最新更新 :
17/12/2025
抗生素   Clindamycin phosphate  
注射液
溶液稳定性 混合物稳定性 影响稳定性的因素 兼容性 用药途径 引用文献 PDF
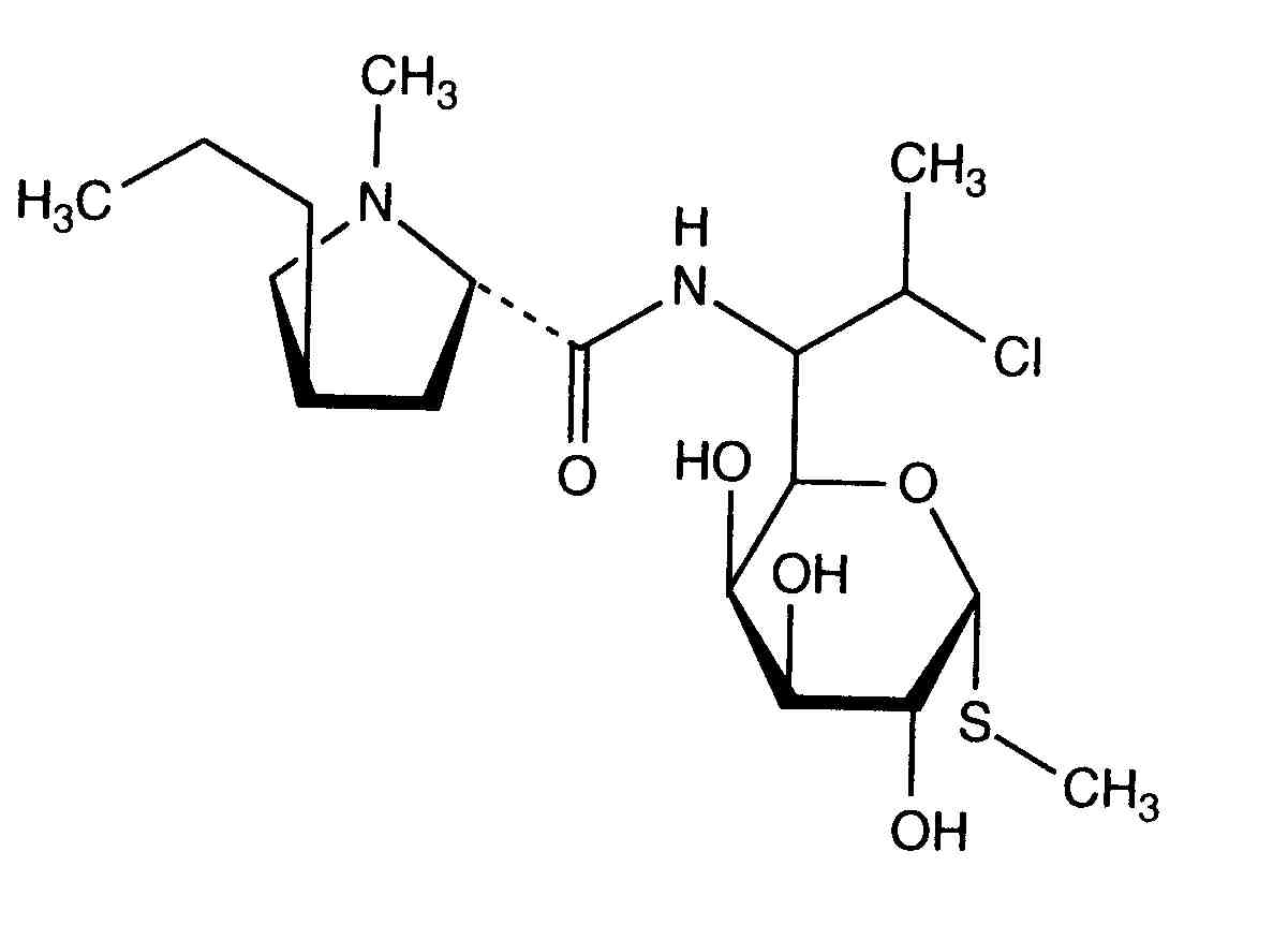
   化学式  

商品名   商品名     

商品名仅供参考, 药品所用的辅料可能依国家或厂商不同有所不同。

Biodaclin 墨西哥
Camyda 印度
Cinbiot 墨西哥
Cleocin 土耳其, 奥地利, 美国
Clinamsa 墨西哥
Clinbac 哥伦比亚, 秘鲁
Clincina 葡萄牙
Clinda-Saar 德国
Clindacid 委内瑞拉
Clindacin 马来西亚
Clindalaf 阿根廷
Clindamicina 厄瓜多尔, 哥伦比亚, 墨西哥, 委内瑞拉, 巴西, 意大利, 智利, 秘鲁, 葡萄牙, 西班牙, 阿根廷
Clindamycin 伊朗, 加拿大, 奥地利, 德国, 挪威, 沙特阿拉伯, 瑞典, 罗马尼亚, 美国
Clindamycin-Hameln 德国
Clindamycine 比利时, 法国, 突尼斯, 荷兰
Clindanovag 阿根廷
Clindarix 巴西
Clindasol 德国
Clindaval 委内瑞拉
Clindazyn 墨西哥
Clindo 波兰
Clysvic 墨西哥
Daclin 智利
Dalacin 丹麦, 伊朗, 冰岛, 加拿大, 匈牙利, 卢森堡, 印度, 厄瓜多尔, 哥伦比亚, 埃及, 墨西哥, 委内瑞拉, 希腊, 意大利, 挪威, 新西蘭, 智利, 比利时, 沙特阿拉伯, 波兰, 澳大利亚, 爱尔兰, 瑞典, 瑞士, 突尼斯, 芬兰, 英国, 荷兰, 阿联酋, 马来西亚
Dalacine 法国, 突尼斯
Daladic 伊朗
Dalcinex 印度
Damclid 印度
Damicin 哥伦比亚, 墨西哥
Damicine 哥伦比亚
Dolarclin 哥伦比亚
Euroclin 厄瓜多尔, 哥伦比亚
Gynasafe 印度
Indamid 墨西哥
Klimicin 波兰
Klindan 土耳其
Klindaver 土耳其
Lanacine 奥地利
Lincocin 马来西亚
Lincosa 马来西亚
Meneklin 土耳其
Sobelin 德国
Tidact 马来西亚
混合物稳定性   注射液   混合物稳定性 : Clindamycin phosphate     
容器 溶剂 浓度 分子 温度 保存 穩定持續時間 引用文献
玻璃 NaCl 0,9% 12 mg/ml
注射液   Clindamycin phosphate   
注射液   Cefpirome sulfate 50 mg/ml
23°C
8 小时
光 280
B+级
玻璃 NaCl 0,9% 9 mg/ml
注射液   Clindamycin phosphate   
注射液   Cefotaxime sodium 20 mg/ml
24°C
24 小时
光 421
Joker
玻璃 NaCl 0,9% 9 mg/ml
注射液   Clindamycin phosphate   
注射液   Netilmicin sulfate 3 mg/ml
24°C
24 小时
光 421
Joker
玻璃 NaCl 0,9% 12 mg/ml
注射液   Clindamycin phosphate   
注射液   Ceftriaxone disodium 20 mg/ml
25°C
8 小时
光 432
D级
玻璃 NaCl 0,9% 9 mg/ml
注射液   Clindamycin phosphate   
注射液   Cefazolin sodium 10 mg/ml
