Ostatnia aktualizacja :
17/12/2025
Antybiotyk   Clindamycin phosphate  
Injekcje
Trwałość roztworów Trwałość w mieszaninie Czynnik wpływający na trwałość Zgodność Sposób podania Bibliografia pdf
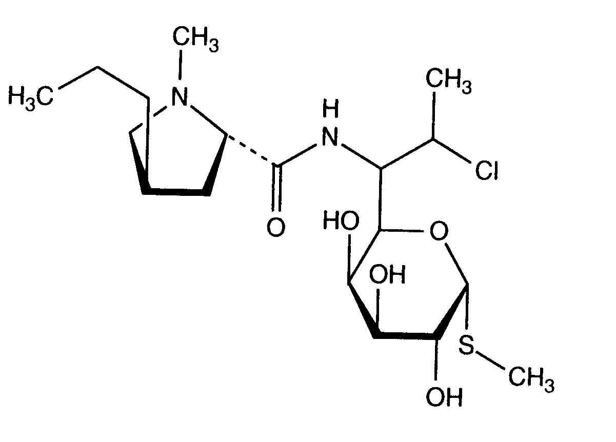
   Struktura chemiczna  

Nazwa handlowa   Nazwa handlowa     

Trade names are indicative and excipients composition can be different depending on the country and manufacturers

Biodaclin Meksyk
Camyda Indie
Cinbiot Meksyk
Cleocin Austria, Stany Zjednoczone Ameryki, Turcja
Clinamsa Meksyk
Clinbac KolumbiaKolumbia, Peru
Clincina Portugalia
Clinda-Saar Niemcy
Clindacid Wenezuela
Clindacin Malezja
Clindalaf Argentyna
Clindamicina Argentyna, Brazylia, Chile, Ekwador, Hiszpania, KolumbiaKolumbia, Meksyk, Peru, Portugalia, Wenezuela, Włochy
Clindamycin Arabia Saudyjska, Austria, Iran, Kanada, Niemcy, Norwegia, Rumunia, Stany Zjednoczone Ameryki, Szwecja
Clindamycin-Hameln Niemcy
Clindamycine Belgia, Francja , Holandia, Tunisie
Clindanovag Argentyna
Clindarix Brazylia
Clindasol Niemcy
Clindaval Wenezuela
Clindazyn Meksyk
Clindo Polska
Clysvic Meksyk
Daclin Chile
Dalacin Arabia Saudyjska, Australia, Belgia, Chile, Dania, Egipt, Ekwador, Finlandia, Grecja, Holandia, Indie, Iran, Irlandia, Islandia, Kanada, KolumbiaKolumbia, Luksemburg, Malezja, Meksyk, Norwegia, nowa Zelandia, Polska, Szwajcaria, Szwecja, Tunisie, Węgry, Wenezuela, Wielka Brytania, Włochy, Zjednoczone Emiraty Arabskie
Dalacine Francja , Tunisie
Daladic Iran
Dalcinex Indie
Damclid Indie
Damicin KolumbiaKolumbia, Meksyk
Damicine KolumbiaKolumbia
Dolarclin KolumbiaKolumbia
Euroclin Ekwador, KolumbiaKolumbia
Gynasafe Indie
Indamid Meksyk
Klimicin Polska
Klindan Turcja
Klindaver Turcja
Lanacine Austria
Lincocin Malezja
Lincosa Malezja
Meneklin Turcja
Sobelin Niemcy
Tidact Malezja
Trwałość w mieszaninie   Injekcje   Trwałość w mieszaninie : Clindamycin phosphate     
Pojemnik Rozpuszczalnik Stężenie Związek Temperatura Przechowywanie Czas trwania stabilności Bibliografia
Szkło Chlorek sodu 0,9% 12 mg/ml
Injekcje   Clindamycin phosphate   
Injekcje   Cefpirome sulfate 50 mg/ml
23°C
8 Godzina
światło 280
Poziom wiarygodności B+
Szkło Chlorek sodu 0,9% 9 mg/ml
Injekcje   Clindamycin phosphate   
Injekcje   Cefotaxime sodium 20 mg/ml
24°C
24 Godzina
światło 421
Joker
Szkło Chlorek sodu 0,9% 9 mg/ml
Injekcje   Clindamycin phosphate   
Injekcje   Netilmicin sulfate 3 mg/ml
24°C
24 Godzina
światło 421
Joker
Szkło Chlorek sodu 0,9% 12 mg/ml
Injekcje   Clindamycin phosphate   
Injekcje   Ceftriaxone disodium 20 mg/ml
