Последнее обновление :
17/12/2025
Антибиотик   Clindamycin phosphate  
Инъекция
Стабильность растворов Стабильность смесей Факторы, которые влияют на стабильность Совместимость Способы введения Библиография pdf
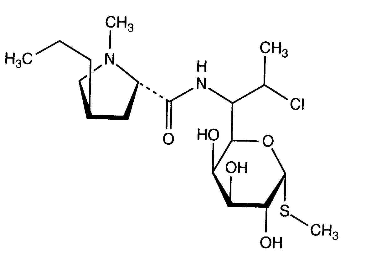
   Химическая структура  

Товарное название   Товарное название     

Trade names are indicative and excipients composition can be different depending on the country and manufacturers

Biodaclin Мексика
Camyda Индия
Cinbiot Мексика
Cleocin Австрия, Соединённые Штаты Америки, Турция
Clinamsa Мексика
Clinbac Колумбия, Перу
Clincina Португалия
Clinda-Saar Германия
Clindacid Венесуэла
Clindacin Малайзия
Clindalaf Аргентина
Clindamicina Аргентина, Бразилия, Венесуэла, Испания, Италия, Колумбия, Мексика, Перу, Португалия, чили, Эквадор
Clindamycin Австрия, Германия, Иран, Канада, Норвегия, Румыния, Саудовская Аравия, Соединённые Штаты Америки, Швеция
Clindamycin-Hameln Германия
Clindamycine Бельгия, Голландия, Тунис, Франция
Clindanovag Аргентина
Clindarix Бразилия
Clindasol Германия
Clindaval Венесуэла
Clindazyn Мексика
Clindo Польша
Clysvic Мексика
Daclin чили
Dalacin Австралия, Бельгия, Великобритания, Венгрия, Венесуэла, Голландия, Греция, Дания, Египет, Индия, Иран, Ирландия, Исландия, Италия, Канада, Колумбия, Люксембург, Малайзия, Мексика, новая Зеландия, Норвегия, Объединенные Арабские Эмираты, Польша, Саудовская Аравия, Тунис, Финляндия, чили, Швейцария, Швеция, Эквадор
Dalacine Тунис, Франция
Daladic Иран
Dalcinex Индия
Damclid Индия
Damicin Колумбия, Мексика
Damicine Колумбия
Dolarclin Колумбия
Euroclin Колумбия, Эквадор
Gynasafe Индия
Indamid Мексика
Klimicin Польша
Klindan Турция
Klindaver Турция
Lanacine Австрия
Lincocin Малайзия
Lincosa Малайзия
Meneklin Турция
Sobelin Германия
Tidact Малайзия
Стабильность смесей   Инъекция   Стабильность смесей : Clindamycin phosphate     
Упаковка Растворитель Концентрация Молекула Температура Хранение Продолжительность стабильности Ссылки
Стекло Натрия хлорид 0,9% 12 mg/ml
Инъекция   Clindamycin phosphate   
Инъекция   Cefpirome sulfate 50 mg/ml
23°C
8 Час
Свет 280
Уровень доказательности B +
Стекло Натрия хлорид 0,9% 9 mg/ml
Инъекция   Clindamycin phosphate   
Инъекция   Cefotaxime sodium 20 mg/ml
24°C
24 Час
Свет 421
ДЖОКЕР
Стекло Натрия хлорид 0,9% 9 mg/ml
Инъекция   Clindamycin phosphate   
Инъекция   Netilmicin sulfate 3 mg/ml
24°C
24 Час
Свет 421
ДЖОКЕР
Стекло Натрия хлорид 0,9% 12 mg/ml
Инъекция   Clindamycin phosphate   
Инъекция   Ceftriaxone disodium 20 mg/ml
25°C
8 Час
Свет 432
Уровень доказательности D
Стекло Натрия хлорид 0,9% 9 mg/ml
Инъекция   Clindamycin phosphate   
Инъекция   Cefazolin sodium 10 mg/ml
Инъекция   Gentamicin sulfate 0,8 mg/ml
25°C
12 Час
Свет 695
ДЖОКЕР
Стекло Натрия хлорид 0,9% 9 mg/ml
Инъекция   Clindamycin phosphate   
Инъекция   Ceftizoxime sodium 20 mg/ml
25°C
24 Час
Свет 418
Уровень доказательности D
Стекло Натрия хлорид 0,9% 9 mg/ml
Инъекция   Clindamycin phosphate   
Инъекция   Ceftazidime 20 mg/ml
25°C
48 Час
Свет 432
Уровень доказательности D
Стекло Натрия хлорид 0,9% 60 mg/ml
Инъекция   Clindamycin phosphate   
Инъекция   Aztreonam 200 mg/ml
25°C
48 Час
Свет 644
Уровень доказательности B
Стекло Натрия хлорид 0,9% 9 mg/ml
Инъекция   Clindamycin phosphate   
Инъекция   Aztreonam 20 mg/ml
25°C
