Τελευταία ενημέρωση :
17/12/2025
Αντιβιοτικό   Clindamycin phosphate  
Ενέσιμο
Σταθερότητα διαλυμάτων Σταθερότητα σε μίγματα Παράγοντας που επηρεάζει τη σταθερότητα Συμβατότητες Τρόπος χορήγησης Βιβλιογραφία pdf
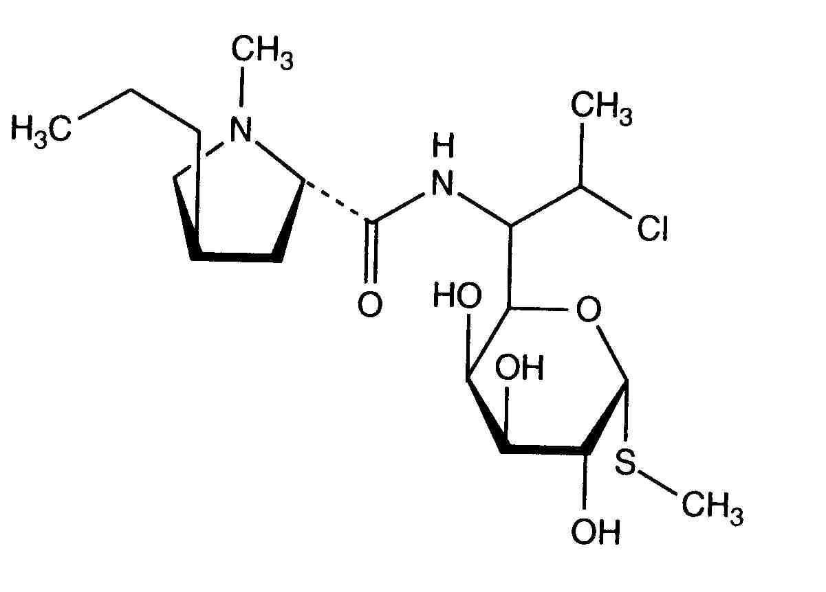
   χημική δομή  

Εμπορική ονομασία   Εμπορική ονομασία     

Οι εμπορικές ονομασίες είναι ενδεικτικές και η σύνθεση των εκδόχων μπορεί να διαφέρει ανάλογα με τη χώρα και τα εργαστήρια

Biodaclin Μεξικό
Camyda Ινδία
Cinbiot Μεξικό
Cleocin Αυστρία, Η.Π.Α., Τουρκία
Clinamsa Μεξικό
Clinbac Κολομβία, Περού
Clincina Πορτογαλία
Clinda-Saar Γερμανία
Clindacid Βενεζουέλα
Clindacin Μαλαισία
Clindalaf Αργεντινή
Clindamicina Αργεντινή, Βενεζουέλα, Βραζιλία, Εκουαδόρ, Ισπανία, Ιταλία, Κολομβία, Μεξικό, Περού, Πορτογαλία, Χιλή
Clindamycin Αυστρία, Γερμανία, Η.Π.Α., Ιράν, Καναδάς, Νορβηγία, Ρουμανία, Σαουδική Αραβία, Σουηδία
Clindamycin-Hameln Γερμανία
Clindamycine Βέλγιο, Γαλλία, Ολλανδία, Τυνησία
Clindanovag Αργεντινή
Clindarix Βραζιλία
Clindasol Γερμανία
Clindaval Βενεζουέλα
Clindazyn Μεξικό
Clindo Πολωνία
Clysvic Μεξικό
Daclin Χιλή
Dalacin Yhdistyneet arabiemiirikunnat, Αίγυπτος, Αυστραλία, Βέλγιο, Βενεζουέλα, Δανία, Εκουαδόρ, Ελβετία, Ελλάδα, Ινδία, Ιράν, Ιρλανδία, Ισλανδία, Ιταλία, Καναδάς, Κολομβία, Λουξεμβούργο, Μαλαισία, Μεγάλη Βρετανία, Μεξικό, νέα Ζηλανδία, Νορβηγία, Ολλανδία, Ουγγαρία, Πολωνία, Σαουδική Αραβία, Σουηδία, Τυνησία, Φινλανδία, Χιλή
Dalacine Γαλλία, Τυνησία
Daladic Ιράν
Dalcinex Ινδία
Damclid Ινδία
Damicin Κολομβία, Μεξικό
Damicine Κολομβία
Dolarclin Κολομβία
Euroclin Εκουαδόρ, Κολομβία
Gynasafe Ινδία
Indamid Μεξικό
Klimicin Πολωνία
Klindan Τουρκία
Klindaver Τουρκία
Lanacine Αυστρία
Lincocin Μαλαισία
Lincosa Μαλαισία
Meneklin Τουρκία
Sobelin Γερμανία
Tidact Μαλαισία
Σταθερότητα σε μίγματα   Ενέσιμο   Σταθερότητα σε μίγματα : Clindamycin phosphate     
Υποδοχέας Διαλυτικό Συγκέντρωση Συστατικό Θερμοκρασία Αποθήκευση Διάρκεια σταθερότητας Βιβλιογραφία
Ύαλος Χλωριούχο νάτριο 0,9% 12 mg/ml
Ενέσιμο   Clindamycin phosphate   
Ενέσιμο   Cefpirome sulfate 50 mg/ml
23°C
8 Ώρα
