Viimeisin päivitys :
17/12/2025
Antibiootit   Clindamycin phosphate  
Injektioneste
Stabilius liuoksessa Stabilius seoksissa Tekijät, jotka vaikuttavat stabiliuteen Yhteensopivuus Antotapa Viitteet pdf
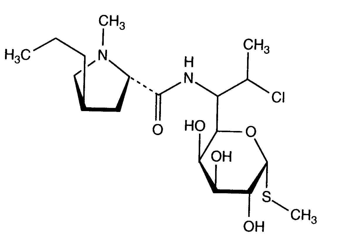
   Kemiallinen rakenne  

Kauppanimi   Kauppanimi     

Trade names are indicative and excipients composition can be different depending on the country and manufacturers

Biodaclin Meksiko
Camyda Intia
Cinbiot Meksiko
Cleocin Itävalta, Turkki, Yhdysvallat
Clinamsa Meksiko
Clinbac Kolumbia, Marokko
Clincina Portugali
Clinda-Saar Saksa
Clindacid Venezuela
Clindacin Malesia
Clindalaf Argentiina
Clindamicina Argentiina, Brasilia, Chile, Ecuador, Espanja, Italia, Kolumbia, Marokko, Meksiko, Portugali, Venezuela
Clindamycin Iran, Itävalta, Kanada, Norja, Romania, Ruotsi, Saksa, Saudi-Arabia, Yhdysvallat
Clindamycin-Hameln Saksa
Clindamycine Belgia, Hollanti, Ranska, Tunisia
Clindanovag Argentiina
Clindarix Brasilia
Clindasol Saksa
Clindaval Venezuela
Clindazyn Meksiko
Clindo Puola
Clysvic Meksiko
Daclin Chile
Dalacin Australia, Belgia, Chile, Ecuador, Egypti, Hollanti, Intia, Iran, Irlanti, Islanti, Iso-Britannia, Italia, Kanada, Kolumbia, Kreikka, Luxemburg, Malesia, Meksiko, New Zealand, Norja, Puola, Ruotsi, Saudi-Arabia, Suomi, Sveitsi, Tanska, Tunisia, Unkari, Venezuela, Yhdistyneet arabiemiirikunnat
Dalacine Ranska, Tunisia
Daladic Iran
Dalcinex Intia
Damclid Intia
Damicin Kolumbia, Meksiko
Damicine Kolumbia
Dolarclin Kolumbia
Euroclin Ecuador, Kolumbia
Gynasafe Intia
Indamid Meksiko
Klimicin Puola
Klindan Turkki
Klindaver Turkki
Lanacine Itävalta
Lincocin Malesia
Lincosa Malesia
Meneklin Turkki
Sobelin Saksa
Tidact Malesia
Stabilius seoksissa   Injektioneste   Stabilius seoksissa : Clindamycin phosphate     
Astia Liuotin Konsentraatio Yhdiste Lämpötila Säilytys Vakauden kesto Viitteet
Lasi Natriumkloridi 0,9% 12 mg/ml
Injektioneste   Clindamycin phosphate   
Injektioneste   Cefpirome sulfate 50 mg/ml
23°C
8 tunti
Valo 280
Näytön laajuus B+
Lasi Natriumkloridi 0,9% 9 mg/ml
Injektioneste   Clindamycin phosphate   
Injektioneste   Cefotaxime sodium 20 mg/ml
24°C
24 tunti
Valo 421
Jokeri
Lasi Natriumkloridi 0,9% 9 mg/ml
Injektioneste   Clindamycin phosphate   
Injektioneste   Netilmicin sulfate 3 mg/ml
24°C
24 tunti
Valo 421
Jokeri
Lasi Natriumkloridi 0,9% 12 mg/ml
Injektioneste   Clindamycin phosphate   
Injektioneste   Ceftriaxone disodium 20 mg/ml
25°C
8 tunti
Valo 432
Näytön laajuus D
Lasi Natriumkloridi 0,9% 9 mg/ml