48 Час
Свет 432
Уровень доказательности D
Стекло Натрия хлорид 0,9% 9 mg/ml
Инъекция   Clindamycin phosphate   
Инъекция   Piperacillin sodium 40 mg/ml
25°C
48 Час
Свет 432
Уровень доказательности D
Стекло Натрия хлорид 0,9% 9 mg/ml
Инъекция   Clindamycin phosphate   
Инъекция   Cefoxitin sodium 20 mg/ml
25°C
48 Час
Свет 418
Уровень доказательности D
Стекло Натрия хлорид 0,9% 9 mg/ml
Инъекция   Clindamycin phosphate   
Инъекция   Cefamandole nafate 10 mg/ml
25°C
48 Час
Свет 418
Уровень доказательности D
Стекло Натрия хлорид 0,9% 9 mg/ml
Инъекция   Clindamycin phosphate   
Инъекция   Cefazolin sodium 10 mg/ml
25°C
48 Час
Свет 418
Уровень доказательности D
Стекло Натрия хлорид 0,9% 12 mg/ml
Инъекция   Clindamycin phosphate   
Инъекция   Cefoperazone sodium 20 mg/ml
25°C
48 Час
Свет 644
Уровень доказательности B
Стекло Натрия хлорид 0,9% 12 mg/ml
Инъекция   Clindamycin phosphate   
Инъекция   Cefonicid sodium 10 mg/ml
25°C
48 Час
Свет 644
Уровень доказательности B
Стекло Натрия хлорид 0,9% 9 mg/ml
Инъекция   Clindamycin phosphate   
Инъекция   Cefuroxime sodium 15 mg/ml
25°C
48 Час
Свет 644
Уровень доказательности B
Стекло Глюкоза 5% 12 mg/ml
Инъекция   Clindamycin phosphate   
Инъекция   Cefpirome sulfate 50 mg/ml
23°C
8 Час
Свет 280
Уровень доказательности B +
Стекло Глюкоза 5% 9 mg/ml
Инъекция   Clindamycin phosphate   
Инъекция   Cefotaxime sodium 20 mg/ml
24°C
24 Час
Свет 421
ДЖОКЕР
Стекло Глюкоза 5% 9 mg/ml
Инъекция   Clindamycin phosphate   
Инъекция   Netilmicin sulfate 3 mg/ml
24°C
24 Час
Свет 421
ДЖОКЕР
Стекло Глюкоза 5% 12 mg/ml
Инъекция   Clindamycin phosphate   
Инъекция   Ceftriaxone disodium 20 mg/ml
25°C
1 Час
Свет 432
Уровень доказательности D
Стекло Глюкоза 5% 9 mg/ml
Инъекция   Clindamycin phosphate   
Инъекция   Cefazolin sodium 10 mg/ml
Инъекция   Gentamicin sulfate 0,8 mg/ml
25°C
1 Час
Свет 695
ДЖОКЕР
Стекло Глюкоза 5% 9 mg/ml
Инъекция   Clindamycin phosphate   
Инъекция   Ceftazidime 20 mg/ml
25°C
24 Час
Свет 432
Уровень доказательности D
Стекло Глюкоза 5% 9 mg/ml
Инъекция   Clindamycin phosphate   
Инъекция   Ceftizoxime sodium 20 mg/ml
25°C
48 Час
Свет 418
Уровень доказательности D
Стекло Глюкоза 5% 9 mg/ml
Инъекция   Clindamycin phosphate   
Инъекция   Aztreonam 20 mg/ml
25°C
48 Час
Свет 432
Уровень доказательности D
Стекло Глюкоза 5% 9 mg/ml
Инъекция   Clindamycin phosphate   
Инъекция   Piperacillin sodium 40 mg/ml
25°C
48 Час
Свет 432
Уровень доказательности D
Стекло Глюкоза 5% 9 mg/ml
Инъекция   Clindamycin phosphate   
Инъекция   Cefoxitin sodium 20 mg/ml
25°C
48 Час
Свет 418
Уровень доказательности D
Стекло Глюкоза 5% 9 mg/ml
Инъекция   Clindamycin phosphate   
Инъекция   Cefamandole nafate 10 mg/ml
25°C
48 Час
Свет 418
Уровень доказательности D
Стекло Глюкоза 5% 9 mg/ml
Инъекция   Clindamycin phosphate   
Инъекция   Cefazolin sodium 10 mg/ml
25°C
48 Час
Свет 418
Уровень доказательности D
Стекло Глюкоза 5% 12 mg/ml
Инъекция   Clindamycin phosphate   
Инъекция   Cefoperazone sodium 20 mg/ml
25°C
48 Час
Свет 644
Уровень доказательности B
Стекло Глюкоза 5% 12 mg/ml
Инъекция   Clindamycin phosphate   
Инъекция   Cefonicid sodium 10 mg/ml
25°C
48 Час
Свет 644
Уровень доказательности B
Стекло Глюкоза 5% 9 mg/ml
Инъекция   Clindamycin phosphate   
Инъекция   Cefuroxime sodium 15 mg/ml
25°C
48 Час
Свет 644