Φως 280
Επίπεδο των αποδεικτικών στοιχείων B+
Ύαλος Χλωριούχο νάτριο 0,9% 9 mg/ml
Ενέσιμο   Clindamycin phosphate   
Ενέσιμο   Cefotaxime sodium 20 mg/ml
24°C
24 Ώρα
Φως 421
Τζόκερ
Ύαλος Χλωριούχο νάτριο 0,9% 9 mg/ml
Ενέσιμο   Clindamycin phosphate   
Ενέσιμο   Netilmicin sulfate 3 mg/ml
24°C
24 Ώρα
Φως 421
Τζόκερ
Ύαλος Χλωριούχο νάτριο 0,9% 12 mg/ml
Ενέσιμο   Clindamycin phosphate   
Ενέσιμο   Ceftriaxone disodium 20 mg/ml
25°C
8 Ώρα
Φως 432
Επίπεδο των αποδεικτικών στοιχείων D
Ύαλος Χλωριούχο νάτριο 0,9% 9 mg/ml
Ενέσιμο   Clindamycin phosphate   
Ενέσιμο   Cefazolin sodium 10 mg/ml
Ενέσιμο   Gentamicin sulfate 0,8 mg/ml
25°C
12 Ώρα
Φως 695
Τζόκερ
Ύαλος Χλωριούχο νάτριο 0,9% 9 mg/ml
Ενέσιμο   Clindamycin phosphate   
Ενέσιμο   Ceftizoxime sodium 20 mg/ml
25°C
24 Ώρα
Φως 418
Επίπεδο των αποδεικτικών στοιχείων D
Ύαλος Χλωριούχο νάτριο 0,9% 9 mg/ml
Ενέσιμο   Clindamycin phosphate   
Ενέσιμο   Ceftazidime 20 mg/ml
25°C
48 Ώρα
Φως 432
Επίπεδο των αποδεικτικών στοιχείων D
Ύαλος Χλωριούχο νάτριο 0,9% 60 mg/ml
Ενέσιμο   Clindamycin phosphate   
Ενέσιμο   Aztreonam 200 mg/ml
25°C
48 Ώρα
Φως 644
Επίπεδο των αποδεικτικών στοιχείων B
Ύαλος Χλωριούχο νάτριο 0,9% 9 mg/ml
Ενέσιμο   Clindamycin phosphate   
Ενέσιμο   Aztreonam 20 mg/ml
25°C
48 Ώρα
Φως 432
Επίπεδο των αποδεικτικών στοιχείων D
Ύαλος Χλωριούχο νάτριο 0,9% 9 mg/ml
Ενέσιμο   Clindamycin phosphate   
Ενέσιμο   Piperacillin sodium 40 mg/ml
25°C
48 Ώρα
Φως 432
Επίπεδο των αποδεικτικών στοιχείων D
Ύαλος Χλωριούχο νάτριο 0,9% 9 mg/ml
Ενέσιμο   Clindamycin phosphate   
Ενέσιμο   Cefoxitin sodium 20 mg/ml
25°C
48 Ώρα
Φως 418
Επίπεδο των αποδεικτικών στοιχείων D
Ύαλος Χλωριούχο νάτριο 0,9% 9 mg/ml
Ενέσιμο   Clindamycin phosphate   
Ενέσιμο   Cefamandole nafate 10 mg/ml
25°C
48 Ώρα
Φως 418
Επίπεδο των αποδεικτικών στοιχείων D
Ύαλος Χλωριούχο νάτριο 0,9% 9 mg/ml
Ενέσιμο   Clindamycin phosphate   
Ενέσιμο   Cefazolin sodium 10 mg/ml
25°C
48 Ώρα
Φως 418
Επίπεδο των αποδεικτικών στοιχείων D
Ύαλος Χλωριούχο νάτριο 0,9% 12 mg/ml
Ενέσιμο   Clindamycin phosphate   
Ενέσιμο   Cefoperazone sodium 20 mg/ml
