آخر تحديث :
17/12/2025
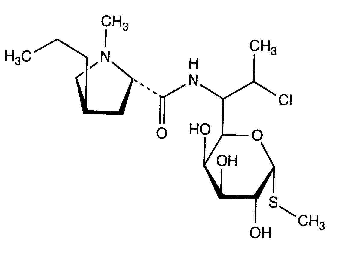
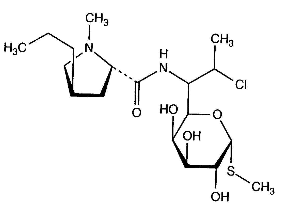
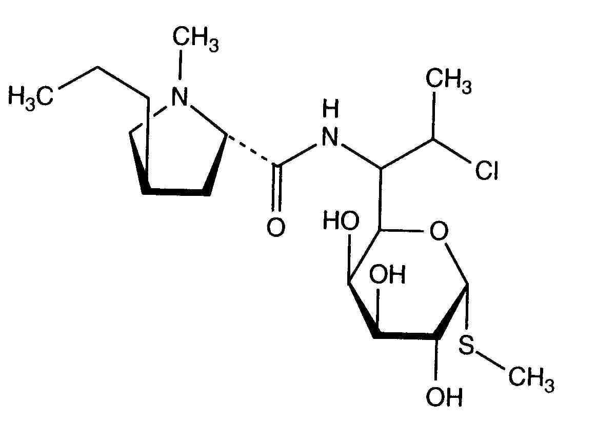
مضاد حيوي   Clindamycin phosphate  
حقن
الاستقرار في حلول استقرار مخاليط العوامل التي تؤثر على الاستقرار التوافق طريقة التعاطي مراجع pdf
   التركيب الكيميائي  

حجز الاسم التجاري   حجز الاسم التجاري     

تحذير الأسماء التجاريه المختلفه قد تحتوي علي محتوي إضافات مختلفة حسب الدوله و المعمل

Biodaclin المكسيك
Camyda الهند
Cinbiot المكسيك
Cleocin النمسا, الولايات المتحدة, تركيا
Clinamsa المكسيك
Clinbac بيرو, كولومبيا
Clincina البرتغال
Clinda-Saar ألمانيا
Clindacid فنزويلا
Clindacin ماليزيا
Clindalaf الأرجنتين
Clindamicina إسبانيا, إيطاليا, الأرجنتين, الإكوادور, البرازيل, البرتغال, المكسيك, بيرو, تشيلي, فنزويلا, كولومبيا
Clindamycin ألمانيا, إيران, السويد, العربية السعودية, النرويج, النمسا, الولايات المتحدة, رومانيا, كندا
Clindamycin-Hameln ألمانيا
Clindamycine بلجيكا, تونس, فرنسا, هولندا
Clindanovag الأرجنتين
Clindarix البرازيل
Clindasol ألمانيا
Clindaval فنزويلا
Clindazyn المكسيك
Clindo بولندا
Clysvic المكسيك
Daclin تشيلي
Dalacin أستراليا, أيسلندا, إيران, إيطاليا, الإكوادور, الإمارات العربية المتحدة, الدنمارك, السويد, العربية السعودية, المكسيك, النرويج, الهند, ايرلندا, بريطانيا العظمي, بلجيكا, بولندا, تشيلي, تونس, زيلاندا الجديدة, سويسرا, فنزويلا, فنلندا, كندا, كولومبيا, لوكسمبورغ, ماليزيا, مصر, هنغاريا, هولندا, يونان
Dalacine تونس, فرنسا
Daladic إيران
Dalcinex الهند
Damclid الهند
Damicin المكسيك, كولومبيا
Damicine كولومبيا
Dolarclin كولومبيا
Euroclin الإكوادور, كولومبيا
Gynasafe الهند
Indamid المكسيك
Klimicin بولندا
Klindan تركيا
Klindaver تركيا
Lanacine النمسا
Lincocin ماليزيا
Lincosa ماليزيا
Meneklin تركيا
Sobelin ألمانيا
Tidact ماليزيا
استقرار مخاليط   حقن   استقرار مخاليط : Clindamycin phosphate     
حاوية مذيب تركيز مركب درجة الحرارة تخزين مدة الاستقرار مراجع
زجاج كلوريد الصوديوم 0.9% 12 mg/ml
حقن   Clindamycin phosphate   
حقن   Cefpirome sulfate 50 mg/ml
23°C
8 ساعة
ضوء 280
B+ مستوى الأدلة
زجاج كلوريد الصوديوم 0.9% 9 mg/ml
حقن   Clindamycin phosphate   
حقن   Cefotaxime sodium 20 mg/ml
24°C
24 ساعة
ضوء 421
joker
زجاج كلوريد الصوديوم 0.9% 9 mg/ml
حقن   Clindamycin phosphate   
حقن   Netilmicin sulfate 3 mg/ml
24°C
24 ساعة
