Última actualización :
17/12/2025
Antibiótico   Clindamycin phosphate  
Inyectables
Estabilidad en solucion Estabilidad en mezcla Factores que influyen sobre la estabilidad Compatibilidades método de inyección Bibliografía pdf
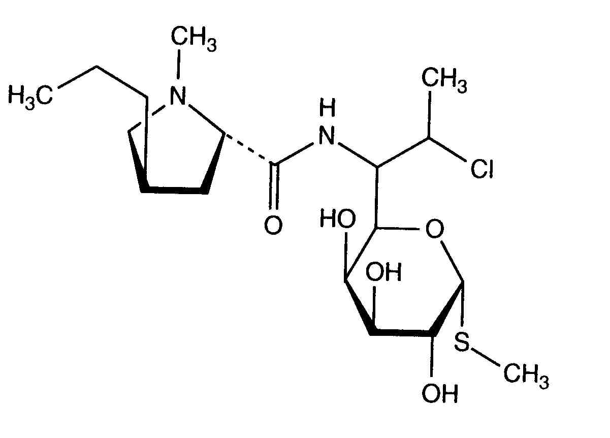
   Estructura química  

Nombre comercial   Nombre comercial     

Los nombres comerciales son orientativos y los excipientes de la formulación pueden ser distintos dependiendo del país y del laboratorio fabricante.

Biodaclin México
Camyda India
Cinbiot México
Cleocin Austria, Estados Unidos de América, Turquía
Clinamsa México
Clinbac Colombia, Marruecos
Clincina Portugal
Clinda-Saar Alemania
Clindacid Venezuela
Clindacin Malasia
Clindalaf Argentina
Clindamicina Argentina, Brasil, Chile, Colombia, Ecuador, España, Italia, Marruecos, México, Portugal, Venezuela
Clindamycin Alemania, Arabia Saudita, Austria, Canadá, Estados Unidos de América, Irán, Noruega, Rumania, Suecia
Clindamycin-Hameln Alemania
Clindamycine Bélgica, Francia, Países Bajos, Túnez
Clindanovag Argentina
Clindarix Brasil
Clindasol Alemania
Clindaval Venezuela
Clindazyn México
Clindo Polonia
Clysvic México
Daclin Chile
Dalacin Arabia Saudita, Australia, Bélgica, Canadá, Chile, Colombia, Dinamarca, Ecuador, Egipto, Emiratos Árabes Unidos, Finlandia, Gran Bretaña, Grecia, Hungría, India, Irán, Irlanda, Islandia, Italia, Luxemburgo, Malasia, México, Noruega, Nueva Zelanda, Países Bajos, Polonia, Suecia, Suiza, Túnez, Venezuela
Dalacine Francia, Túnez
Daladic Irán
Dalcinex India
Damclid India
Damicin Colombia, México
Damicine Colombia
Dolarclin Colombia
Euroclin Colombia, Ecuador
Gynasafe India
Indamid México
Klimicin Polonia
Klindan Turquía
Klindaver Turquía
Lanacine Austria
Lincocin Malasia
Lincosa Malasia
Meneklin Turquía
Sobelin Alemania
Tidact Malasia
Estabilidad en mezcla   Inyectables   Estabilidad en mezcla : Clindamycin phosphate     
Envase Solvente Concentración Molécula Temperatura Conservación Duración de la estabilidad Bibliografía
Vidrio Cloruro de sodio 0,9% 12 mg/ml
Inyectables   Clindamycin phosphate   
Inyectables   Cefpirome sulfate 50 mg/ml
23°C
8 Hora
Luz 280
Nivel de evidencia B+
Vidrio Cloruro de sodio 0,9% 9 mg/ml
Inyectables   Clindamycin phosphate   
Inyectables   Cefotaxime sodium 20 mg/ml
24°C
24 Hora
Luz 421
Joker
Vidrio Cloruro de sodio 0,9% 9 mg/ml
Inyectables   Clindamycin phosphate   
Inyectables   Netilmicin sulfate 3 mg/ml
24°C
24 Hora
Luz 421
Joker
Vidrio Cloruro de sodio 0,9% 12 mg/ml
Inyectables   Clindamycin phosphate   
