Son güncelleme :
17/12/2025
Antibiyotik   Clindamycin phosphate  
Enjeksiyon
Çözeltilerin stabilitesi Karışımlardaki stabilitesi Stabiliteyi etkileyen faktörler Uyumluluk Uygulama yöntemi Kaynaklar pdf
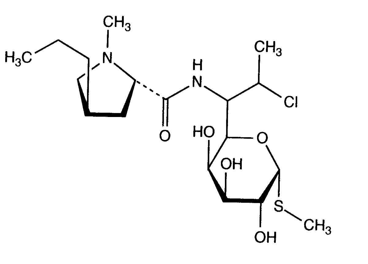
   Kimyasal yapı   

Ticari isim   Ticari isim     

Trade names are indicative and excipients composition can be different depending on the country and manufacturers

Biodaclin Meksika
Camyda Hindistan
Cinbiot Meksika
Cleocin Amerika Birleşik Devletleri, Avusturya, Türkiye
Clinamsa Meksika
Clinbac Kolombiya, Peru
Clincina Portekiz
Clinda-Saar Almanya
Clindacid Venezuela
Clindacin Malezya
Clindalaf Arjantin
Clindamicina Arjantin, Brezilya, Ekvador, İspanya, İtalya, Kolombiya, Meksika, Peru, Portekiz, Şili, Venezuela
Clindamycin Almanya, Amerika Birleşik Devletleri, Avusturya, İran, İsveç, Kanada, Norveç, Romanya, Suudi Arabistan
Clindamycin-Hameln Almanya
Clindamycine Belçika, Fransa, Hollanda, Tunus
Clindanovag Arjantin
Clindarix Brezilya
Clindasol Almanya
Clindaval Venezuela
Clindazyn Meksika
Clindo Polonya
Clysvic Meksika
Daclin Şili
Dalacin Avustralya, Belçika, Birleşik Arap Emirlikleri, Büyük Britanya, Danimarka, Ekvador, Finlandiya, Hindistan, Hollanda, İran, İrlanda, İsveç, İsviçre, İtalya, İzlanda, Kanada, Kolombiya, Lüksemburg, Macaristan, Malezya, Meksika, Mısır, Norveç, Polonya, Şili, Suudi Arabistan, Tunus, Venezuela, yeni Zelanda, Yunanistan
Dalacine Fransa, Tunus
Daladic İran
Dalcinex Hindistan
Damclid Hindistan
Damicin Kolombiya, Meksika
Damicine Kolombiya
Dolarclin Kolombiya
Euroclin Ekvador, Kolombiya
Gynasafe Hindistan
Indamid Meksika
Klimicin Polonya
Klindan Türkiye
Klindaver Türkiye
Lanacine Avusturya
Lincocin Malezya
Lincosa Malezya
Meneklin Türkiye
Sobelin Almanya
Tidact Malezya
Karışımlardaki stabilitesi   Enjeksiyon    Karışımlardaki stabilitesi : Clindamycin phosphate     
Saklama kabı Çözücü Konsantrasyon Bileşik Isı Saklama    Stabilite süresi Kaynaklar
Cam Sodyum klorür % 0,9 12 mg/ml
Enjeksiyon   Clindamycin phosphate   
Enjeksiyon   Cefpirome sulfate 50 mg/ml
23°C
8 Zaman
I_ık 280
Kanıt düzeyi B+
Cam Sodyum klorür % 0,9 9 mg/ml
Enjeksiyon   Clindamycin phosphate   
Enjeksiyon   Cefotaxime sodium 20 mg/ml
24°C
24 Zaman
I_ık 421
Joker
Cam Sodyum klorür % 0,9 9 mg/ml
Enjeksiyon   Clindamycin phosphate   
Enjeksiyon   Netilmicin sulfate 3 mg/ml
24°C
24 Zaman
I_ık 421
Joker
Cam Sodyum klorür % 0,9 12 mg/ml