Injektioneste   Clindamycin phosphate   
Injektioneste   Cefazolin sodium 10 mg/ml
Injektioneste   Gentamicin sulfate 0,8 mg/ml
25°C
12 tunti
Valo 695
Jokeri
Lasi Natriumkloridi 0,9% 9 mg/ml
Injektioneste   Clindamycin phosphate   
Injektioneste   Ceftizoxime sodium 20 mg/ml
25°C
24 tunti
Valo 418
Näytön laajuus D
Lasi Natriumkloridi 0,9% 9 mg/ml
Injektioneste   Clindamycin phosphate   
Injektioneste   Ceftazidime 20 mg/ml
25°C
48 tunti
Valo 432
Näytön laajuus D
Lasi Natriumkloridi 0,9% 60 mg/ml
Injektioneste   Clindamycin phosphate   
Injektioneste   Aztreonam 200 mg/ml
25°C
48 tunti
Valo 644
Näytön laajuus B
Lasi Natriumkloridi 0,9% 9 mg/ml
Injektioneste   Clindamycin phosphate   
Injektioneste   Aztreonam 20 mg/ml
25°C
48 tunti
Valo 432
Näytön laajuus D
Lasi Natriumkloridi 0,9% 9 mg/ml
Injektioneste   Clindamycin phosphate   
Injektioneste   Piperacillin sodium 40 mg/ml
25°C
48 tunti
Valo 432
Näytön laajuus D
Lasi Natriumkloridi 0,9% 9 mg/ml
Injektioneste   Clindamycin phosphate   
Injektioneste   Cefoxitin sodium 20 mg/ml
25°C
48 tunti
Valo 418
Näytön laajuus D
Lasi Natriumkloridi 0,9% 9 mg/ml
Injektioneste   Clindamycin phosphate   
Injektioneste   Cefamandole nafate 10 mg/ml
25°C
48 tunti
Valo 418
Näytön laajuus D
Lasi Natriumkloridi 0,9% 9 mg/ml
Injektioneste   Clindamycin phosphate   
Injektioneste   Cefazolin sodium 10 mg/ml
25°C
48 tunti
Valo 418
Näytön laajuus D
Lasi Natriumkloridi 0,9% 12 mg/ml
Injektioneste   Clindamycin phosphate   
Injektioneste   Cefoperazone sodium 20 mg/ml
25°C
48 tunti
Valo 644
Näytön laajuus B
Lasi Natriumkloridi 0,9% 12 mg/ml
Injektioneste   Clindamycin phosphate   
Injektioneste   Cefonicid sodium 10 mg/ml
25°C
48 tunti
Valo 644
Näytön laajuus B
Lasi Natriumkloridi 0,9% 9 mg/ml
Injektioneste   Clindamycin phosphate   
Injektioneste   Cefuroxime sodium 15 mg/ml
25°C
48 tunti
Valo 644
Näytön laajuus B
Lasi Glukoosi 5% 12 mg/ml
Injektioneste   Clindamycin phosphate   
Injektioneste   Cefpirome sulfate 50 mg/ml
23°C
8 tunti
Valo 280
Näytön laajuus B+
Lasi Glukoosi 5% 9 mg/ml
Injektioneste   Clindamycin phosphate   
Injektioneste   Cefotaxime sodium 20 mg/ml
24°C
24 tunti
Valo 421
Jokeri
Lasi Glukoosi 5% 9 mg/ml
Injektioneste   Clindamycin phosphate   
Injektioneste   Netilmicin sulfate 3 mg/ml
24°C
24 tunti
Valo 421
Jokeri
Lasi Glukoosi 5% 12 mg/ml
Injektioneste   Clindamycin phosphate   
Injektioneste   Ceftriaxone disodium 20 mg/ml
25°C
1 tunti
Valo 432
Näytön laajuus D
Lasi Glukoosi 5% 9 mg/ml
Injektioneste   Clindamycin phosphate   
