viimane versioon :
17/12/2025
antibiootikum   Clindamycin phosphate  
Süsteravim
Stabiilsus lahustes Stabiilsust mõjutavad tegurid stabiilsust mõjutavad faktorid Sobimatus Manustamis viis Viited pdf
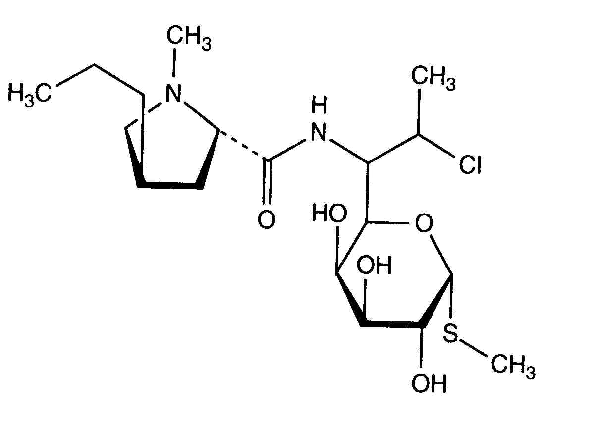
   keemiline struktuur  

Kaubanduslikud nimed erinevates maades   Kaubanduslikud nimed erinevates maades     

Preparaatide nimed on näitlikud ja abianete sisaldus võib erineda sõltuvalt riigist ja laborist

Biodaclin Mehhiko
Camyda India
Cinbiot Mehhiko
Cleocin Ameerika ühendriigid, Austria, Türgi
Clinamsa Mehhiko
Clinbac Kolumbia, Maroko
Clincina Portugal
Clinda-Saar Saksamaa
Clindacid Venetsueela
Clindacin Malaisia
Clindalaf Argentiina
Clindamicina Argentiina, Brasiilia, Ecuador, Hispaania, Itaalia, Kolumbia, Maroko, Mehhiko, Portugal, Tšiili, Venetsueela
Clindamycin Ameerika ühendriigid, Austria, Iraan, Kanada, Norra, Rootsi, Rumeenia, Saksamaa, Saudi Araabia
Clindamycin-Hameln Saksamaa
Clindamycine Belgia, Holland, Prantsusmaa, Tuneesia
Clindanovag Argentiina
Clindarix Brasiilia
Clindasol Saksamaa
Clindaval Venetsueela
Clindazyn Mehhiko
Clindo Poola
Clysvic Mehhiko
Daclin Tšiili
Dalacin Araabia Ühendemiraadid, Austraalia, Belgia, Ecuador, Egiptus, Holland, Iirimaa, India, Iraan, Island, Itaalia, Kanada, Kolumbia, Kreeka, Luksemburg, Malaisia, Mehhiko, Norra, Poola, Rootsi, Saudi Araabia, Soome, Suurbritannia, Sveits, Taani, Tšiili, Tuneesia, Ungari, uus-Meremaa, Venetsueela
Dalacine Prantsusmaa, Tuneesia
Daladic Iraan
Dalcinex India
Damclid India
Damicin Kolumbia, Mehhiko
Damicine Kolumbia
Dolarclin Kolumbia
Euroclin Ecuador, Kolumbia
Gynasafe India
Indamid Mehhiko
Klimicin Poola
Klindan Türgi
Klindaver Türgi
Lanacine Austria
Lincocin Malaisia
Lincosa Malaisia
Meneklin Türgi
Sobelin Saksamaa
Tidact Malaisia
Stabiilsust mõjutavad tegurid   Süsteravim   Stabiilsust mõjutavad tegurid : Clindamycin phosphate     
konteiner lahusti kontsentratsioon ingredient temperatuur ladustamine Stabiilsuse kestus Viited
klaas naatriumkloriid 0.9% 12 mg/ml
Süsteravim   Clindamycin phosphate   
Süsteravim   Cefpirome sulfate 50 mg/ml
23°C
8 Tund
valgus 280
Tõenduspõhisuse tase B+
klaas naatriumkloriid 0.9% 9 mg/ml
Süsteravim   Clindamycin phosphate   
Süsteravim   Cefotaxime sodium 20 mg/ml
24°C
24 Tund
valgus 421
Jokker
klaas naatriumkloriid 0.9% 9 mg/ml
Süsteravim   Clindamycin phosphate   
Süsteravim   Netilmicin sulfate 3 mg/ml
24°C
24 Tund
valgus 421
Jokker
klaas naatriumkloriid 0.9% 12 mg/ml
Süsteravim   Clindamycin phosphate   
Süsteravim   Ceftriaxone disodium 20 mg/ml
25°C