Inyectables   Ceftriaxone disodium 20 mg/ml
25°C
8 Hora
Luz 432
Nivel de evidencia D
Vidrio Cloruro de sodio 0,9% 9 mg/ml
Inyectables   Clindamycin phosphate   
Inyectables   Cefazolin sodium 10 mg/ml
Inyectables   Gentamicin sulfate 0,8 mg/ml
25°C
12 Hora
Luz 695
Joker
Vidrio Cloruro de sodio 0,9% 9 mg/ml
Inyectables   Clindamycin phosphate   
Inyectables   Ceftizoxime sodium 20 mg/ml
25°C
24 Hora
Luz 418
Nivel de evidencia D
Vidrio Cloruro de sodio 0,9% 9 mg/ml
Inyectables   Clindamycin phosphate   
Inyectables   Ceftazidime 20 mg/ml
25°C
48 Hora
Luz 432
Nivel de evidencia D
Vidrio Cloruro de sodio 0,9% 60 mg/ml
Inyectables   Clindamycin phosphate   
Inyectables   Aztreonam 200 mg/ml
25°C
48 Hora
Luz 644
Nivel de evidencia B
Vidrio Cloruro de sodio 0,9% 9 mg/ml
Inyectables   Clindamycin phosphate   
Inyectables   Aztreonam 20 mg/ml
25°C
48 Hora
Luz 432
Nivel de evidencia D
Vidrio Cloruro de sodio 0,9% 9 mg/ml
Inyectables   Clindamycin phosphate   
Inyectables   Piperacillin sodium 40 mg/ml
25°C
48 Hora
Luz 432
Nivel de evidencia D
Vidrio Cloruro de sodio 0,9% 9 mg/ml
Inyectables   Clindamycin phosphate   
Inyectables   Cefoxitin sodium 20 mg/ml
25°C
48 Hora
Luz 418
Nivel de evidencia D
Vidrio Cloruro de sodio 0,9% 9 mg/ml
Inyectables   Clindamycin phosphate   
Inyectables   Cefamandole nafate 10 mg/ml
25°C
48 Hora
Luz 418
Nivel de evidencia D
Vidrio Cloruro de sodio 0,9% 9 mg/ml
Inyectables   Clindamycin phosphate   
Inyectables   Cefazolin sodium 10 mg/ml
25°C
48 Hora
Luz 418
Nivel de evidencia D
Vidrio Cloruro de sodio 0,9% 12 mg/ml
Inyectables   Clindamycin phosphate   
Inyectables   Cefoperazone sodium 20 mg/ml
25°C
48 Hora
Luz 644
Nivel de evidencia B
Vidrio Cloruro de sodio 0,9% 12 mg/ml
Inyectables   Clindamycin phosphate   
Inyectables   Cefonicid sodium 10 mg/ml
25°C
48 Hora
Luz 644
Nivel de evidencia B
Vidrio Cloruro de sodio 0,9% 9 mg/ml
Inyectables   Clindamycin phosphate   
Inyectables   Cefuroxime sodium 15 mg/ml
25°C
48 Hora
Luz 644
Nivel de evidencia B
Vidrio Glucosa 5% 12 mg/ml
Inyectables   Clindamycin phosphate   
Inyectables   Cefpirome sulfate 50 mg/ml
23°C
8 Hora
Luz 280
Nivel de evidencia B+
Vidrio Glucosa 5% 9 mg/ml
Inyectables   Clindamycin phosphate   
Inyectables   Cefotaxime sodium 20 mg/ml
24°C
24 Hora
Luz 421
Joker
Vidrio Glucosa 5% 9 mg/ml
Inyectables   Clindamycin phosphate   
Inyectables   Netilmicin sulfate 3 mg/ml
24°C
24 Hora
Luz 421
Joker
Vidrio Glucosa 5% 12 mg/ml
Inyectables   Clindamycin phosphate   
Inyectables   Ceftriaxone disodium 20 mg/ml
25°C
1 Hora
Luz 432
Nivel de evidencia D