注射液   Gentamicin sulfate 0,8 mg/ml
25°C
12 小时
光 695
Joker
玻璃 NaCl 0,9% 9 mg/ml
注射液   Clindamycin phosphate   
注射液   Ceftizoxime sodium 20 mg/ml
25°C
24 小时
光 418
D级
玻璃 NaCl 0,9% 9 mg/ml
注射液   Clindamycin phosphate   
注射液   Ceftazidime 20 mg/ml
25°C
48 小时
光 432
D级
玻璃 NaCl 0,9% 60 mg/ml
注射液   Clindamycin phosphate   
注射液   Aztreonam 200 mg/ml
25°C
48 小时
光 644
B级
玻璃 NaCl 0,9% 9 mg/ml
注射液   Clindamycin phosphate   
注射液   Aztreonam 20 mg/ml
25°C
48 小时
光 432
D级
玻璃 NaCl 0,9% 9 mg/ml
注射液   Clindamycin phosphate   
注射液   Piperacillin sodium 40 mg/ml
25°C
48 小时
光 432
D级
玻璃 NaCl 0,9% 9 mg/ml
注射液   Clindamycin phosphate   
注射液   Cefoxitin sodium 20 mg/ml
25°C
48 小时
光 418
D级
玻璃 NaCl 0,9% 9 mg/ml
注射液   Clindamycin phosphate   
注射液   Cefamandole nafate 10 mg/ml
25°C
48 小时
光 418
D级
玻璃 NaCl 0,9% 9 mg/ml
注射液   Clindamycin phosphate   
注射液   Cefazolin sodium 10 mg/ml
25°C
48 小时
光 418
D级
玻璃 NaCl 0,9% 12 mg/ml
注射液   Clindamycin phosphate   
注射液   Cefoperazone sodium 20 mg/ml
25°C
48 小时
光 644
B级
玻璃 NaCl 0,9% 12 mg/ml
注射液   Clindamycin phosphate   
注射液   Cefonicid sodium 10 mg/ml
25°C
48 小时
光 644
B级
玻璃 NaCl 0,9% 9 mg/ml
注射液   Clindamycin phosphate   
注射液   Cefuroxime sodium 15 mg/ml
25°C
48 小时
光 644
B级
玻璃 葡萄糖5% 12 mg/ml
注射液   Clindamycin phosphate   
注射液   Cefpirome sulfate 50 mg/ml
23°C
8 小时
光 280
B+级
玻璃 葡萄糖5% 9 mg/ml
注射液   Clindamycin phosphate   
注射液   Cefotaxime sodium 20 mg/ml
24°C
24 小时
光 421
Joker
玻璃 葡萄糖5% 9 mg/ml
注射液   Clindamycin phosphate   
注射液   Netilmicin sulfate 3 mg/ml
24°C
24 小时
光 421
Joker
玻璃 葡萄糖5% 12 mg/ml
注射液   Clindamycin phosphate   
注射液   Ceftriaxone disodium 20 mg/ml
25°C
1 小时
光 432
D级
玻璃 葡萄糖5% 9 mg/ml
注射液   Clindamycin phosphate   
