Siste oppdatering :
17/12/2025
Antibiotika   Clindamycin phosphate  
Injeksjon
Oppløsningsstabilitet Stabilitet i blandinger Faktorer som påvirker stabiliteten Kompatibilitet Administrasjonsmåte Referanser pdf
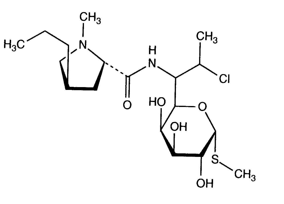
   Kjemisk struktur  

Handelsnavn   Handelsnavn     

Handelsnavn er veiledende og sammensetning av hjelpestoffer kan være forskjellig avhengig av land og produsent

Biodaclin Mexico
Camyda India
Cinbiot Mexico
Cleocin Tyrkia, USA, Østerrike
Clinamsa Mexico
Clinbac Colombia, Peru
Clincina Portugal
Clinda-Saar Tyskland
Clindacid Venezuela
Clindacin Malaysia
Clindalaf Argentina
Clindamicina Argentina, Brasil, Chile, Colombia, Ecuador, Italia, Mexico, Peru, Portugal, Spania, Venezuela
Clindamycin Canada, Iran, Norge, Romania, Saudi-Arabia, Sverige, Tyskland, USA, Østerrike
Clindamycin-Hameln Tyskland
Clindamycine Belgia, Frankrike, Nederland, Tunisia
Clindanovag Argentina
Clindarix Brasil
Clindasol Tyskland
Clindaval Venezuela
Clindazyn Mexico
Clindo Polen
Clysvic Mexico
Daclin Chile
Dalacin Australia, Belgia, Canada, Chile, Colombia, Danmark, De forente arabiske emirater, Ecuador, Egypt, Finland, Hellas, India, Iran, Irland, Island, Italia, Luxembourg, Malaysia, Mexico, Nederland, New Zealand, Norge, Polen, Saudi-Arabia, Storbritannia, Sveits, Sverige, Tunisia, Ungarn, Venezuela
Dalacine Frankrike, Tunisia
Daladic Iran
Dalcinex India
Damclid India
Damicin Colombia, Mexico
Damicine Colombia
Dolarclin Colombia
Euroclin Colombia, Ecuador
Gynasafe India
Indamid Mexico
Klimicin Polen
Klindan Tyrkia
Klindaver Tyrkia
Lanacine Østerrike
Lincocin Malaysia
Lincosa Malaysia
Meneklin Tyrkia
Sobelin Tyskland
Tidact Malaysia
Stabilitet i blandinger   Injeksjon   Stabilitet i blandinger : Clindamycin phosphate     
Beholder Oppløsningsmiddel Konsentrasjon Legemiddel Temperatur Oppbevaring Varighet av stabilitet Referanser
Glass Natriumklorid 0,9 % 12 mg/ml
Injeksjon   Clindamycin phosphate   
Injeksjon   Cefpirome sulfate 50 mg/ml
23°C
8 Tid
Lys 280
Bevisgrad B+
Glass Natriumklorid 0,9 % 9 mg/ml
Injeksjon   Clindamycin phosphate   
Injeksjon   Cefotaxime sodium 20 mg/ml
24°C
24 Tid
Lys 421
Joker
Glass Natriumklorid 0,9 % 9 mg/ml
Injeksjon   Clindamycin phosphate   
Injeksjon   Netilmicin sulfate 3 mg/ml
24°C
24 Tid
Lys 421
Joker
Glass Natriumklorid 0,9 % 12 mg/ml
Injeksjon   Clindamycin phosphate   
Injeksjon   Ceftriaxone disodium 20 mg/ml
25°C
8 Tid
Lys 432
Bevisgrad D
Glass Natriumklorid 0,9 % 9 mg/ml
Injeksjon   Clindamycin phosphate   
Injeksjon   Cefazolin sodium 10 mg/ml
Injeksjon   Gentamicin sulfate 0,8 mg/ml
25°C
12 Tid
Lys 695
Joker
Glass Natriumklorid 0,9 % 9 mg/ml
Injeksjon   Clindamycin phosphate   
Injeksjon   Ceftizoxime sodium 20 mg/ml
25°C
24 Tid
Lys 418
Bevisgrad D
Glass Natriumklorid 0,9 % 9 mg/ml
Injeksjon   Clindamycin phosphate   
Injeksjon   Ceftazidime 20 mg/ml
25°C
48 Tid
Lys 432
Bevisgrad D
Glass Natriumklorid 0,9 % 60 mg/ml
Injeksjon   Clindamycin phosphate   
Injeksjon   Aztreonam 200 mg/ml
25°C
48 Tid
Lys 644
Bevisgrad B
Glass Natriumklorid 0,9 % 9 mg/ml
Injeksjon   Clindamycin phosphate   