25°C
8 Godzina
światło 432
Poziom wiarygodności D
Szkło Chlorek sodu 0,9% 9 mg/ml
Injekcje   Clindamycin phosphate   
Injekcje   Cefazolin sodium 10 mg/ml
Injekcje   Gentamicin sulfate 0,8 mg/ml
25°C
12 Godzina
światło 695
Joker
Szkło Chlorek sodu 0,9% 9 mg/ml
Injekcje   Clindamycin phosphate   
Injekcje   Ceftizoxime sodium 20 mg/ml
25°C
24 Godzina
światło 418
Poziom wiarygodności D
Szkło Chlorek sodu 0,9% 9 mg/ml
Injekcje   Clindamycin phosphate   
Injekcje   Ceftazidime 20 mg/ml
25°C
48 Godzina
światło 432
Poziom wiarygodności D
Szkło Chlorek sodu 0,9% 60 mg/ml
Injekcje   Clindamycin phosphate   
Injekcje   Aztreonam 200 mg/ml
25°C
48 Godzina
światło 644
Poziom wiarygodności B
Szkło Chlorek sodu 0,9% 9 mg/ml
Injekcje   Clindamycin phosphate   
Injekcje   Aztreonam 20 mg/ml
25°C
48 Godzina
światło 432
Poziom wiarygodności D
Szkło Chlorek sodu 0,9% 9 mg/ml
Injekcje   Clindamycin phosphate   
Injekcje   Piperacillin sodium 40 mg/ml
25°C
48 Godzina
światło 432
Poziom wiarygodności D
Szkło Chlorek sodu 0,9% 9 mg/ml
Injekcje   Clindamycin phosphate   
Injekcje   Cefoxitin sodium 20 mg/ml
25°C
48 Godzina
światło 418
Poziom wiarygodności D
Szkło Chlorek sodu 0,9% 9 mg/ml
Injekcje   Clindamycin phosphate   
Injekcje   Cefamandole nafate 10 mg/ml
25°C
48 Godzina
światło 418
Poziom wiarygodności D
Szkło Chlorek sodu 0,9% 9 mg/ml
Injekcje   Clindamycin phosphate   
Injekcje   Cefazolin sodium 10 mg/ml
25°C
48 Godzina
światło 418
Poziom wiarygodności D
Szkło Chlorek sodu 0,9% 12 mg/ml
Injekcje   Clindamycin phosphate   
Injekcje   Cefoperazone sodium 20 mg/ml
25°C
48 Godzina
światło 644
Poziom wiarygodności B
Szkło Chlorek sodu 0,9% 12 mg/ml
Injekcje   Clindamycin phosphate   
Injekcje   Cefonicid sodium 10 mg/ml
25°C
48 Godzina
światło 644
Poziom wiarygodności B
Szkło Chlorek sodu 0,9% 9 mg/ml
Injekcje   Clindamycin phosphate   
Injekcje   Cefuroxime sodium 15 mg/ml
25°C
48 Godzina
światło 644
Poziom wiarygodności B
Szkło Glukoza 5% 12 mg/ml
Injekcje   Clindamycin phosphate   
Injekcje   Cefpirome sulfate 50 mg/ml
23°C
8 Godzina
światło 280
Poziom wiarygodności B+
Szkło Glukoza 5% 9 mg/ml
Injekcje   Clindamycin phosphate   
Injekcje   Cefotaxime sodium 20 mg/ml
24°C
24 Godzina
światło 421
Joker
Szkło Glukoza 5% 9 mg/ml
Injekcje   Clindamycin phosphate   
Injekcje   Netilmicin sulfate 3 mg/ml
24°C
24 Godzina
światło 421
Joker
Szkło Glukoza 5% 12 mg/ml
Injekcje   Clindamycin phosphate   
Injekcje   Ceftriaxone disodium 20 mg/ml
25°C
1 Godzina
światło 432
Poziom wiarygodności D