Injektioneste   Cefazolin sodium 10 mg/ml
Injektioneste   Gentamicin sulfate 0,8 mg/ml
25°C
1 tunti
Valo 695
Jokeri
Lasi Glukoosi 5% 9 mg/ml
Injektioneste   Clindamycin phosphate   
Injektioneste   Ceftazidime 20 mg/ml
25°C
24 tunti
Valo 432
Näytön laajuus D
Lasi Glukoosi 5% 9 mg/ml
Injektioneste   Clindamycin phosphate   
Injektioneste   Ceftizoxime sodium 20 mg/ml
25°C
48 tunti
Valo 418
Näytön laajuus D
Lasi Glukoosi 5% 9 mg/ml
Injektioneste   Clindamycin phosphate   
Injektioneste   Aztreonam 20 mg/ml
25°C
48 tunti
Valo 432
Näytön laajuus D
Lasi Glukoosi 5% 9 mg/ml
Injektioneste   Clindamycin phosphate   
Injektioneste   Piperacillin sodium 40 mg/ml
25°C
48 tunti
Valo 432
Näytön laajuus D
Lasi Glukoosi 5% 9 mg/ml
Injektioneste   Clindamycin phosphate   
Injektioneste   Cefoxitin sodium 20 mg/ml
25°C
48 tunti
Valo 418
Näytön laajuus D
Lasi Glukoosi 5% 9 mg/ml
Injektioneste   Clindamycin phosphate   
Injektioneste   Cefamandole nafate 10 mg/ml
25°C
48 tunti
Valo 418
Näytön laajuus D
Lasi Glukoosi 5% 9 mg/ml
Injektioneste   Clindamycin phosphate   
Injektioneste   Cefazolin sodium 10 mg/ml
25°C
48 tunti
Valo 418
Näytön laajuus D
Lasi Glukoosi 5% 12 mg/ml
Injektioneste   Clindamycin phosphate   
Injektioneste   Cefoperazone sodium 20 mg/ml
25°C
48 tunti
Valo 644
Näytön laajuus B
Lasi Glukoosi 5% 12 mg/ml
Injektioneste   Clindamycin phosphate   
Injektioneste   Cefonicid sodium 10 mg/ml
25°C
48 tunti
Valo 644
Näytön laajuus B
Lasi Glukoosi 5% 9 mg/ml
Injektioneste   Clindamycin phosphate   
Injektioneste   Cefuroxime sodium 15 mg/ml
25°C
48 tunti
Valo 644
Näytön laajuus B
Lasi Ringerlaktaattiliuos 12 mg/ml
Injektioneste   Clindamycin phosphate   
Injektioneste   Cefpirome sulfate 50 mg/ml
23°C
8 tunti
Valo 280
Näytön laajuus B+
Lasi Natriumkloridi 0,45% 12 mg/ml
Injektioneste   Clindamycin phosphate   
Injektioneste   Cefpirome sulfate 50 mg/ml
23°C
8 tunti
Valo 280
Näytön laajuus B+
Lasi Ei mikään 6 mg/ml
Injektioneste   Clindamycin phosphate   
Injektioneste   Ofloxacin 2 mg/ml
25°C
48 tunti
Ei määritetty 889
Näytön laajuus D
Polyvinyylikloridi Natriumkloridi 0,9% 9 mg/ml
Injektioneste   Clindamycin phosphate   
Injektioneste   Tobramycin sulfate 1,2 mg/ml
-20°C
28 Päivä
Suojattava valolta 565
Näytön laajuus D
Polyvinyylikloridi Natriumkloridi 0,9% 9 mg/ml
Injektioneste   Clindamycin phosphate   
Injektioneste   Gentamicin sulfate 1,2 mg/ml
-20°C
28 Päivä
Suojattava valolta 565
Näytön laajuus D
Polyvinyylikloridi Natriumkloridi 0,9% 3 & 6 mg/ml
Injektioneste   Clindamycin phosphate   