Enjeksiyon   Clindamycin phosphate   
Enjeksiyon   Ceftriaxone disodium 20 mg/ml
25°C
8 Zaman
I_ık 432
Kanıt düzeyi D
Cam Sodyum klorür % 0,9 9 mg/ml
Enjeksiyon   Clindamycin phosphate   
Enjeksiyon   Cefazolin sodium 10 mg/ml
Enjeksiyon   Gentamicin sulfate 0,8 mg/ml
25°C
12 Zaman
I_ık 695
Joker
Cam Sodyum klorür % 0,9 9 mg/ml
Enjeksiyon   Clindamycin phosphate   
Enjeksiyon   Ceftizoxime sodium 20 mg/ml
25°C
24 Zaman
I_ık 418
Kanıt düzeyi D
Cam Sodyum klorür % 0,9 9 mg/ml
Enjeksiyon   Clindamycin phosphate   
Enjeksiyon   Ceftazidime 20 mg/ml
25°C
48 Zaman
I_ık 432
Kanıt düzeyi D
Cam Sodyum klorür % 0,9 60 mg/ml
Enjeksiyon   Clindamycin phosphate   
Enjeksiyon   Aztreonam 200 mg/ml
25°C
48 Zaman
I_ık 644
Kanıt düzeyi B
Cam Sodyum klorür % 0,9 9 mg/ml
Enjeksiyon   Clindamycin phosphate   
Enjeksiyon   Aztreonam 20 mg/ml
25°C
48 Zaman
I_ık 432
Kanıt düzeyi D
Cam Sodyum klorür % 0,9 9 mg/ml
Enjeksiyon   Clindamycin phosphate   
Enjeksiyon   Piperacillin sodium 40 mg/ml
25°C
48 Zaman
I_ık 432
Kanıt düzeyi D
Cam Sodyum klorür % 0,9 9 mg/ml
Enjeksiyon   Clindamycin phosphate   
Enjeksiyon   Cefoxitin sodium 20 mg/ml
25°C
48 Zaman
I_ık 418
Kanıt düzeyi D
Cam Sodyum klorür % 0,9 9 mg/ml
Enjeksiyon   Clindamycin phosphate   
Enjeksiyon   Cefamandole nafate 10 mg/ml
25°C
48 Zaman
I_ık 418
Kanıt düzeyi D
Cam Sodyum klorür % 0,9 9 mg/ml
Enjeksiyon   Clindamycin phosphate   
Enjeksiyon   Cefazolin sodium 10 mg/ml
25°C
48 Zaman
I_ık 418
Kanıt düzeyi D
Cam Sodyum klorür % 0,9 12 mg/ml
Enjeksiyon   Clindamycin phosphate   
Enjeksiyon   Cefoperazone sodium 20 mg/ml
25°C
48 Zaman
I_ık 644
Kanıt düzeyi B
Cam Sodyum klorür % 0,9 12 mg/ml
Enjeksiyon   Clindamycin phosphate   
Enjeksiyon   Cefonicid sodium 10 mg/ml
25°C
48 Zaman
I_ık 644
Kanıt düzeyi B
Cam Sodyum klorür % 0,9 9 mg/ml
Enjeksiyon   Clindamycin phosphate   
Enjeksiyon   Cefuroxime sodium 15 mg/ml
25°C
48 Zaman
I_ık 644
Kanıt düzeyi B
Cam Glukoz %5 12 mg/ml
Enjeksiyon   Clindamycin phosphate   
Enjeksiyon   Cefpirome sulfate 50 mg/ml
23°C
8 Zaman
I_ık 280
Kanıt düzeyi B+
Cam Glukoz %5 9 mg/ml
Enjeksiyon   Clindamycin phosphate   
Enjeksiyon   Cefotaxime sodium 20 mg/ml
24°C
24 Zaman
I_ık 421
Joker
Cam Glukoz %5 9 mg/ml
Enjeksiyon   Clindamycin phosphate   
Enjeksiyon   Netilmicin sulfate 3 mg/ml
24°C
24 Zaman
I_ık 421
Joker
Cam Glukoz %5 12 mg/ml
Enjeksiyon   Clindamycin phosphate   
Enjeksiyon   Ceftriaxone disodium 20 mg/ml