Injeksjon   Aztreonam 20 mg/ml
25°C
48 Tid
Lys 432
Bevisgrad D
Glass Natriumklorid 0,9 % 9 mg/ml
Injeksjon   Clindamycin phosphate   
Injeksjon   Piperacillin sodium 40 mg/ml
25°C
48 Tid
Lys 432
Bevisgrad D
Glass Natriumklorid 0,9 % 9 mg/ml
Injeksjon   Clindamycin phosphate   
Injeksjon   Cefoxitin sodium 20 mg/ml
25°C
48 Tid
Lys 418
Bevisgrad D
Glass Natriumklorid 0,9 % 9 mg/ml
Injeksjon   Clindamycin phosphate   
Injeksjon   Cefamandole nafate 10 mg/ml
25°C
48 Tid
Lys 418
Bevisgrad D
Glass Natriumklorid 0,9 % 9 mg/ml
Injeksjon   Clindamycin phosphate   
Injeksjon   Cefazolin sodium 10 mg/ml
25°C
48 Tid
Lys 418
Bevisgrad D
Glass Natriumklorid 0,9 % 12 mg/ml
Injeksjon   Clindamycin phosphate   
Injeksjon   Cefoperazone sodium 20 mg/ml
25°C
48 Tid
Lys 644
Bevisgrad B
Glass Natriumklorid 0,9 % 12 mg/ml
Injeksjon   Clindamycin phosphate   
Injeksjon   Cefonicid sodium 10 mg/ml
25°C
48 Tid
Lys 644
Bevisgrad B
Glass Natriumklorid 0,9 % 9 mg/ml
Injeksjon   Clindamycin phosphate   
Injeksjon   Cefuroxime sodium 15 mg/ml
25°C
48 Tid
Lys 644
Bevisgrad B
Glass Glukose 5 % 12 mg/ml
Injeksjon   Clindamycin phosphate   
Injeksjon   Cefpirome sulfate 50 mg/ml
23°C
8 Tid
Lys 280
Bevisgrad B+
Glass Glukose 5 % 9 mg/ml
Injeksjon   Clindamycin phosphate   
Injeksjon   Cefotaxime sodium 20 mg/ml
24°C
24 Tid
Lys 421
Joker
Glass Glukose 5 % 9 mg/ml
Injeksjon   Clindamycin phosphate   
Injeksjon   Netilmicin sulfate 3 mg/ml
24°C
24 Tid
Lys 421
Joker
Glass Glukose 5 % 12 mg/ml
Injeksjon   Clindamycin phosphate   
Injeksjon   Ceftriaxone disodium 20 mg/ml
25°C
1 Tid
Lys 432
Bevisgrad D
Glass Glukose 5 % 9 mg/ml
Injeksjon   Clindamycin phosphate   
Injeksjon   Cefazolin sodium 10 mg/ml
Injeksjon   Gentamicin sulfate 0,8 mg/ml
25°C
1 Tid
Lys 695
Joker
Glass Glukose 5 % 9 mg/ml
Injeksjon   Clindamycin phosphate   
Injeksjon   Ceftazidime 20 mg/ml
25°C
24 Tid
Lys 432
Bevisgrad D
Glass Glukose 5 % 9 mg/ml
Injeksjon   Clindamycin phosphate   
Injeksjon   Ceftizoxime sodium 20 mg/ml
25°C
48 Tid
Lys 418
Bevisgrad D
Glass Glukose 5 % 9 mg/ml
Injeksjon   Clindamycin phosphate   
Injeksjon   Aztreonam 20 mg/ml
25°C
48 Tid
Lys 432
Bevisgrad D
Glass Glukose 5 % 9 mg/ml
Injeksjon   Clindamycin phosphate   
Injeksjon   Piperacillin sodium 40 mg/ml
25°C
48 Tid
Lys 432
Bevisgrad D
Glass Glukose 5 % 9 mg/ml
Injeksjon   Clindamycin phosphate   
Injeksjon   Cefoxitin sodium 20 mg/ml
25°C
48 Tid
Lys 418
Bevisgrad D
Glass Glukose 5 % 9 mg/ml
Injeksjon   Clindamycin phosphate   
Injeksjon   Cefamandole nafate 10 mg/ml
25°C
48 Tid
Lys 418
Bevisgrad D
Glass Glukose 5 % 9 mg/ml
Injeksjon   Clindamycin phosphate   
Injeksjon   Cefazolin sodium 10 mg/ml
25°C
48 Tid
Lys 418
Bevisgrad D
Glass Glukose 5 % 12 mg/ml
Injeksjon   Clindamycin phosphate   
Injeksjon   Cefoperazone sodium 20 mg/ml
25°C
48 Tid
Lys 644
Bevisgrad B
Glass Glukose 5 % 12 mg/ml
Injeksjon   Clindamycin phosphate   
Injeksjon   Cefonicid sodium 10 mg/ml
25°C
48 Tid
Lys 644
Bevisgrad B
Glass Glukose 5 % 9 mg/ml
Injeksjon   Clindamycin phosphate   
Injeksjon   Cefuroxime sodium 15 mg/ml
25°C
48 Tid
Lys 644
Bevisgrad B