8 Tund
valgus 432
Tõenduspõhisuse tase D
klaas naatriumkloriid 0.9% 9 mg/ml
Süsteravim   Clindamycin phosphate   
Süsteravim   Cefazolin sodium 10 mg/ml
Süsteravim   Gentamicin sulfate 0,8 mg/ml
25°C
12 Tund
valgus 695
Jokker
klaas naatriumkloriid 0.9% 9 mg/ml
Süsteravim   Clindamycin phosphate   
Süsteravim   Ceftizoxime sodium 20 mg/ml
25°C
24 Tund
valgus 418
Tõenduspõhisuse tase D
klaas naatriumkloriid 0.9% 9 mg/ml
Süsteravim   Clindamycin phosphate   
Süsteravim   Ceftazidime 20 mg/ml
25°C
48 Tund
valgus 432
Tõenduspõhisuse tase D
klaas naatriumkloriid 0.9% 60 mg/ml
Süsteravim   Clindamycin phosphate   
Süsteravim   Aztreonam 200 mg/ml
25°C
48 Tund
valgus 644
Tõenduspõhisuse tase B
klaas naatriumkloriid 0.9% 9 mg/ml
Süsteravim   Clindamycin phosphate   
Süsteravim   Aztreonam 20 mg/ml
25°C
48 Tund
valgus 432
Tõenduspõhisuse tase D
klaas naatriumkloriid 0.9% 9 mg/ml
Süsteravim   Clindamycin phosphate   
Süsteravim   Piperacillin sodium 40 mg/ml
25°C
48 Tund
valgus 432
Tõenduspõhisuse tase D
klaas naatriumkloriid 0.9% 9 mg/ml
Süsteravim   Clindamycin phosphate   
Süsteravim   Cefoxitin sodium 20 mg/ml
25°C
48 Tund
valgus 418
Tõenduspõhisuse tase D
klaas naatriumkloriid 0.9% 9 mg/ml
Süsteravim   Clindamycin phosphate   
Süsteravim   Cefamandole nafate 10 mg/ml
25°C
48 Tund
valgus 418
Tõenduspõhisuse tase D
klaas naatriumkloriid 0.9% 9 mg/ml
Süsteravim   Clindamycin phosphate   
Süsteravim   Cefazolin sodium 10 mg/ml
25°C
48 Tund
valgus 418
Tõenduspõhisuse tase D
klaas naatriumkloriid 0.9% 12 mg/ml
Süsteravim   Clindamycin phosphate   
Süsteravim   Cefoperazone sodium 20 mg/ml
25°C
48 Tund
valgus 644
Tõenduspõhisuse tase B
klaas naatriumkloriid 0.9% 12 mg/ml
Süsteravim   Clindamycin phosphate   
Süsteravim   Cefonicid sodium 10 mg/ml
25°C
48 Tund
valgus 644
Tõenduspõhisuse tase B
klaas naatriumkloriid 0.9% 9 mg/ml
Süsteravim   Clindamycin phosphate   
Süsteravim   Cefuroxime sodium 15 mg/ml
25°C
48 Tund
valgus 644
Tõenduspõhisuse tase B
klaas glükoos 5% 12 mg/ml
Süsteravim   Clindamycin phosphate   
Süsteravim   Cefpirome sulfate 50 mg/ml
23°C
8 Tund
valgus 280
Tõenduspõhisuse tase B+
klaas glükoos 5% 9 mg/ml
Süsteravim   Clindamycin phosphate   
Süsteravim   Cefotaxime sodium 20 mg/ml
24°C
24 Tund
valgus 421
Jokker
klaas glükoos 5% 9 mg/ml
Süsteravim   Clindamycin phosphate   
Süsteravim   Netilmicin sulfate 3 mg/ml
24°C
24 Tund
valgus 421
Jokker
klaas glükoos 5% 12 mg/ml
Süsteravim   Clindamycin phosphate   
Süsteravim   Ceftriaxone disodium 20 mg/ml
25°C
1 Tund
valgus 432
Tõenduspõhisuse tase D