25°C
1 Zaman
I_ık 432
Kanıt düzeyi D
Cam Glukoz %5 9 mg/ml
Enjeksiyon   Clindamycin phosphate   
Enjeksiyon   Cefazolin sodium 10 mg/ml
Enjeksiyon   Gentamicin sulfate 0,8 mg/ml
25°C
1 Zaman
I_ık 695
Joker
Cam Glukoz %5 9 mg/ml
Enjeksiyon   Clindamycin phosphate   
Enjeksiyon   Ceftazidime 20 mg/ml
25°C
24 Zaman
I_ık 432
Kanıt düzeyi D
Cam Glukoz %5 9 mg/ml
Enjeksiyon   Clindamycin phosphate   
Enjeksiyon   Ceftizoxime sodium 20 mg/ml
25°C
48 Zaman
I_ık 418
Kanıt düzeyi D
Cam Glukoz %5 9 mg/ml
Enjeksiyon   Clindamycin phosphate   
Enjeksiyon   Aztreonam 20 mg/ml
25°C
48 Zaman
I_ık 432
Kanıt düzeyi D
Cam Glukoz %5 9 mg/ml
Enjeksiyon   Clindamycin phosphate   
Enjeksiyon   Piperacillin sodium 40 mg/ml
25°C
48 Zaman
I_ık 432
Kanıt düzeyi D
Cam Glukoz %5 9 mg/ml
Enjeksiyon   Clindamycin phosphate   
Enjeksiyon   Cefoxitin sodium 20 mg/ml
25°C
48 Zaman
I_ık 418
Kanıt düzeyi D
Cam Glukoz %5 9 mg/ml
Enjeksiyon   Clindamycin phosphate   
Enjeksiyon   Cefamandole nafate 10 mg/ml
25°C
48 Zaman
I_ık 418
Kanıt düzeyi D
Cam Glukoz %5 9 mg/ml
Enjeksiyon   Clindamycin phosphate   
Enjeksiyon   Cefazolin sodium 10 mg/ml
25°C
48 Zaman
I_ık 418
Kanıt düzeyi D
Cam Glukoz %5 12 mg/ml
Enjeksiyon   Clindamycin phosphate   
Enjeksiyon   Cefoperazone sodium 20 mg/ml
25°C
48 Zaman
I_ık 644
Kanıt düzeyi B
Cam Glukoz %5 12 mg/ml
Enjeksiyon   Clindamycin phosphate   
Enjeksiyon   Cefonicid sodium 10 mg/ml
25°C
48 Zaman
I_ık 644
Kanıt düzeyi B
Cam Glukoz %5 9 mg/ml
Enjeksiyon   Clindamycin phosphate   
Enjeksiyon   Cefuroxime sodium 15 mg/ml
25°C
48 Zaman
I_ık 644
Kanıt düzeyi B
Cam Laktatlı ringer 12 mg/ml
Enjeksiyon   Clindamycin phosphate   
Enjeksiyon   Cefpirome sulfate 50 mg/ml
23°C
8 Zaman
I_ık 280
Kanıt düzeyi B+
Cam Sodyum klorür % 0,45 12 mg/ml
Enjeksiyon   Clindamycin phosphate   
Enjeksiyon   Cefpirome sulfate 50 mg/ml
23°C
8 Zaman
I_ık 280
Kanıt düzeyi B+
Cam Yok 6 mg/ml
Enjeksiyon   Clindamycin phosphate   
Enjeksiyon   Ofloxacin 2 mg/ml
25°C
48 Zaman
Belirtilmemiş 889
Kanıt düzeyi D
Polivinil klorür Sodyum klorür % 0,9 9 mg/ml
Enjeksiyon   Clindamycin phosphate   
Enjeksiyon   Tobramycin sulfate 1,2 mg/ml
-20°C
28 Gün
Işıktan koruyunuz 565
Kanıt düzeyi D
Polivinil klorür Sodyum klorür % 0,9 9 mg/ml
Enjeksiyon   Clindamycin phosphate   
Enjeksiyon   Gentamicin sulfate 1,2 mg/ml
-20°C
28 Gün
Işıktan koruyunuz 565
Kanıt düzeyi D
Polivinil klorür Sodyum klorür % 0,9 3 & 6 mg/ml