Injektioneste   Aztreonam 10 & 20 mg/ml
22°C-23°C
48 tunti
Ei määritetty 419
Näytön laajuus B+
Polyvinyylikloridi Natriumkloridi 0,9% 9 mg/ml
Injektioneste   Clindamycin phosphate   
Injektioneste   Cefotaxime sodium 20 mg/ml
24°C
24 tunti
Valo 421
Jokeri
Polyvinyylikloridi Natriumkloridi 0,9% 9 mg/ml
Injektioneste   Clindamycin phosphate   
Injektioneste   Netilmicin sulfate 3 mg/ml
24°C
24 tunti
Valo 421
Jokeri
Polyvinyylikloridi Natriumkloridi 0,9% 9 mg/ml
Injektioneste   Clindamycin phosphate   
Injektioneste   Amikacin sulfate 4 mg/ml
25°C
48 tunti
Ei määritetty 565
Näytön laajuus D
Polyvinyylikloridi Natriumkloridi 0,9% 3 & 6 mg/ml
Injektioneste   Clindamycin phosphate   
Injektioneste   Aztreonam 10 & 20 mg/ml
4°C
7 Päivä
Suojattava valolta 419
Näytön laajuus B+
Polyvinyylikloridi Glukoosi 5% 9 mg/ml
Injektioneste   Clindamycin phosphate   
Injektioneste   Tobramycin sulfate 1,2 mg/ml
-20°C
14 Päivä
Suojattava valolta 565
Näytön laajuus D
Polyvinyylikloridi Glukoosi 5% 9 mg/ml
Injektioneste   Clindamycin phosphate   
Injektioneste   Gentamicin sulfate 1,2 mg/ml
-20°C
28 Päivä
Suojattava valolta 565
Näytön laajuus D
Polyvinyylikloridi Glukoosi 5% 3 & 6 mg/ml
Injektioneste   Clindamycin phosphate   
Injektioneste   Aztreonam 10 & 20 mg/ml
22°C-23°C
48 tunti
Ei määritetty 419
Näytön laajuus B+
Polyvinyylikloridi Glukoosi 5% 9 mg/ml
Injektioneste   Clindamycin phosphate   
Injektioneste   Cefotaxime sodium 20 mg/ml
24°C
24 tunti
Valo 421
Jokeri
Polyvinyylikloridi Glukoosi 5% 9 mg/ml
Injektioneste   Clindamycin phosphate   
Injektioneste   Netilmicin sulfate 3 mg/ml
24°C
24 tunti
Valo 421
Jokeri
Polyvinyylikloridi Glukoosi 5% 6 mg/ml
Injektioneste   Clindamycin phosphate   
Injektioneste   Gentamicin sulfate 5 mg/ml
25°C
24 tunti
Valo 423
Näytön laajuus D
Polyvinyylikloridi Glukoosi 5% 9 mg/ml
Injektioneste   Clindamycin phosphate   
Injektioneste   Amikacin sulfate 4 mg/ml
25°C
48 tunti
Ei määritetty 565
Näytön laajuus D
Polyvinyylikloridi Glukoosi 5% 3 & 6 mg/ml
Injektioneste   Clindamycin phosphate   
Injektioneste   Aztreonam 10 & 20 mg/ml
4°C
7 Päivä
Suojattava valolta 419
Näytön laajuus B+
Ruisku  polypropeeni Natriumkloridi 0,9% 90 mg/ml
Injektioneste   Clindamycin phosphate   
Injektioneste   Gentamicin sulfate 30 mg/ml
22°C-23°C
48 tunti
Valo 639
Näytön laajuus D
Ruisku  polypropeeni Natriumkloridi 0,9% 90 mg/ml
Injektioneste   Clindamycin phosphate   
Injektioneste   Amikacin sulfate 190 mg/ml
22°C-23°C
48 tunti
Valo 639
Näytön laajuus D

  Mentions Légales