klaas glükoos 5% 9 mg/ml
Süsteravim   Clindamycin phosphate   
Süsteravim   Cefazolin sodium 10 mg/ml
Süsteravim   Gentamicin sulfate 0,8 mg/ml
25°C
1 Tund
valgus 695
Jokker
klaas glükoos 5% 9 mg/ml
Süsteravim   Clindamycin phosphate   
Süsteravim   Ceftazidime 20 mg/ml
25°C
24 Tund
valgus 432
Tõenduspõhisuse tase D
klaas glükoos 5% 9 mg/ml
Süsteravim   Clindamycin phosphate   
Süsteravim   Ceftizoxime sodium 20 mg/ml
25°C
48 Tund
valgus 418
Tõenduspõhisuse tase D
klaas glükoos 5% 9 mg/ml
Süsteravim   Clindamycin phosphate   
Süsteravim   Aztreonam 20 mg/ml
25°C
48 Tund
valgus 432
Tõenduspõhisuse tase D
klaas glükoos 5% 9 mg/ml
Süsteravim   Clindamycin phosphate   
Süsteravim   Piperacillin sodium 40 mg/ml
25°C
48 Tund
valgus 432
Tõenduspõhisuse tase D
klaas glükoos 5% 9 mg/ml
Süsteravim   Clindamycin phosphate   
Süsteravim   Cefoxitin sodium 20 mg/ml
25°C
48 Tund
valgus 418
Tõenduspõhisuse tase D
klaas glükoos 5% 9 mg/ml
Süsteravim   Clindamycin phosphate   
Süsteravim   Cefamandole nafate 10 mg/ml
25°C
48 Tund
valgus 418
Tõenduspõhisuse tase D
klaas glükoos 5% 9 mg/ml
Süsteravim   Clindamycin phosphate   
Süsteravim   Cefazolin sodium 10 mg/ml
25°C
48 Tund
valgus 418
Tõenduspõhisuse tase D
klaas glükoos 5% 12 mg/ml
Süsteravim   Clindamycin phosphate   
Süsteravim   Cefoperazone sodium 20 mg/ml
25°C
48 Tund
valgus 644
Tõenduspõhisuse tase B
klaas glükoos 5% 12 mg/ml
Süsteravim   Clindamycin phosphate   
Süsteravim   Cefonicid sodium 10 mg/ml
25°C
48 Tund
valgus 644
Tõenduspõhisuse tase B
klaas glükoos 5% 9 mg/ml
Süsteravim   Clindamycin phosphate   
Süsteravim   Cefuroxime sodium 15 mg/ml
25°C
48 Tund
valgus 644
Tõenduspõhisuse tase B
klaas Ringer laktaat 12 mg/ml
Süsteravim   Clindamycin phosphate   
Süsteravim   Cefpirome sulfate 50 mg/ml
23°C
8 Tund
valgus 280
Tõenduspõhisuse tase B+
klaas naatriumkloriid 0.45% 12 mg/ml
Süsteravim   Clindamycin phosphate   
Süsteravim   Cefpirome sulfate 50 mg/ml
23°C
8 Tund
valgus 280
Tõenduspõhisuse tase B+
klaas mitte ükski 6 mg/ml
Süsteravim   Clindamycin phosphate   
Süsteravim   Ofloxacin 2 mg/ml
25°C
48 Tund
pole täpsustatud 889
Tõenduspõhisuse tase D
polüvinüülkloriid naatriumkloriid 0.9% 9 mg/ml
Süsteravim   Clindamycin phosphate   
Süsteravim   Tobramycin sulfate 1,2 mg/ml
-20°C
28 päev
kaitsta valguse eest 565
Tõenduspõhisuse tase D
polüvinüülkloriid naatriumkloriid 0.9% 9 mg/ml
Süsteravim   Clindamycin phosphate   
Süsteravim   Gentamicin sulfate 1,2 mg/ml
-20°C
28 päev
kaitsta valguse eest 565
Tõenduspõhisuse tase D
polüvinüülkloriid naatriumkloriid 0.9% 3 & 6 mg/ml