Enjeksiyon   Clindamycin phosphate   
Enjeksiyon   Aztreonam 10 & 20 mg/ml
22°C-23°C
48 Zaman
Belirtilmemiş 419
Kanıt düzeyi B+
Polivinil klorür Sodyum klorür % 0,9 9 mg/ml
Enjeksiyon   Clindamycin phosphate   
Enjeksiyon   Cefotaxime sodium 20 mg/ml
24°C
24 Zaman
I_ık 421
Joker
Polivinil klorür Sodyum klorür % 0,9 9 mg/ml
Enjeksiyon   Clindamycin phosphate   
Enjeksiyon   Netilmicin sulfate 3 mg/ml
24°C
24 Zaman
I_ık 421
Joker
Polivinil klorür Sodyum klorür % 0,9 9 mg/ml
Enjeksiyon   Clindamycin phosphate   
Enjeksiyon   Amikacin sulfate 4 mg/ml
25°C
48 Zaman
Belirtilmemiş 565
Kanıt düzeyi D
Polivinil klorür Sodyum klorür % 0,9 3 & 6 mg/ml
Enjeksiyon   Clindamycin phosphate   
Enjeksiyon   Aztreonam 10 & 20 mg/ml
4°C
7 Gün
Işıktan koruyunuz 419
Kanıt düzeyi B+
Polivinil klorür Glukoz %5 9 mg/ml
Enjeksiyon   Clindamycin phosphate   
Enjeksiyon   Tobramycin sulfate 1,2 mg/ml
-20°C
14 Gün
Işıktan koruyunuz 565
Kanıt düzeyi D
Polivinil klorür Glukoz %5 9 mg/ml
Enjeksiyon   Clindamycin phosphate   
Enjeksiyon   Gentamicin sulfate 1,2 mg/ml
-20°C
28 Gün
Işıktan koruyunuz 565
Kanıt düzeyi D
Polivinil klorür Glukoz %5 3 & 6 mg/ml
Enjeksiyon   Clindamycin phosphate   
Enjeksiyon   Aztreonam 10 & 20 mg/ml
22°C-23°C
48 Zaman
Belirtilmemiş 419
Kanıt düzeyi B+
Polivinil klorür Glukoz %5 9 mg/ml
Enjeksiyon   Clindamycin phosphate   
Enjeksiyon   Cefotaxime sodium 20 mg/ml
24°C
24 Zaman
I_ık 421
Joker
Polivinil klorür Glukoz %5 9 mg/ml
Enjeksiyon   Clindamycin phosphate   
Enjeksiyon   Netilmicin sulfate 3 mg/ml
24°C
24 Zaman
I_ık 421
Joker
Polivinil klorür Glukoz %5 6 mg/ml
Enjeksiyon   Clindamycin phosphate   
Enjeksiyon   Gentamicin sulfate 5 mg/ml
25°C
24 Zaman
I_ık 423
Kanıt düzeyi D
Polivinil klorür Glukoz %5 9 mg/ml
Enjeksiyon   Clindamycin phosphate   
Enjeksiyon   Amikacin sulfate 4 mg/ml
25°C
48 Zaman
Belirtilmemiş 565
Kanıt düzeyi D
Polivinil klorür Glukoz %5 3 & 6 mg/ml
Enjeksiyon   Clindamycin phosphate   
Enjeksiyon   Aztreonam 10 & 20 mg/ml
4°C
7 Gün
Işıktan koruyunuz 419
Kanıt düzeyi B+
Şırınga polipropilen Sodyum klorür % 0,9 90 mg/ml
Enjeksiyon   Clindamycin phosphate   
Enjeksiyon   Gentamicin sulfate 30 mg/ml
22°C-23°C
48 Zaman
I_ık 639
Kanıt düzeyi D
Şırınga polipropilen Sodyum klorür % 0,9 90 mg/ml
Enjeksiyon   Clindamycin phosphate   
Enjeksiyon   Amikacin sulfate 190 mg/ml
22°C-23°C
48 Zaman
I_ık 639
Kanıt düzeyi D

  Mentions Légales