Poslední aktualizace :
17/12/2025
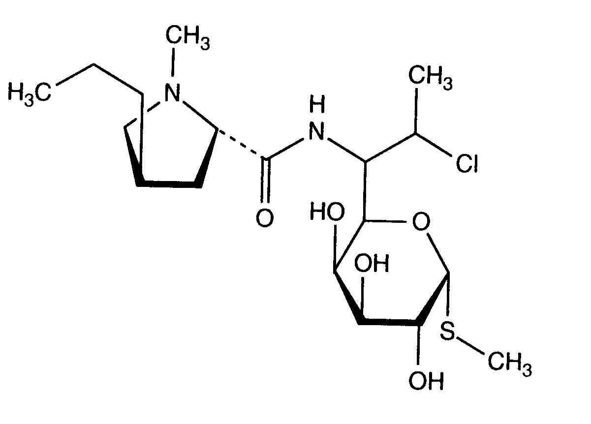
Antibiotikum   Clindamycin phosphate  
injekce
Stabilita roztoků Stabilita směsí Faktory ovlivňující stabilitu Kompatibilita Způsoby aplikace Odkazy pdf
   Chemický vzorec  

Obchodní název   Obchodní název     

Trade names are indicative and excipients composition can be different depending on the country and manufacturers

Biodaclin Mexiko
Camyda Indie
Cinbiot Mexiko
Cleocin Rakousko, Turecko, USA
Clinamsa Mexiko
Clinbac Kolumbie, Peru
Clincina Portugalsko
Clinda-Saar NÏmecko
Clindacid Venezuela
Clindacin Malajsie
Clindalaf Argentina
Clindamicina äpanÏlsko, Argentina, BrazÌlie, Chile, Ekvádor, Itálie, Kolumbie, Mexiko, Peru, Portugalsko, Venezuela
Clindamycin Írán, Kanada, NÏmecko, Norsko, Rakousko, Rumunsko, Saúdská Arábie, Švédsko, USA
Clindamycin-Hameln NÏmecko
Clindamycine Belgie, Francie, Nizozemsko, Tunisko
Clindanovag Argentina
Clindarix BrazÌlie
Clindasol NÏmecko
Clindaval Venezuela
Clindazyn Mexiko
Clindo Polsko
Clysvic Mexiko
Daclin Chile
Dalacin Austrálie, Belgie, Chile, Dánsko, Egypt, Ekvádor, Finsko, Indie, Írán, Irsko, Island, Itálie, Kanada, Kolumbie, Lucembursko, Malajsie, MaÔarsko, Mexiko, Nizozemsko, Norsko, nový Zéland, Polsko, Saúdská Arábie, Spojené arabské emiráty, Švédsko, Švýcarsko, Tunisko, Velká Británie, Venezuela, ÿecko
Dalacine Francie, Tunisko
Daladic Írán
Dalcinex Indie
Damclid Indie
Damicin Kolumbie, Mexiko
Damicine Kolumbie
Dolarclin Kolumbie
Euroclin Ekvádor, Kolumbie
Gynasafe Indie
Indamid Mexiko
Klimicin Polsko
Klindan Turecko
Klindaver Turecko
Lanacine Rakousko
Lincocin Malajsie
Lincosa Malajsie
Meneklin Turecko
Sobelin NÏmecko
Tidact Malajsie
Stabilita směsí   injekce   Stabilita směsí : Clindamycin phosphate     
Obal RozpouötÏdlo Koncentrace SlouËenina Teplota Uchovávání Trvání stability Odkazy
Sklo Chlorid sodný 0,9% 12 mg/ml
injekce   Clindamycin phosphate   
injekce   Cefpirome sulfate 50 mg/ml
23°C
8 Hodina
SvÏtlo 280
Úroveň zkoušky B+
Sklo Chlorid sodný 0,9% 9 mg/ml
injekce   Clindamycin phosphate   
injekce   Cefotaxime sodium 20 mg/ml
24°C
24 Hodina
SvÏtlo 421
JOKER
Sklo Chlorid sodný 0,9% 9 mg/ml
injekce   Clindamycin phosphate   
injekce   Netilmicin sulfate 3 mg/ml
24°C
24 Hodina
SvÏtlo 421
JOKER
Sklo Chlorid sodný 0,9% 12 mg/ml
injekce   Clindamycin phosphate   
injekce   Ceftriaxone disodium 20 mg/ml
25°C