Szkło Glukoza 5% 9 mg/ml
Injekcje   Clindamycin phosphate   
Injekcje   Cefazolin sodium 10 mg/ml
Injekcje   Gentamicin sulfate 0,8 mg/ml
25°C
1 Godzina
światło 695
Joker
Szkło Glukoza 5% 9 mg/ml
Injekcje   Clindamycin phosphate   
Injekcje   Ceftazidime 20 mg/ml
25°C
24 Godzina
światło 432
Poziom wiarygodności D
Szkło Glukoza 5% 9 mg/ml
Injekcje   Clindamycin phosphate   
Injekcje   Ceftizoxime sodium 20 mg/ml
25°C
48 Godzina
światło 418
Poziom wiarygodności D
Szkło Glukoza 5% 9 mg/ml
Injekcje   Clindamycin phosphate   
Injekcje   Aztreonam 20 mg/ml
25°C
48 Godzina
światło 432
Poziom wiarygodności D
Szkło Glukoza 5% 9 mg/ml
Injekcje   Clindamycin phosphate   
Injekcje   Piperacillin sodium 40 mg/ml
25°C
48 Godzina
światło 432
Poziom wiarygodności D
Szkło Glukoza 5% 9 mg/ml
Injekcje   Clindamycin phosphate   
Injekcje   Cefoxitin sodium 20 mg/ml
25°C
48 Godzina
światło 418
Poziom wiarygodności D
Szkło Glukoza 5% 9 mg/ml
Injekcje   Clindamycin phosphate   
Injekcje   Cefamandole nafate 10 mg/ml
25°C
48 Godzina
światło 418
Poziom wiarygodności D
Szkło Glukoza 5% 9 mg/ml
Injekcje   Clindamycin phosphate   
Injekcje   Cefazolin sodium 10 mg/ml
25°C
48 Godzina
światło 418
Poziom wiarygodności D
Szkło Glukoza 5% 12 mg/ml
Injekcje   Clindamycin phosphate   
Injekcje   Cefoperazone sodium 20 mg/ml
25°C
48 Godzina
światło 644
Poziom wiarygodności B
Szkło Glukoza 5% 12 mg/ml
Injekcje   Clindamycin phosphate   
Injekcje   Cefonicid sodium 10 mg/ml
25°C
48 Godzina
światło 644
Poziom wiarygodności B
Szkło Glukoza 5% 9 mg/ml
Injekcje   Clindamycin phosphate   
Injekcje   Cefuroxime sodium 15 mg/ml
25°C
48 Godzina
światło 644
Poziom wiarygodności B
Szkło Roztwór Ringera z mleczanem sodowym 12 mg/ml
Injekcje   Clindamycin phosphate   
Injekcje   Cefpirome sulfate 50 mg/ml
23°C
8 Godzina
światło 280
Poziom wiarygodności B+
Szkło Chlorek sodu 0,45% 12 mg/ml
Injekcje   Clindamycin phosphate   
Injekcje   Cefpirome sulfate 50 mg/ml
23°C
8 Godzina
światło 280
Poziom wiarygodności B+
Szkło Żaden 6 mg/ml
Injekcje   Clindamycin phosphate   
Injekcje   Ofloxacin 2 mg/ml
25°C
48 Godzina
Nie wyszczególniony 889
Poziom wiarygodności D
Polichlorek winylu Chlorek sodu 0,9% 9 mg/ml
Injekcje   Clindamycin phosphate   
Injekcje   Tobramycin sulfate 1,2 mg/ml
-20°C
28 Dzień
Chronić od światła 565
Poziom wiarygodności D
Polichlorek winylu Chlorek sodu 0,9% 9 mg/ml
Injekcje   Clindamycin phosphate   
Injekcje   Gentamicin sulfate 1,2 mg/ml
-20°C
28 Dzień
Chronić od światła 565
Poziom wiarygodności D