注射液   Cefazolin sodium 10 mg/ml
注射液   Gentamicin sulfate 0,8 mg/ml
25°C
1 小时
光 695
Joker
玻璃 葡萄糖5% 9 mg/ml
注射液   Clindamycin phosphate   
注射液   Ceftazidime 20 mg/ml
25°C
24 小时
光 432
D级
玻璃 葡萄糖5% 9 mg/ml
注射液   Clindamycin phosphate   
注射液   Ceftizoxime sodium 20 mg/ml
25°C
48 小时
光 418
D级
玻璃 葡萄糖5% 9 mg/ml
注射液   Clindamycin phosphate   
注射液   Aztreonam 20 mg/ml
25°C
48 小时
光 432
D级
玻璃 葡萄糖5% 9 mg/ml
注射液   Clindamycin phosphate   
注射液   Piperacillin sodium 40 mg/ml
25°C
48 小时
光 432
D级
玻璃 葡萄糖5% 9 mg/ml
注射液   Clindamycin phosphate   
注射液   Cefoxitin sodium 20 mg/ml
25°C
48 小时
光 418
D级
玻璃 葡萄糖5% 9 mg/ml
注射液   Clindamycin phosphate   
注射液   Cefamandole nafate 10 mg/ml
25°C
48 小时
光 418
D级
玻璃 葡萄糖5% 9 mg/ml
注射液   Clindamycin phosphate   
注射液   Cefazolin sodium 10 mg/ml
25°C
48 小时
光 418
D级
玻璃 葡萄糖5% 12 mg/ml
注射液   Clindamycin phosphate   
注射液   Cefoperazone sodium 20 mg/ml
25°C
48 小时
光 644
B级
玻璃 葡萄糖5% 12 mg/ml
注射液   Clindamycin phosphate   
注射液   Cefonicid sodium 10 mg/ml
25°C
48 小时
光 644
B级
玻璃 葡萄糖5% 9 mg/ml
注射液   Clindamycin phosphate   
注射液   Cefuroxime sodium 15 mg/ml
25°C
48 小时
光 644
B级
玻璃 Ringer乳酸溶液 12 mg/ml
注射液   Clindamycin phosphate   
注射液   Cefpirome sulfate 50 mg/ml
23°C
8 小时
光 280
B+级
玻璃 NaCl 0.45% 12 mg/ml
注射液   Clindamycin phosphate   
注射液   Cefpirome sulfate 50 mg/ml
23°C
8 小时
光 280
B+级
玻璃 无 6 mg/ml
注射液   Clindamycin phosphate   
注射液   Ofloxacin 2 mg/ml
25°C
48 小时
无特殊要求 889
D级
聚氯乙烯 NaCl 0,9% 9 mg/ml
注射液   Clindamycin phosphate   
注射液   Tobramycin sulfate 1,2 mg/ml
-20°C
28 白天
避光 565
D级
聚氯乙烯 NaCl 0,9% 9 mg/ml
注射液   Clindamycin phosphate   
注射液   Gentamicin sulfate 1,2 mg/ml
-20°C
28 白天
避光 565
D级
聚氯乙烯 NaCl 0,9% 3 & 6 mg/ml