8 Hodina
SvÏtlo 432
Úroveň zkoušky D
Sklo Chlorid sodný 0,9% 9 mg/ml
injekce   Clindamycin phosphate   
injekce   Cefazolin sodium 10 mg/ml
injekce   Gentamicin sulfate 0,8 mg/ml
25°C
12 Hodina
SvÏtlo 695
JOKER
Sklo Chlorid sodný 0,9% 9 mg/ml
injekce   Clindamycin phosphate   
injekce   Ceftizoxime sodium 20 mg/ml
25°C
24 Hodina
SvÏtlo 418
Úroveň zkoušky D
Sklo Chlorid sodný 0,9% 9 mg/ml
injekce   Clindamycin phosphate   
injekce   Ceftazidime 20 mg/ml
25°C
48 Hodina
SvÏtlo 432
Úroveň zkoušky D
Sklo Chlorid sodný 0,9% 60 mg/ml
injekce   Clindamycin phosphate   
injekce   Aztreonam 200 mg/ml
25°C
48 Hodina
SvÏtlo 644
Úroveň zkoušky B
Sklo Chlorid sodný 0,9% 9 mg/ml
injekce   Clindamycin phosphate   
injekce   Aztreonam 20 mg/ml
25°C
48 Hodina
SvÏtlo 432
Úroveň zkoušky D
Sklo Chlorid sodný 0,9% 9 mg/ml
injekce   Clindamycin phosphate   
injekce   Piperacillin sodium 40 mg/ml
25°C
48 Hodina
SvÏtlo 432
Úroveň zkoušky D
Sklo Chlorid sodný 0,9% 9 mg/ml
injekce   Clindamycin phosphate   
injekce   Cefoxitin sodium 20 mg/ml
25°C
48 Hodina
SvÏtlo 418
Úroveň zkoušky D
Sklo Chlorid sodný 0,9% 9 mg/ml
injekce   Clindamycin phosphate   
injekce   Cefamandole nafate 10 mg/ml
25°C
48 Hodina
SvÏtlo 418
Úroveň zkoušky D
Sklo Chlorid sodný 0,9% 9 mg/ml
injekce   Clindamycin phosphate   
injekce   Cefazolin sodium 10 mg/ml
25°C
48 Hodina
SvÏtlo 418
Úroveň zkoušky D
Sklo Chlorid sodný 0,9% 12 mg/ml
injekce   Clindamycin phosphate   
injekce   Cefoperazone sodium 20 mg/ml
25°C
48 Hodina
SvÏtlo 644
Úroveň zkoušky B
Sklo Chlorid sodný 0,9% 12 mg/ml
injekce   Clindamycin phosphate   
injekce   Cefonicid sodium 10 mg/ml
25°C
48 Hodina
SvÏtlo 644
Úroveň zkoušky B
Sklo Chlorid sodný 0,9% 9 mg/ml
injekce   Clindamycin phosphate   
injekce   Cefuroxime sodium 15 mg/ml
25°C
48 Hodina
SvÏtlo 644
Úroveň zkoušky B
Sklo GlukÛza 5% 12 mg/ml
injekce   Clindamycin phosphate   
injekce   Cefpirome sulfate 50 mg/ml
23°C
8 Hodina
SvÏtlo 280
Úroveň zkoušky B+
Sklo GlukÛza 5% 9 mg/ml
injekce   Clindamycin phosphate   
injekce   Cefotaxime sodium 20 mg/ml
24°C
24 Hodina
SvÏtlo 421
JOKER
Sklo GlukÛza 5% 9 mg/ml
injekce   Clindamycin phosphate   
injekce   Netilmicin sulfate 3 mg/ml
24°C
24 Hodina
SvÏtlo 421
JOKER
Sklo GlukÛza 5% 12 mg/ml
injekce   Clindamycin phosphate   
injekce   Ceftriaxone disodium 20 mg/ml
25°C
1 Hodina
SvÏtlo 432
Úroveň zkoušky D
Sklo GlukÛza 5% 9 mg/ml