ضوء 421
joker
زجاج كلوريد الصوديوم 0.9% 12 mg/ml
حقن   Clindamycin phosphate   
حقن   Ceftriaxone disodium 20 mg/ml
25°C
8 ساعة
ضوء 432
D مستوى الأدلة
زجاج كلوريد الصوديوم 0.9% 9 mg/ml
حقن   Clindamycin phosphate   
حقن   Cefazolin sodium 10 mg/ml
حقن   Gentamicin sulfate 0,8 mg/ml
25°C
12 ساعة
ضوء 695
joker
زجاج كلوريد الصوديوم 0.9% 9 mg/ml
حقن   Clindamycin phosphate   
حقن   Ceftizoxime sodium 20 mg/ml
25°C
24 ساعة
ضوء 418
D مستوى الأدلة
زجاج كلوريد الصوديوم 0.9% 9 mg/ml
حقن   Clindamycin phosphate   
حقن   Ceftazidime 20 mg/ml
25°C
48 ساعة
ضوء 432
D مستوى الأدلة
زجاج كلوريد الصوديوم 0.9% 60 mg/ml
حقن   Clindamycin phosphate   
حقن   Aztreonam 200 mg/ml
25°C
48 ساعة
ضوء 644
B مستوى الأدلة
زجاج كلوريد الصوديوم 0.9% 9 mg/ml
حقن   Clindamycin phosphate   
حقن   Aztreonam 20 mg/ml
25°C
48 ساعة
ضوء 432
D مستوى الأدلة
زجاج كلوريد الصوديوم 0.9% 9 mg/ml
حقن   Clindamycin phosphate   
حقن   Piperacillin sodium 40 mg/ml
25°C
48 ساعة
ضوء 432
D مستوى الأدلة
زجاج كلوريد الصوديوم 0.9% 9 mg/ml
حقن   Clindamycin phosphate   
حقن   Cefoxitin sodium 20 mg/ml
25°C
48 ساعة
ضوء 418
D مستوى الأدلة
زجاج كلوريد الصوديوم 0.9% 9 mg/ml
حقن   Clindamycin phosphate   
حقن   Cefamandole nafate 10 mg/ml
25°C
48 ساعة
ضوء 418
D مستوى الأدلة
زجاج كلوريد الصوديوم 0.9% 9 mg/ml
حقن   Clindamycin phosphate   
حقن   Cefazolin sodium 10 mg/ml
25°C
48 ساعة
ضوء 418
D مستوى الأدلة
زجاج كلوريد الصوديوم 0.9% 12 mg/ml
حقن   Clindamycin phosphate   
حقن   Cefoperazone sodium 20 mg/ml
25°C
48 ساعة
ضوء 644
B مستوى الأدلة
زجاج كلوريد الصوديوم 0.9% 12 mg/ml
حقن   Clindamycin phosphate   
حقن   Cefonicid sodium 10 mg/ml
25°C
48 ساعة
ضوء 644
B مستوى الأدلة
زجاج كلوريد الصوديوم 0.9% 9 mg/ml
حقن   Clindamycin phosphate   
حقن   Cefuroxime sodium 15 mg/ml
25°C
48 ساعة
ضوء 644
B مستوى الأدلة
زجاج الجلوكوز %5 12 mg/ml
حقن   Clindamycin phosphate   
حقن   Cefpirome sulfate 50 mg/ml
23°C
8 ساعة
ضوء 280
B+ مستوى الأدلة
زجاج الجلوكوز %5 9 mg/ml
حقن   Clindamycin phosphate   
حقن   Cefotaxime sodium 20 mg/ml
24°C
24 ساعة
ضوء 421
joker
زجاج الجلوكوز %5 9 mg/ml
حقن   Clindamycin phosphate   
حقن   Netilmicin sulfate 3 mg/ml
24°C
24 ساعة
ضوء 421
joker
زجاج الجلوكوز %5 12 mg/ml
حقن   Clindamycin phosphate   
حقن   Ceftriaxone disodium 20 mg/ml