Polichlorek winylu Chlorek sodu 0,9% 3 & 6 mg/ml
Injekcje   Clindamycin phosphate   
Injekcje   Aztreonam 10 & 20 mg/ml
22°C-23°C
48 Godzina
Nie wyszczególniony 419
Poziom wiarygodności B+
Polichlorek winylu Chlorek sodu 0,9% 9 mg/ml
Injekcje   Clindamycin phosphate   
Injekcje   Cefotaxime sodium 20 mg/ml
24°C
24 Godzina
światło 421
Joker
Polichlorek winylu Chlorek sodu 0,9% 9 mg/ml
Injekcje   Clindamycin phosphate   
Injekcje   Netilmicin sulfate 3 mg/ml
24°C
24 Godzina
światło 421
Joker
Polichlorek winylu Chlorek sodu 0,9% 9 mg/ml
Injekcje   Clindamycin phosphate   
Injekcje   Amikacin sulfate 4 mg/ml
25°C
48 Godzina
Nie wyszczególniony 565
Poziom wiarygodności D
Polichlorek winylu Chlorek sodu 0,9% 3 & 6 mg/ml
Injekcje   Clindamycin phosphate   
Injekcje   Aztreonam 10 & 20 mg/ml
4°C
7 Dzień
Chronić od światła 419
Poziom wiarygodności B+
Polichlorek winylu Glukoza 5% 9 mg/ml
Injekcje   Clindamycin phosphate   
Injekcje   Tobramycin sulfate 1,2 mg/ml
-20°C
14 Dzień
Chronić od światła 565
Poziom wiarygodności D
Polichlorek winylu Glukoza 5% 9 mg/ml
Injekcje   Clindamycin phosphate   
Injekcje   Gentamicin sulfate 1,2 mg/ml
-20°C
28 Dzień
Chronić od światła 565
Poziom wiarygodności D
Polichlorek winylu Glukoza 5% 3 & 6 mg/ml
Injekcje   Clindamycin phosphate   
Injekcje   Aztreonam 10 & 20 mg/ml
22°C-23°C
48 Godzina
Nie wyszczególniony 419
Poziom wiarygodności B+
Polichlorek winylu Glukoza 5% 9 mg/ml
Injekcje   Clindamycin phosphate   
Injekcje   Cefotaxime sodium 20 mg/ml
24°C
24 Godzina
światło 421
Joker
Polichlorek winylu Glukoza 5% 9 mg/ml
Injekcje   Clindamycin phosphate   
Injekcje   Netilmicin sulfate 3 mg/ml
24°C
24 Godzina
światło 421
Joker
Polichlorek winylu Glukoza 5% 6 mg/ml
Injekcje   Clindamycin phosphate   
Injekcje   Gentamicin sulfate 5 mg/ml
25°C
24 Godzina
światło 423
Poziom wiarygodności D
Polichlorek winylu Glukoza 5% 9 mg/ml
Injekcje   Clindamycin phosphate   
Injekcje   Amikacin sulfate 4 mg/ml
25°C
48 Godzina
Nie wyszczególniony 565
Poziom wiarygodności D
Polichlorek winylu Glukoza 5% 3 & 6 mg/ml
Injekcje   Clindamycin phosphate   
Injekcje   Aztreonam 10 & 20 mg/ml
4°C
7 Dzień
Chronić od światła 419
Poziom wiarygodności B+
Strzykawka Chlorek sodu 0,9% 90 mg/ml
Injekcje   Clindamycin phosphate   
Injekcje   Gentamicin sulfate 30 mg/ml
22°C-23°C
48 Godzina
światło 639
Poziom wiarygodności D
Strzykawka Chlorek sodu 0,9% 90 mg/ml
Injekcje   Clindamycin phosphate   
Injekcje   Amikacin sulfate 190 mg/ml
22°C-23°C
48 Godzina
światło 639
Poziom wiarygodności D

  Mentions Légales