injekce   Clindamycin phosphate   
injekce   Cefazolin sodium 10 mg/ml
injekce   Gentamicin sulfate 0,8 mg/ml
25°C
1 Hodina
SvÏtlo 695
JOKER
Sklo GlukÛza 5% 9 mg/ml
injekce   Clindamycin phosphate   
injekce   Ceftazidime 20 mg/ml
25°C
24 Hodina
SvÏtlo 432
Úroveň zkoušky D
Sklo GlukÛza 5% 9 mg/ml
injekce   Clindamycin phosphate   
injekce   Ceftizoxime sodium 20 mg/ml
25°C
48 Hodina
SvÏtlo 418
Úroveň zkoušky D
Sklo GlukÛza 5% 9 mg/ml
injekce   Clindamycin phosphate   
injekce   Aztreonam 20 mg/ml
25°C
48 Hodina
SvÏtlo 432
Úroveň zkoušky D
Sklo GlukÛza 5% 9 mg/ml
injekce   Clindamycin phosphate   
injekce   Piperacillin sodium 40 mg/ml
25°C
48 Hodina
SvÏtlo 432
Úroveň zkoušky D
Sklo GlukÛza 5% 9 mg/ml
injekce   Clindamycin phosphate   
injekce   Cefoxitin sodium 20 mg/ml
25°C
48 Hodina
SvÏtlo 418
Úroveň zkoušky D
Sklo GlukÛza 5% 9 mg/ml
injekce   Clindamycin phosphate   
injekce   Cefamandole nafate 10 mg/ml
25°C
48 Hodina
SvÏtlo 418
Úroveň zkoušky D
Sklo GlukÛza 5% 9 mg/ml
injekce   Clindamycin phosphate   
injekce   Cefazolin sodium 10 mg/ml
25°C
48 Hodina
SvÏtlo 418
Úroveň zkoušky D
Sklo GlukÛza 5% 12 mg/ml
injekce   Clindamycin phosphate   
injekce   Cefoperazone sodium 20 mg/ml
25°C
48 Hodina
SvÏtlo 644
Úroveň zkoušky B
Sklo GlukÛza 5% 12 mg/ml
injekce   Clindamycin phosphate   
injekce   Cefonicid sodium 10 mg/ml
25°C
48 Hodina
SvÏtlo 644
Úroveň zkoušky B
Sklo GlukÛza 5% 9 mg/ml
injekce   Clindamycin phosphate   
injekce   Cefuroxime sodium 15 mg/ml
25°C
48 Hodina
SvÏtlo 644
Úroveň zkoušky B
Sklo RingerŐs laktátový roztok 12 mg/ml
injekce   Clindamycin phosphate   
injekce   Cefpirome sulfate 50 mg/ml
23°C
8 Hodina
SvÏtlo 280
Úroveň zkoušky B+
Sklo Chlorid sodný 0,45% 12 mg/ml
injekce   Clindamycin phosphate   
injekce   Cefpirome sulfate 50 mg/ml
23°C
8 Hodina
SvÏtlo 280
Úroveň zkoušky B+
Sklo Žádné 6 mg/ml
injekce   Clindamycin phosphate   
injekce   Ofloxacin 2 mg/ml
25°C
48 Hodina
Nespecifikováno 889
Úroveň zkoušky D
Polyvinyl chlorid Chlorid sodný 0,9% 9 mg/ml
injekce   Clindamycin phosphate   
injekce   Tobramycin sulfate 1,2 mg/ml
-20°C
28 Den
Chráněno před světlem 565
Úroveň zkoušky D
Polyvinyl chlorid Chlorid sodný 0,9% 9 mg/ml
injekce   Clindamycin phosphate   
injekce   Gentamicin sulfate 1,2 mg/ml
-20°C
28 Den
Chráněno před světlem 565
Úroveň zkoušky D
Polyvinyl chlorid Chlorid sodný 0,9% 3 & 6 mg/ml