25°C
1 ساعة
ضوء 432
D مستوى الأدلة
زجاج الجلوكوز %5 9 mg/ml
حقن   Clindamycin phosphate   
حقن   Cefazolin sodium 10 mg/ml
حقن   Gentamicin sulfate 0,8 mg/ml
25°C
1 ساعة
ضوء 695
joker
زجاج الجلوكوز %5 9 mg/ml
حقن   Clindamycin phosphate   
حقن   Ceftazidime 20 mg/ml
25°C
24 ساعة
ضوء 432
D مستوى الأدلة
زجاج الجلوكوز %5 9 mg/ml
حقن   Clindamycin phosphate   
حقن   Ceftizoxime sodium 20 mg/ml
25°C
48 ساعة
ضوء 418
D مستوى الأدلة
زجاج الجلوكوز %5 9 mg/ml
حقن   Clindamycin phosphate   
حقن   Aztreonam 20 mg/ml
25°C
48 ساعة
ضوء 432
D مستوى الأدلة
زجاج الجلوكوز %5 9 mg/ml
حقن   Clindamycin phosphate   
حقن   Piperacillin sodium 40 mg/ml
25°C
48 ساعة
ضوء 432
D مستوى الأدلة
زجاج الجلوكوز %5 9 mg/ml
حقن   Clindamycin phosphate   
حقن   Cefoxitin sodium 20 mg/ml
25°C
48 ساعة
ضوء 418
D مستوى الأدلة
زجاج الجلوكوز %5 9 mg/ml
حقن   Clindamycin phosphate   
حقن   Cefamandole nafate 10 mg/ml
25°C
48 ساعة
ضوء 418
D مستوى الأدلة
زجاج الجلوكوز %5 9 mg/ml
حقن   Clindamycin phosphate   
حقن   Cefazolin sodium 10 mg/ml
25°C
48 ساعة
ضوء 418
D مستوى الأدلة
زجاج الجلوكوز %5 12 mg/ml
حقن   Clindamycin phosphate   
حقن   Cefoperazone sodium 20 mg/ml
25°C
48 ساعة
ضوء 644
B مستوى الأدلة
زجاج الجلوكوز %5 12 mg/ml
حقن   Clindamycin phosphate   
حقن   Cefonicid sodium 10 mg/ml
25°C
48 ساعة
ضوء 644
B مستوى الأدلة
زجاج الجلوكوز %5 9 mg/ml
حقن   Clindamycin phosphate   
حقن   Cefuroxime sodium 15 mg/ml
25°C
48 ساعة
ضوء 644
B مستوى الأدلة
زجاج محلول رينجر  اللاكتات 12 mg/ml
حقن   Clindamycin phosphate   
حقن   Cefpirome sulfate 50 mg/ml
23°C
8 ساعة
ضوء 280
B+ مستوى الأدلة
زجاج كلوريد الصوديوم 0.45% 12 mg/ml
حقن   Clindamycin phosphate   
حقن   Cefpirome sulfate 50 mg/ml
23°C
8 ساعة
ضوء 280
B+ مستوى الأدلة
زجاج لا شيء 6 mg/ml
حقن   Clindamycin phosphate   
حقن   Ofloxacin 2 mg/ml
25°C
48 ساعة
لم يتم تحديد 889
D مستوى الأدلة
البولي فينيل كلوريد كلوريد الصوديوم 0.9% 9 mg/ml
حقن   Clindamycin phosphate   
حقن   Tobramycin sulfate 1,2 mg/ml
-20°C
28 يوم
بعيدا عن الضوء 565
D مستوى الأدلة
البولي فينيل كلوريد كلوريد الصوديوم 0.9% 9 mg/ml
حقن   Clindamycin phosphate   
حقن   Gentamicin sulfate 1,2 mg/ml
-20°C
28 يوم
بعيدا عن الضوء 565
D مستوى الأدلة
البولي فينيل كلوريد كلوريد الصوديوم 0.9% 3 & 6 mg/ml