Уровень доказательности B
Стекло Раствор Рингера лактата 12 mg/ml
Инъекция   Clindamycin phosphate   
Инъекция   Cefpirome sulfate 50 mg/ml
23°C
8 Час
Свет 280
Уровень доказательности B +
Стекло Натрия хлорид 0,45% 12 mg/ml
Инъекция   Clindamycin phosphate   
Инъекция   Cefpirome sulfate 50 mg/ml
23°C
8 Час
Свет 280
Уровень доказательности B +
Стекло Нет 6 mg/ml
Инъекция   Clindamycin phosphate   
Инъекция   Ofloxacin 2 mg/ml
25°C
48 Час
Не указано 889
Уровень доказательности D
Поливинилхлорид Натрия хлорид 0,9% 9 mg/ml
Инъекция   Clindamycin phosphate   
Инъекция   Tobramycin sulfate 1,2 mg/ml
-20°C
28 День
Защищён от света 565
Уровень доказательности D
Поливинилхлорид Натрия хлорид 0,9% 9 mg/ml
Инъекция   Clindamycin phosphate   
Инъекция   Gentamicin sulfate 1,2 mg/ml
-20°C
28 День
Защищён от света 565
Уровень доказательности D
Поливинилхлорид Натрия хлорид 0,9% 3 & 6 mg/ml
Инъекция   Clindamycin phosphate   
Инъекция   Aztreonam 10 & 20 mg/ml
22°C-23°C
48 Час
Не указано 419
Уровень доказательности B +
Поливинилхлорид Натрия хлорид 0,9% 9 mg/ml
Инъекция   Clindamycin phosphate   
Инъекция   Cefotaxime sodium 20 mg/ml
24°C
24 Час
Свет 421
ДЖОКЕР
Поливинилхлорид Натрия хлорид 0,9% 9 mg/ml
Инъекция   Clindamycin phosphate   
Инъекция   Netilmicin sulfate 3 mg/ml
24°C
24 Час
Свет 421
ДЖОКЕР
Поливинилхлорид Натрия хлорид 0,9% 9 mg/ml
Инъекция   Clindamycin phosphate   
Инъекция   Amikacin sulfate 4 mg/ml
25°C
48 Час
Не указано 565
Уровень доказательности D
Поливинилхлорид Натрия хлорид 0,9% 3 & 6 mg/ml
Инъекция   Clindamycin phosphate   
Инъекция   Aztreonam 10 & 20 mg/ml
4°C
7 День
Защищён от света 419
Уровень доказательности B +
Поливинилхлорид Глюкоза 5% 9 mg/ml
Инъекция   Clindamycin phosphate   
Инъекция   Tobramycin sulfate 1,2 mg/ml
-20°C
14 День
Защищён от света 565
Уровень доказательности D
Поливинилхлорид Глюкоза 5% 9 mg/ml
Инъекция   Clindamycin phosphate   
Инъекция   Gentamicin sulfate 1,2 mg/ml
-20°C
28 День
Защищён от света 565
Уровень доказательности D
Поливинилхлорид Глюкоза 5% 3 & 6 mg/ml
Инъекция   Clindamycin phosphate   
Инъекция   Aztreonam 10 & 20 mg/ml
22°C-23°C
48 Час
Не указано 419
Уровень доказательности B +
Поливинилхлорид Глюкоза 5% 9 mg/ml
Инъекция   Clindamycin phosphate   
Инъекция   Cefotaxime sodium 20 mg/ml
24°C
24 Час
Свет 421
ДЖОКЕР
Поливинилхлорид Глюкоза 5% 9 mg/ml
Инъекция   Clindamycin phosphate   
Инъекция   Netilmicin sulfate 3 mg/ml
24°C
24 Час
Свет 421
ДЖОКЕР
Поливинилхлорид Глюкоза 5% 6 mg/ml
Инъекция   Clindamycin phosphate   
Инъекция   Gentamicin sulfate 5 mg/ml
25°C
24 Час
Свет 423
Уровень доказательности D
Поливинилхлорид Глюкоза 5% 9 mg/ml
Инъекция   Clindamycin phosphate   
Инъекция   Amikacin sulfate 4 mg/ml
25°C
48 Час
Не указано 565
Уровень доказательности D
Поливинилхлорид Глюкоза 5% 3 & 6 mg/ml
Инъекция   Clindamycin phosphate   
Инъекция   Aztreonam 10 & 20 mg/ml
4°C
7 День
Защищён от света 419
Уровень доказательности B +
Шприц полипропилен Натрия хлорид 0,9% 90 mg/ml
Инъекция   Clindamycin phosphate   
Инъекция   Gentamicin sulfate 30 mg/ml
22°C-23°C
48 Час
Свет 639
Уровень доказательности D
Шприц полипропилен Натрия хлорид 0,9% 90 mg/ml
Инъекция   Clindamycin phosphate   
Инъекция   Amikacin sulfate 190 mg/ml
22°C-23°C
48 Час
Свет 639
Уровень доказательности D

  Mentions Légales