injekce   Clindamycin phosphate   
injekce   Aztreonam 10 & 20 mg/ml
22°C-23°C
48 Hodina
Nespecifikováno 419
Úroveň zkoušky B+
Polyvinyl chlorid Chlorid sodný 0,9% 9 mg/ml
injekce   Clindamycin phosphate   
injekce   Cefotaxime sodium 20 mg/ml
24°C
24 Hodina
SvÏtlo 421
JOKER
Polyvinyl chlorid Chlorid sodný 0,9% 9 mg/ml
injekce   Clindamycin phosphate   
injekce   Netilmicin sulfate 3 mg/ml
24°C
24 Hodina
SvÏtlo 421
JOKER
Polyvinyl chlorid Chlorid sodný 0,9% 9 mg/ml
injekce   Clindamycin phosphate   
injekce   Amikacin sulfate 4 mg/ml
25°C
48 Hodina
Nespecifikováno 565
Úroveň zkoušky D
Polyvinyl chlorid Chlorid sodný 0,9% 3 & 6 mg/ml
injekce   Clindamycin phosphate   
injekce   Aztreonam 10 & 20 mg/ml
4°C
7 Den
Chráněno před světlem 419
Úroveň zkoušky B+
Polyvinyl chlorid GlukÛza 5% 9 mg/ml
injekce   Clindamycin phosphate   
injekce   Tobramycin sulfate 1,2 mg/ml
-20°C
14 Den
Chráněno před světlem 565
Úroveň zkoušky D
Polyvinyl chlorid GlukÛza 5% 9 mg/ml
injekce   Clindamycin phosphate   
injekce   Gentamicin sulfate 1,2 mg/ml
-20°C
28 Den
Chráněno před světlem 565
Úroveň zkoušky D
Polyvinyl chlorid GlukÛza 5% 3 & 6 mg/ml
injekce   Clindamycin phosphate   
injekce   Aztreonam 10 & 20 mg/ml
22°C-23°C
48 Hodina
Nespecifikováno 419
Úroveň zkoušky B+
Polyvinyl chlorid GlukÛza 5% 9 mg/ml
injekce   Clindamycin phosphate   
injekce   Cefotaxime sodium 20 mg/ml
24°C
24 Hodina
SvÏtlo 421
JOKER
Polyvinyl chlorid GlukÛza 5% 9 mg/ml
injekce   Clindamycin phosphate   
injekce   Netilmicin sulfate 3 mg/ml
24°C
24 Hodina
SvÏtlo 421
JOKER
Polyvinyl chlorid GlukÛza 5% 6 mg/ml
injekce   Clindamycin phosphate   
injekce   Gentamicin sulfate 5 mg/ml
25°C
24 Hodina
SvÏtlo 423
Úroveň zkoušky D
Polyvinyl chlorid GlukÛza 5% 9 mg/ml
injekce   Clindamycin phosphate   
injekce   Amikacin sulfate 4 mg/ml
25°C
48 Hodina
Nespecifikováno 565
Úroveň zkoušky D
Polyvinyl chlorid GlukÛza 5% 3 & 6 mg/ml
injekce   Clindamycin phosphate   
injekce   Aztreonam 10 & 20 mg/ml
4°C
7 Den
Chráněno před světlem 419
Úroveň zkoušky B+
stříkačka polypropylen Chlorid sodný 0,9% 90 mg/ml
injekce   Clindamycin phosphate   
injekce   Gentamicin sulfate 30 mg/ml
22°C-23°C
48 Hodina
SvÏtlo 639
Úroveň zkoušky D
stříkačka polypropylen Chlorid sodný 0,9% 90 mg/ml
injekce   Clindamycin phosphate   
injekce   Amikacin sulfate 190 mg/ml
22°C-23°C
48 Hodina
SvÏtlo 639
Úroveň zkoušky D

  Mentions Légales