25°C
48 Ώρα
Φως 644
Επίπεδο των αποδεικτικών στοιχείων B
Ύαλος Χλωριούχο νάτριο 0,9% 12 mg/ml
Ενέσιμο   Clindamycin phosphate   
Ενέσιμο   Cefonicid sodium 10 mg/ml
25°C
48 Ώρα
Φως 644
Επίπεδο των αποδεικτικών στοιχείων B
Ύαλος Χλωριούχο νάτριο 0,9% 9 mg/ml
Ενέσιμο   Clindamycin phosphate   
Ενέσιμο   Cefuroxime sodium 15 mg/ml
25°C
48 Ώρα
Φως 644
Επίπεδο των αποδεικτικών στοιχείων B
Ύαλος Γλυκόζη 5% 12 mg/ml
Ενέσιμο   Clindamycin phosphate   
Ενέσιμο   Cefpirome sulfate 50 mg/ml
23°C
8 Ώρα
Φως 280
Επίπεδο των αποδεικτικών στοιχείων B+
Ύαλος Γλυκόζη 5% 9 mg/ml
Ενέσιμο   Clindamycin phosphate   
Ενέσιμο   Cefotaxime sodium 20 mg/ml
24°C
24 Ώρα
Φως 421
Τζόκερ
Ύαλος Γλυκόζη 5% 9 mg/ml
Ενέσιμο   Clindamycin phosphate   
Ενέσιμο   Netilmicin sulfate 3 mg/ml
24°C
24 Ώρα
Φως 421
Τζόκερ
Ύαλος Γλυκόζη 5% 12 mg/ml
Ενέσιμο   Clindamycin phosphate   
Ενέσιμο   Ceftriaxone disodium 20 mg/ml
25°C
1 Ώρα
Φως 432
Επίπεδο των αποδεικτικών στοιχείων D
Ύαλος Γλυκόζη 5% 9 mg/ml
Ενέσιμο   Clindamycin phosphate   
Ενέσιμο   Cefazolin sodium 10 mg/ml
Ενέσιμο   Gentamicin sulfate 0,8 mg/ml
25°C
1 Ώρα
Φως 695
Τζόκερ
Ύαλος Γλυκόζη 5% 9 mg/ml
Ενέσιμο   Clindamycin phosphate   
Ενέσιμο   Ceftazidime 20 mg/ml
25°C
24 Ώρα
Φως 432
Επίπεδο των αποδεικτικών στοιχείων D
Ύαλος Γλυκόζη 5% 9 mg/ml
Ενέσιμο   Clindamycin phosphate   
Ενέσιμο   Ceftizoxime sodium 20 mg/ml
25°C
48 Ώρα
Φως 418
Επίπεδο των αποδεικτικών στοιχείων D
Ύαλος Γλυκόζη 5% 9 mg/ml
Ενέσιμο   Clindamycin phosphate   
Ενέσιμο   Aztreonam 20 mg/ml
25°C
48 Ώρα
Φως 432
Επίπεδο των αποδεικτικών στοιχείων D
Ύαλος Γλυκόζη 5% 9 mg/ml
Ενέσιμο   Clindamycin phosphate   
Ενέσιμο   Piperacillin sodium 40 mg/ml
25°C
48 Ώρα
Φως 432
Επίπεδο των αποδεικτικών στοιχείων D
Ύαλος Γλυκόζη 5% 9 mg/ml
Ενέσιμο   Clindamycin phosphate   
Ενέσιμο   Cefoxitin sodium 20 mg/ml
25°C
48 Ώρα
Φως 418
Επίπεδο των αποδεικτικών στοιχείων D
Ύαλος Γλυκόζη 5% 9 mg/ml
Ενέσιμο   Clindamycin phosphate   
Ενέσιμο   Cefamandole nafate 10 mg/ml
25°C
48 Ώρα
Φως 418
Επίπεδο των αποδεικτικών στοιχείων D
Ύαλος Γλυκόζη 5% 9 mg/ml
