genuxal Brasiilia
Hidrofosmin Mehhiko
Ledoxan Kolumbia
Ledoxina Kolumbia, Mehhiko
Neophos Egiptus
Neosar Ameerika ühendriigid
Procytox Kanada
Sendoxan Island, Norra, Rootsi, Soome, Taani
Syklofosfamid Soome, Türgi
Stabiilsust mõjutavad tegurid   Süsteravim   Stabiilsust mõjutavad tegurid : Cyclophosphamide     
konteiner lahusti kontsentratsioon ingredient temperatuur ladustamine Stabiilsuse kestus Viited
klaas süstevesi 1 mg/ml
Süsteravim   Cyclophosphamide   
Süsteravim   Granisetron hydrochloride 0,5 mg/ml
20°C-23°C
4 Tund
valgus 57
Tõenduspõhisuse tase A+
klaas glükoos 5% 10 mg/ml
Süsteravim   Cyclophosphamide   
Süsteravim   Palonosetron hydrochloride 50 µg/ml
25°C
4 Tund
valgus 2016
Tõenduspõhisuse tase A+
polüvinüülkloriid naatriumkloriid 0.9% 1 mg/ml
Süsteravim   Cyclophosphamide   
Süsteravim   Mesna 0,2 & 1 mg/ml
20°C
24 Tund
valgus 2104
Tõenduspõhisuse tase D
polüvinüülkloriid naatriumkloriid 0.9% 5 mg/ml
Süsteravim   Cyclophosphamide   
Süsteravim   Mesna 1 mg/ml
20°C
24 Tund
valgus 2104
Tõenduspõhisuse tase D
polüvinüülkloriid naatriumkloriid 0.9% 10 mg/ml
Süsteravim   Cyclophosphamide   
Süsteravim   Mesna 2 & 10 mg/ml
20°C
24 Tund
valgus 2104
Tõenduspõhisuse tase D
polüvinüülkloriid naatriumkloriid 0.9% 0,3 mg/ml
Süsteravim   Cyclophosphamide   
Süsteravim   Ondansetron hydrochloride 0,05 mg/ml
23°C-25°C
4 päev
valgus 50
Tõenduspõhisuse tase B
polüvinüülkloriid naatriumkloriid 0.9% 2 mg/ml
Süsteravim   Cyclophosphamide   
Süsteravim   Ondansetron hydrochloride 0,4 mg/ml
23°C-25°C
4 päev
valgus 50
Tõenduspõhisuse tase B
polüvinüülkloriid naatriumkloriid 0.9% 0,3 mg/ml
Süsteravim   Cyclophosphamide   
Süsteravim   Ondansetron hydrochloride 0,05 mg/ml
4°C
8 päev
valgus 50
Tõenduspõhisuse tase B
polüvinüülkloriid naatriumkloriid 0.9% 2 mg/ml
Süsteravim   Cyclophosphamide   
Süsteravim   Ondansetron hydrochloride 0,4 mg/ml
4°C
8 päev
valgus 50
Tõenduspõhisuse tase B
polüvinüülkloriid glükoos 5% 0,3 mg/ml
Süsteravim   Cyclophosphamide   
Süsteravim   Ondansetron hydrochloride 0,05 mg/ml
23°C-25°C
4 päev
valgus 50
Tõenduspõhisuse tase B
polüvinüülkloriid glükoos 5% 2 mg/ml
Süsteravim   Cyclophosphamide   
Süsteravim   Ondansetron hydrochloride 0,4 mg/ml
23°C-25°C
4 päev
valgus 50
Tõenduspõhisuse tase B
polüvinüülkloriid glükoos 5% 0,3 mg/ml
Süsteravim   Cyclophosphamide   
Süsteravim   Ondansetron hydrochloride 0,05 mg/ml
4°C
8 päev
valgus 50
Tõenduspõhisuse tase B
polüvinüülkloriid glükoos 5% 2 mg/ml
Süsteravim   Cyclophosphamide   
Süsteravim   Ondansetron hydrochloride 0,4 mg/ml
4°C
8 päev
valgus 50
Tõenduspõhisuse tase B
polüetüleen glükoos 5% 1,8 mg/ml
Süsteravim   Cyclophosphamide   
Süsteravim   Mesna 0,54 mg/ml
22°C
6 Tund
valgus 1833
Tõenduspõhisuse tase D
polüetüleen glükoos 5% 10,8 mg/ml
Süsteravim   Cyclophosphamide   
Süsteravim   Mesna 3,2 mg/ml
22°C
24 Tund
valgus 1833
Tõenduspõhisuse tase D
polüetüleen glükoos 5% 10,8 mg/ml
Süsteravim   Cyclophosphamide   
Süsteravim   Mesna 3,2 mg/ml
4°C
48 Tund
pole täpsustatud 1833
Tõenduspõhisuse tase D
polüetüleen glükoos 5% 1,8 mg/ml
Süsteravim   Cyclophosphamide   
Süsteravim   Mesna 0,54 mg/ml
4°C
48 Tund
pole täpsustatud 1833
Tõenduspõhisuse tase D
pole täpsustatud naatriumkloriid 0.9% 10 mg/ml
Süsteravim   Cyclophosphamide   
Süsteravim   Topotecan 0,028 mg/ml
20°C-23°C
4 Tund
valgus 1026
Tõenduspõhisuse tase C
pole täpsustatud glükoos 5% 10 mg/ml
Süsteravim   Cyclophosphamide   
Süsteravim   Topotecan 0,028 mg/ml
20°C-23°C
4 Tund
valgus 1026
Tõenduspõhisuse tase C

  Mentions Légales