注射液   Clindamycin phosphate   
注射液   Aztreonam 10 & 20 mg/ml
22°C-23°C
48 小时
无特殊要求 419
B+级
聚氯乙烯 NaCl 0,9% 9 mg/ml
注射液   Clindamycin phosphate   
注射液   Cefotaxime sodium 20 mg/ml
24°C
24 小时
光 421
Joker
聚氯乙烯 NaCl 0,9% 9 mg/ml
注射液   Clindamycin phosphate   
注射液   Netilmicin sulfate 3 mg/ml
24°C
24 小时
光 421
Joker
聚氯乙烯 NaCl 0,9% 9 mg/ml
注射液   Clindamycin phosphate   
注射液   Amikacin sulfate 4 mg/ml
25°C
48 小时
无特殊要求 565
D级
聚氯乙烯 NaCl 0,9% 3 & 6 mg/ml
注射液   Clindamycin phosphate   
注射液   Aztreonam 10 & 20 mg/ml
4°C
7 白天
避光 419
B+级
聚氯乙烯 葡萄糖5% 9 mg/ml
注射液   Clindamycin phosphate   
注射液   Tobramycin sulfate 1,2 mg/ml
-20°C
14 白天
避光 565
D级
聚氯乙烯 葡萄糖5% 9 mg/ml
注射液   Clindamycin phosphate   
注射液   Gentamicin sulfate 1,2 mg/ml
-20°C
28 白天
避光 565
D级
聚氯乙烯 葡萄糖5% 3 & 6 mg/ml
注射液   Clindamycin phosphate   
注射液   Aztreonam 10 & 20 mg/ml
22°C-23°C
48 小时
无特殊要求 419
B+级
聚氯乙烯 葡萄糖5% 9 mg/ml
注射液   Clindamycin phosphate   
注射液   Cefotaxime sodium 20 mg/ml
24°C
24 小时
光 421
Joker
聚氯乙烯 葡萄糖5% 9 mg/ml
注射液   Clindamycin phosphate   
注射液   Netilmicin sulfate 3 mg/ml
24°C
24 小时
光 421
Joker
聚氯乙烯 葡萄糖5% 6 mg/ml
注射液   Clindamycin phosphate   
注射液   Gentamicin sulfate 5 mg/ml
25°C
24 小时
光 423
D级
聚氯乙烯 葡萄糖5% 9 mg/ml
注射液   Clindamycin phosphate   
注射液   Amikacin sulfate 4 mg/ml
25°C
48 小时
无特殊要求 565
D级
聚氯乙烯 葡萄糖5% 3 & 6 mg/ml
注射液   Clindamycin phosphate   
注射液   Aztreonam 10 & 20 mg/ml
4°C
7 白天
避光 419
B+级
注射器  聚丙烯 NaCl 0,9% 90 mg/ml
注射液   Clindamycin phosphate   
注射液   Gentamicin sulfate 30 mg/ml
22°C-23°C
48 小时
光 639
D级
注射器  聚丙烯 NaCl 0,9% 90 mg/ml
注射液   Clindamycin phosphate   
注射液   Amikacin sulfate 190 mg/ml
22°C-23°C
48 小时
光 639
D级

  Mentions Légales