Ενέσιμο   Clindamycin phosphate   
Ενέσιμο   Cefazolin sodium 10 mg/ml
25°C
48 Ώρα
Φως 418
Επίπεδο των αποδεικτικών στοιχείων D
Ύαλος Γλυκόζη 5% 12 mg/ml
Ενέσιμο   Clindamycin phosphate   
Ενέσιμο   Cefoperazone sodium 20 mg/ml
25°C
48 Ώρα
Φως 644
Επίπεδο των αποδεικτικών στοιχείων B
Ύαλος Γλυκόζη 5% 12 mg/ml
Ενέσιμο   Clindamycin phosphate   
Ενέσιμο   Cefonicid sodium 10 mg/ml
25°C
48 Ώρα
Φως 644
Επίπεδο των αποδεικτικών στοιχείων B
Ύαλος Γλυκόζη 5% 9 mg/ml
Ενέσιμο   Clindamycin phosphate   
Ενέσιμο   Cefuroxime sodium 15 mg/ml
25°C
48 Ώρα
Φως 644
Επίπεδο των αποδεικτικών στοιχείων B
Ύαλος Γαλακτικό διάλυμα Ringer 12 mg/ml
Ενέσιμο   Clindamycin phosphate   
Ενέσιμο   Cefpirome sulfate 50 mg/ml
23°C
8 Ώρα
Φως 280
Επίπεδο των αποδεικτικών στοιχείων B+
Ύαλος Χλωριούχο νάτριο 0,45% 12 mg/ml
Ενέσιμο   Clindamycin phosphate   
Ενέσιμο   Cefpirome sulfate 50 mg/ml
23°C
8 Ώρα
Φως 280
Επίπεδο των αποδεικτικών στοιχείων B+
Ύαλος Ουδέν 6 mg/ml
Ενέσιμο   Clindamycin phosphate   
Ενέσιμο   Ofloxacin 2 mg/ml
25°C
48 Ώρα
Απροσδιόριστο 889
Επίπεδο των αποδεικτικών στοιχείων D
Πολυβινυλοχλωρίδιο Χλωριούχο νάτριο 0,9% 9 mg/ml
Ενέσιμο   Clindamycin phosphate   
Ενέσιμο   Tobramycin sulfate 1,2 mg/ml
-20°C
28 Ημέρα
Προστατεύετε από το φως 565
Επίπεδο των αποδεικτικών στοιχείων D
Πολυβινυλοχλωρίδιο Χλωριούχο νάτριο 0,9% 9 mg/ml
Ενέσιμο   Clindamycin phosphate   
Ενέσιμο   Gentamicin sulfate 1,2 mg/ml
-20°C
28 Ημέρα
Προστατεύετε από το φως 565
Επίπεδο των αποδεικτικών στοιχείων D
Πολυβινυλοχλωρίδιο Χλωριούχο νάτριο 0,9% 3 & 6 mg/ml
Ενέσιμο   Clindamycin phosphate   
Ενέσιμο   Aztreonam 10 & 20 mg/ml
22°C-23°C
48 Ώρα
Απροσδιόριστο 419
Επίπεδο των αποδεικτικών στοιχείων B+
Πολυβινυλοχλωρίδιο Χλωριούχο νάτριο 0,9% 9 mg/ml
Ενέσιμο   Clindamycin phosphate   
Ενέσιμο   Cefotaxime sodium 20 mg/ml
24°C
24 Ώρα
Φως 421
Τζόκερ
Πολυβινυλοχλωρίδιο Χλωριούχο νάτριο 0,9% 9 mg/ml
Ενέσιμο   Clindamycin phosphate   
Ενέσιμο   Netilmicin sulfate 3 mg/ml
24°C
24 Ώρα
Φως 421
Τζόκερ
Πολυβινυλοχλωρίδιο Χλωριούχο νάτριο 0,9% 9 mg/ml
Ενέσιμο   Clindamycin phosphate   