Glass Ringers laktatoppløsning 12 mg/ml
Injeksjon   Clindamycin phosphate   
Injeksjon   Cefpirome sulfate 50 mg/ml
23°C
8 Tid
Lys 280
Bevisgrad B+
Glass Natriumklorid 0,45 % 12 mg/ml
Injeksjon   Clindamycin phosphate   
Injeksjon   Cefpirome sulfate 50 mg/ml
23°C
8 Tid
Lys 280
Bevisgrad B+
Glass Ingen 6 mg/ml
Injeksjon   Clindamycin phosphate   
Injeksjon   Ofloxacin 2 mg/ml
25°C
48 Tid
Ikke angitt 889
Bevisgrad D
Polyvinylklorid Natriumklorid 0,9 % 9 mg/ml
Injeksjon   Clindamycin phosphate   
Injeksjon   Tobramycin sulfate 1,2 mg/ml
-20°C
28 Dag
Beskyttes mot lys 565
Bevisgrad D
Polyvinylklorid Natriumklorid 0,9 % 9 mg/ml
Injeksjon   Clindamycin phosphate   
Injeksjon   Gentamicin sulfate 1,2 mg/ml
-20°C
28 Dag
Beskyttes mot lys 565
Bevisgrad D
Polyvinylklorid Natriumklorid 0,9 % 3 & 6 mg/ml
Injeksjon   Clindamycin phosphate   
Injeksjon   Aztreonam 10 & 20 mg/ml
22°C-23°C
48 Tid
Ikke angitt 419
Bevisgrad B+
Polyvinylklorid Natriumklorid 0,9 % 9 mg/ml
Injeksjon   Clindamycin phosphate   
Injeksjon   Cefotaxime sodium 20 mg/ml
24°C
24 Tid
Lys 421
Joker
Polyvinylklorid Natriumklorid 0,9 % 9 mg/ml
Injeksjon   Clindamycin phosphate   
Injeksjon   Netilmicin sulfate 3 mg/ml
24°C
24 Tid
Lys 421
Joker
Polyvinylklorid Natriumklorid 0,9 % 9 mg/ml
Injeksjon   Clindamycin phosphate   
Injeksjon   Amikacin sulfate 4 mg/ml
25°C
48 Tid
Ikke angitt 565
Bevisgrad D
Polyvinylklorid Natriumklorid 0,9 % 3 & 6 mg/ml
Injeksjon   Clindamycin phosphate   
Injeksjon   Aztreonam 10 & 20 mg/ml
4°C
7 Dag
Beskyttes mot lys 419
Bevisgrad B+
Polyvinylklorid Glukose 5 % 9 mg/ml
Injeksjon   Clindamycin phosphate   
Injeksjon   Tobramycin sulfate 1,2 mg/ml
-20°C
14 Dag
Beskyttes mot lys 565
Bevisgrad D
Polyvinylklorid Glukose 5 % 9 mg/ml
Injeksjon   Clindamycin phosphate   
Injeksjon   Gentamicin sulfate 1,2 mg/ml
-20°C
28 Dag
Beskyttes mot lys 565
Bevisgrad D
Polyvinylklorid Glukose 5 % 3 & 6 mg/ml
Injeksjon   Clindamycin phosphate   
Injeksjon   Aztreonam 10 & 20 mg/ml
22°C-23°C
48 Tid
Ikke angitt 419
Bevisgrad B+
Polyvinylklorid Glukose 5 % 9 mg/ml
Injeksjon   Clindamycin phosphate   
Injeksjon   Cefotaxime sodium 20 mg/ml
24°C
24 Tid
Lys 421
Joker
Polyvinylklorid Glukose 5 % 9 mg/ml
Injeksjon   Clindamycin phosphate   
Injeksjon   Netilmicin sulfate 3 mg/ml
24°C
24 Tid
Lys 421
Joker
Polyvinylklorid Glukose 5 % 6 mg/ml
Injeksjon   Clindamycin phosphate   
Injeksjon   Gentamicin sulfate 5 mg/ml
25°C
24 Tid
Lys 423
Bevisgrad D
Polyvinylklorid Glukose 5 % 9 mg/ml
Injeksjon   Clindamycin phosphate   
Injeksjon   Amikacin sulfate 4 mg/ml
25°C
48 Tid
Ikke angitt 565
Bevisgrad D
Polyvinylklorid Glukose 5 % 3 & 6 mg/ml
Injeksjon   Clindamycin phosphate   
Injeksjon   Aztreonam 10 & 20 mg/ml
4°C
7 Dag
Beskyttes mot lys 419
Bevisgrad B+
Sprøyte polypropylen Natriumklorid 0,9 % 90 mg/ml
Injeksjon   Clindamycin phosphate   
Injeksjon   Gentamicin sulfate 30 mg/ml
22°C-23°C
48 Tid
Lys 639
Bevisgrad D
Sprøyte polypropylen Natriumklorid 0,9 % 90 mg/ml
Injeksjon   Clindamycin phosphate   
Injeksjon   Amikacin sulfate 190 mg/ml
22°C-23°C
48 Tid
Lys 639
Bevisgrad D

  Mentions Légales