Süsteravim   Clindamycin phosphate   
Süsteravim   Aztreonam 10 & 20 mg/ml
22°C-23°C
48 Tund
pole täpsustatud 419
Tõenduspõhisuse tase B+
polüvinüülkloriid naatriumkloriid 0.9% 9 mg/ml
Süsteravim   Clindamycin phosphate   
Süsteravim   Cefotaxime sodium 20 mg/ml
24°C
24 Tund
valgus 421
Jokker
polüvinüülkloriid naatriumkloriid 0.9% 9 mg/ml
Süsteravim   Clindamycin phosphate   
Süsteravim   Netilmicin sulfate 3 mg/ml
24°C
24 Tund
valgus 421
Jokker
polüvinüülkloriid naatriumkloriid 0.9% 9 mg/ml
Süsteravim   Clindamycin phosphate   
Süsteravim   Amikacin sulfate 4 mg/ml
25°C
48 Tund
pole täpsustatud 565
Tõenduspõhisuse tase D
polüvinüülkloriid naatriumkloriid 0.9% 3 & 6 mg/ml
Süsteravim   Clindamycin phosphate   
Süsteravim   Aztreonam 10 & 20 mg/ml
4°C
7 päev
kaitsta valguse eest 419
Tõenduspõhisuse tase B+
polüvinüülkloriid glükoos 5% 9 mg/ml
Süsteravim   Clindamycin phosphate   
Süsteravim   Tobramycin sulfate 1,2 mg/ml
-20°C
14 päev
kaitsta valguse eest 565
Tõenduspõhisuse tase D
polüvinüülkloriid glükoos 5% 9 mg/ml
Süsteravim   Clindamycin phosphate   
Süsteravim   Gentamicin sulfate 1,2 mg/ml
-20°C
28 päev
kaitsta valguse eest 565
Tõenduspõhisuse tase D
polüvinüülkloriid glükoos 5% 3 & 6 mg/ml
Süsteravim   Clindamycin phosphate   
Süsteravim   Aztreonam 10 & 20 mg/ml
22°C-23°C
48 Tund
pole täpsustatud 419
Tõenduspõhisuse tase B+
polüvinüülkloriid glükoos 5% 9 mg/ml
Süsteravim   Clindamycin phosphate   
Süsteravim   Cefotaxime sodium 20 mg/ml
24°C
24 Tund
valgus 421
Jokker
polüvinüülkloriid glükoos 5% 9 mg/ml
Süsteravim   Clindamycin phosphate   
Süsteravim   Netilmicin sulfate 3 mg/ml
24°C
24 Tund
valgus 421
Jokker
polüvinüülkloriid glükoos 5% 6 mg/ml
Süsteravim   Clindamycin phosphate   
Süsteravim   Gentamicin sulfate 5 mg/ml
25°C
24 Tund
valgus 423
Tõenduspõhisuse tase D
polüvinüülkloriid glükoos 5% 9 mg/ml
Süsteravim   Clindamycin phosphate   
Süsteravim   Amikacin sulfate 4 mg/ml
25°C
48 Tund
pole täpsustatud 565
Tõenduspõhisuse tase D
polüvinüülkloriid glükoos 5% 3 & 6 mg/ml
Süsteravim   Clindamycin phosphate   
Süsteravim   Aztreonam 10 & 20 mg/ml
4°C
7 päev
kaitsta valguse eest 419
Tõenduspõhisuse tase B+
süstal  polüpropüleenist naatriumkloriid 0.9% 90 mg/ml
Süsteravim   Clindamycin phosphate   
Süsteravim   Gentamicin sulfate 30 mg/ml
22°C-23°C
48 Tund
valgus 639
Tõenduspõhisuse tase D
süstal  polüpropüleenist naatriumkloriid 0.9% 90 mg/ml
Süsteravim   Clindamycin phosphate   
Süsteravim   Amikacin sulfate 190 mg/ml
22°C-23°C
48 Tund
valgus 639
Tõenduspõhisuse tase D

  Mentions Légales