Vidrio Glucosa 5% 9 mg/ml
Inyectables   Clindamycin phosphate   
Inyectables   Cefazolin sodium 10 mg/ml
Inyectables   Gentamicin sulfate 0,8 mg/ml
25°C
1 Hora
Luz 695
Joker
Vidrio Glucosa 5% 9 mg/ml
Inyectables   Clindamycin phosphate   
Inyectables   Ceftazidime 20 mg/ml
25°C
24 Hora
Luz 432
Nivel de evidencia D
Vidrio Glucosa 5% 9 mg/ml
Inyectables   Clindamycin phosphate   
Inyectables   Ceftizoxime sodium 20 mg/ml
25°C
48 Hora
Luz 418
Nivel de evidencia D
Vidrio Glucosa 5% 9 mg/ml
Inyectables   Clindamycin phosphate   
Inyectables   Aztreonam 20 mg/ml
25°C
48 Hora
Luz 432
Nivel de evidencia D
Vidrio Glucosa 5% 9 mg/ml
Inyectables   Clindamycin phosphate   
Inyectables   Piperacillin sodium 40 mg/ml
25°C
48 Hora
Luz 432
Nivel de evidencia D
Vidrio Glucosa 5% 9 mg/ml
Inyectables   Clindamycin phosphate   
Inyectables   Cefoxitin sodium 20 mg/ml
25°C
48 Hora
Luz 418
Nivel de evidencia D
Vidrio Glucosa 5% 9 mg/ml
Inyectables   Clindamycin phosphate   
Inyectables   Cefamandole nafate 10 mg/ml
25°C
48 Hora
Luz 418
Nivel de evidencia D
Vidrio Glucosa 5% 9 mg/ml
Inyectables   Clindamycin phosphate   
Inyectables   Cefazolin sodium 10 mg/ml
25°C
48 Hora
Luz 418
Nivel de evidencia D
Vidrio Glucosa 5% 12 mg/ml
Inyectables   Clindamycin phosphate   
Inyectables   Cefoperazone sodium 20 mg/ml
25°C
48 Hora
Luz 644
Nivel de evidencia B
Vidrio Glucosa 5% 12 mg/ml
Inyectables   Clindamycin phosphate   
Inyectables   Cefonicid sodium 10 mg/ml
25°C
48 Hora
Luz 644
Nivel de evidencia B
Vidrio Glucosa 5% 9 mg/ml
Inyectables   Clindamycin phosphate   
Inyectables   Cefuroxime sodium 15 mg/ml
25°C
48 Hora
Luz 644
Nivel de evidencia B
Vidrio Ringer lactato 12 mg/ml
Inyectables   Clindamycin phosphate   
Inyectables   Cefpirome sulfate 50 mg/ml
23°C
8 Hora
Luz 280
Nivel de evidencia B+
Vidrio Cloruro de sodio 0,45% 12 mg/ml
Inyectables   Clindamycin phosphate   
Inyectables   Cefpirome sulfate 50 mg/ml
23°C
8 Hora
Luz 280
Nivel de evidencia B+
Vidrio Ninguno 6 mg/ml
Inyectables   Clindamycin phosphate   
Inyectables   Ofloxacin 2 mg/ml
25°C
48 Hora
No precisada 889
Nivel de evidencia D
Cloruro de polivinilo Cloruro de sodio 0,9% 9 mg/ml
Inyectables   Clindamycin phosphate   
Inyectables   Tobramycin sulfate 1,2 mg/ml
-20°C
28 Día
A cubierto de la luz 565
Nivel de evidencia D
Cloruro de polivinilo Cloruro de sodio 0,9% 9 mg/ml
Inyectables   Clindamycin phosphate   
Inyectables   Gentamicin sulfate 1,2 mg/ml
-20°C
28 Día
A cubierto de la luz 565
Nivel de evidencia D
Cloruro de polivinilo Cloruro de sodio 0,9% 3 & 6 mg/ml