حقن   Clindamycin phosphate   
حقن   Aztreonam 10 & 20 mg/ml
22°C-23°C
48 ساعة
لم يتم تحديد 419
B+ مستوى الأدلة
البولي فينيل كلوريد كلوريد الصوديوم 0.9% 9 mg/ml
حقن   Clindamycin phosphate   
حقن   Cefotaxime sodium 20 mg/ml
24°C
24 ساعة
ضوء 421
joker
البولي فينيل كلوريد كلوريد الصوديوم 0.9% 9 mg/ml
حقن   Clindamycin phosphate   
حقن   Netilmicin sulfate 3 mg/ml
24°C
24 ساعة
ضوء 421
joker
البولي فينيل كلوريد كلوريد الصوديوم 0.9% 9 mg/ml
حقن   Clindamycin phosphate   
حقن   Amikacin sulfate 4 mg/ml
25°C
48 ساعة
لم يتم تحديد 565
D مستوى الأدلة
البولي فينيل كلوريد كلوريد الصوديوم 0.9% 3 & 6 mg/ml
حقن   Clindamycin phosphate   
حقن   Aztreonam 10 & 20 mg/ml
4°C
7 يوم
بعيدا عن الضوء 419
B+ مستوى الأدلة
البولي فينيل كلوريد الجلوكوز %5 9 mg/ml
حقن   Clindamycin phosphate   
حقن   Tobramycin sulfate 1,2 mg/ml
-20°C
14 يوم
بعيدا عن الضوء 565
D مستوى الأدلة
البولي فينيل كلوريد الجلوكوز %5 9 mg/ml
حقن   Clindamycin phosphate   
حقن   Gentamicin sulfate 1,2 mg/ml
-20°C
28 يوم
بعيدا عن الضوء 565
D مستوى الأدلة
البولي فينيل كلوريد الجلوكوز %5 3 & 6 mg/ml
حقن   Clindamycin phosphate   
حقن   Aztreonam 10 & 20 mg/ml
22°C-23°C
48 ساعة
لم يتم تحديد 419
B+ مستوى الأدلة
البولي فينيل كلوريد الجلوكوز %5 9 mg/ml
حقن   Clindamycin phosphate   
حقن   Cefotaxime sodium 20 mg/ml
24°C
24 ساعة
ضوء 421
joker
البولي فينيل كلوريد الجلوكوز %5 9 mg/ml
حقن   Clindamycin phosphate   
حقن   Netilmicin sulfate 3 mg/ml
24°C
24 ساعة
ضوء 421
joker
البولي فينيل كلوريد الجلوكوز %5 6 mg/ml
حقن   Clindamycin phosphate   
حقن   Gentamicin sulfate 5 mg/ml
25°C
24 ساعة
ضوء 423
D مستوى الأدلة
البولي فينيل كلوريد الجلوكوز %5 9 mg/ml
حقن   Clindamycin phosphate   
حقن   Amikacin sulfate 4 mg/ml
25°C
48 ساعة
لم يتم تحديد 565
D مستوى الأدلة
البولي فينيل كلوريد الجلوكوز %5 3 & 6 mg/ml
حقن   Clindamycin phosphate   
حقن   Aztreonam 10 & 20 mg/ml
4°C
7 يوم
بعيدا عن الضوء 419
B+ مستوى الأدلة
محقنة البولي بروبلين كلوريد الصوديوم 0.9% 90 mg/ml
حقن   Clindamycin phosphate   
حقن   Gentamicin sulfate 30 mg/ml
22°C-23°C
48 ساعة
ضوء 639
D مستوى الأدلة
محقنة البولي بروبلين كلوريد الصوديوم 0.9% 90 mg/ml
حقن   Clindamycin phosphate   
حقن   Amikacin sulfate 190 mg/ml
22°C-23°C
48 ساعة
ضوء 639
D مستوى الأدلة

  Mentions Légales