Ενέσιμο   Amikacin sulfate 4 mg/ml
25°C
48 Ώρα
Απροσδιόριστο 565
Επίπεδο των αποδεικτικών στοιχείων D
Πολυβινυλοχλωρίδιο Χλωριούχο νάτριο 0,9% 3 & 6 mg/ml
Ενέσιμο   Clindamycin phosphate   
Ενέσιμο   Aztreonam 10 & 20 mg/ml
4°C
7 Ημέρα
Προστατεύετε από το φως 419
Επίπεδο των αποδεικτικών στοιχείων B+
Πολυβινυλοχλωρίδιο Γλυκόζη 5% 9 mg/ml
Ενέσιμο   Clindamycin phosphate   
Ενέσιμο   Tobramycin sulfate 1,2 mg/ml
-20°C
14 Ημέρα
Προστατεύετε από το φως 565
Επίπεδο των αποδεικτικών στοιχείων D
Πολυβινυλοχλωρίδιο Γλυκόζη 5% 9 mg/ml
Ενέσιμο   Clindamycin phosphate   
Ενέσιμο   Gentamicin sulfate 1,2 mg/ml
-20°C
28 Ημέρα
Προστατεύετε από το φως 565
Επίπεδο των αποδεικτικών στοιχείων D
Πολυβινυλοχλωρίδιο Γλυκόζη 5% 3 & 6 mg/ml
Ενέσιμο   Clindamycin phosphate   
Ενέσιμο   Aztreonam 10 & 20 mg/ml
22°C-23°C
48 Ώρα
Απροσδιόριστο 419
Επίπεδο των αποδεικτικών στοιχείων B+
Πολυβινυλοχλωρίδιο Γλυκόζη 5% 9 mg/ml
Ενέσιμο   Clindamycin phosphate   
Ενέσιμο   Cefotaxime sodium 20 mg/ml
24°C
24 Ώρα
Φως 421
Τζόκερ
Πολυβινυλοχλωρίδιο Γλυκόζη 5% 9 mg/ml
Ενέσιμο   Clindamycin phosphate   
Ενέσιμο   Netilmicin sulfate 3 mg/ml
24°C
24 Ώρα
Φως 421
Τζόκερ
Πολυβινυλοχλωρίδιο Γλυκόζη 5% 6 mg/ml
Ενέσιμο   Clindamycin phosphate   
Ενέσιμο   Gentamicin sulfate 5 mg/ml
25°C
24 Ώρα
Φως 423
Επίπεδο των αποδεικτικών στοιχείων D
Πολυβινυλοχλωρίδιο Γλυκόζη 5% 9 mg/ml
Ενέσιμο   Clindamycin phosphate   
Ενέσιμο   Amikacin sulfate 4 mg/ml
25°C
48 Ώρα
Απροσδιόριστο 565
Επίπεδο των αποδεικτικών στοιχείων D
Πολυβινυλοχλωρίδιο Γλυκόζη 5% 3 & 6 mg/ml
Ενέσιμο   Clindamycin phosphate   
Ενέσιμο   Aztreonam 10 & 20 mg/ml
4°C
7 Ημέρα
Προστατεύετε από το φως 419
Επίπεδο των αποδεικτικών στοιχείων B+
σύριγγα πολυπροπυλένιο Χλωριούχο νάτριο 0,9% 90 mg/ml
Ενέσιμο   Clindamycin phosphate   
Ενέσιμο   Gentamicin sulfate 30 mg/ml
22°C-23°C
48 Ώρα
Φως 639
Επίπεδο των αποδεικτικών στοιχείων D
σύριγγα πολυπροπυλένιο Χλωριούχο νάτριο 0,9% 90 mg/ml
Ενέσιμο   Clindamycin phosphate   
Ενέσιμο   Amikacin sulfate 190 mg/ml
22°C-23°C
48 Ώρα
Φως 639
Επίπεδο των αποδεικτικών στοιχείων D

  Mentions Légales