Inyectables   Clindamycin phosphate   
Inyectables   Aztreonam 10 & 20 mg/ml
22°C-23°C
48 Hora
No precisada 419
Nivel de evidencia B+
Cloruro de polivinilo Cloruro de sodio 0,9% 9 mg/ml
Inyectables   Clindamycin phosphate   
Inyectables   Cefotaxime sodium 20 mg/ml
24°C
24 Hora
Luz 421
Joker
Cloruro de polivinilo Cloruro de sodio 0,9% 9 mg/ml
Inyectables   Clindamycin phosphate   
Inyectables   Netilmicin sulfate 3 mg/ml
24°C
24 Hora
Luz 421
Joker
Cloruro de polivinilo Cloruro de sodio 0,9% 9 mg/ml
Inyectables   Clindamycin phosphate   
Inyectables   Amikacin sulfate 4 mg/ml
25°C
48 Hora
No precisada 565
Nivel de evidencia D
Cloruro de polivinilo Cloruro de sodio 0,9% 3 & 6 mg/ml
Inyectables   Clindamycin phosphate   
Inyectables   Aztreonam 10 & 20 mg/ml
4°C
7 Día
A cubierto de la luz 419
Nivel de evidencia B+
Cloruro de polivinilo Glucosa 5% 9 mg/ml
Inyectables   Clindamycin phosphate   
Inyectables   Tobramycin sulfate 1,2 mg/ml
-20°C
14 Día
A cubierto de la luz 565
Nivel de evidencia D
Cloruro de polivinilo Glucosa 5% 9 mg/ml
Inyectables   Clindamycin phosphate   
Inyectables   Gentamicin sulfate 1,2 mg/ml
-20°C
28 Día
A cubierto de la luz 565
Nivel de evidencia D
Cloruro de polivinilo Glucosa 5% 3 & 6 mg/ml
Inyectables   Clindamycin phosphate   
Inyectables   Aztreonam 10 & 20 mg/ml
22°C-23°C
48 Hora
No precisada 419
Nivel de evidencia B+
Cloruro de polivinilo Glucosa 5% 9 mg/ml
Inyectables   Clindamycin phosphate   
Inyectables   Cefotaxime sodium 20 mg/ml
24°C
24 Hora
Luz 421
Joker
Cloruro de polivinilo Glucosa 5% 9 mg/ml
Inyectables   Clindamycin phosphate   
Inyectables   Netilmicin sulfate 3 mg/ml
24°C
24 Hora
Luz 421
Joker
Cloruro de polivinilo Glucosa 5% 6 mg/ml
Inyectables   Clindamycin phosphate   
Inyectables   Gentamicin sulfate 5 mg/ml
25°C
24 Hora
Luz 423
Nivel de evidencia D
Cloruro de polivinilo Glucosa 5% 9 mg/ml
Inyectables   Clindamycin phosphate   
Inyectables   Amikacin sulfate 4 mg/ml
25°C
48 Hora
No precisada 565
Nivel de evidencia D
Cloruro de polivinilo Glucosa 5% 3 & 6 mg/ml
Inyectables   Clindamycin phosphate   
Inyectables   Aztreonam 10 & 20 mg/ml
4°C
7 Día
A cubierto de la luz 419
Nivel de evidencia B+
jeringa polipropileno Cloruro de sodio 0,9% 90 mg/ml
Inyectables   Clindamycin phosphate   
Inyectables   Gentamicin sulfate 30 mg/ml
22°C-23°C
48 Hora
Luz 639
Nivel de evidencia D
jeringa polipropileno Cloruro de sodio 0,9% 90 mg/ml
Inyectables   Clindamycin phosphate   
Inyectables   Amikacin sulfate 190 mg/ml
22°C-23°C
48 Hora
Luz 639
Nivel de evidencia D

  Mentions Légales