最新更新 :
17/12/2025
抗菌薬   Clindamycin phosphate  
注射薬
溶媒内の安定性 混合時の安定性 安定性に影響する因子 互換性 投与経路 引用文献 PDF
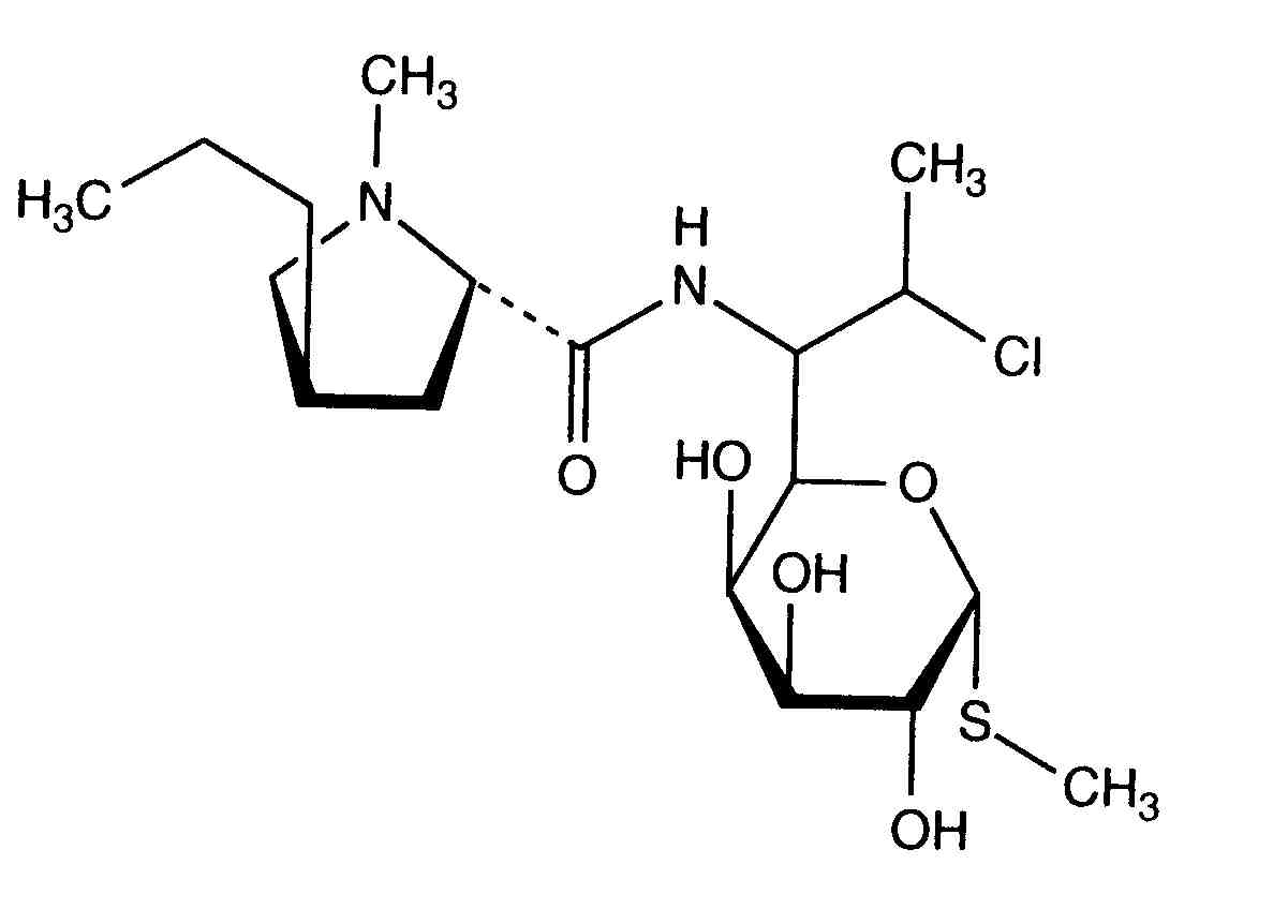
   化学構造  

商品名   商品名     

商品名、賦形剤は国、製薬会社ごとに異なることがあります

Biodaclin メキシコ
Camyda インド
Cinbiot メキシコ
Cleocin アメリカ, オーストリア, トルコ
Clinamsa メキシコ
Clinbac コロンビア, ペルー
Clincina ポルトガル
Clinda-Saar ドイツ
Clindacid ベネズエラ
Clindacin マレーシア
Clindalaf アルゼンチン
Clindamicina アルゼンチン, イタリア, エクアドル, コロンビア, スペイン, チリ, ブラジル, ベネズエラ, ペルー, ポルトガル, メキシコ
Clindamycin アメリカ, イラン, オーストリア, カナダ, サウジアラビア, スウェーデン, ドイツ, ノルウェー, ルーマニア
Clindamycin-Hameln ドイツ
Clindamycine オランダ, チュニジア, フランス, ベルギー
Clindanovag アルゼンチン
Clindarix ブラジル
Clindasol ドイツ
Clindaval ベネズエラ
Clindazyn メキシコ
Clindo ポーランド
Clysvic メキシコ
Daclin チリ
Dalacin アイスランド, アイルランド, アラブ首長国連邦, アーストラリア, イギリス, イタリア, イラン, インド, エクアドル, エジプト, オランダ, カナダ, ギリシア, コロンビア, サウジアラビア, スイス, スウェーデン, チュニジア, チリ, デンマーク, ニュージーランド, ノルウェー, ハンガリー, フィンランド, ベネズエラ, ベルギー, ポーランド, マレーシア, メキシコ, ルクセンブルグ
Dalacine チュニジア, フランス
Daladic イラン
Dalcinex インド
Damclid インド
Damicin コロンビア, メキシコ
Damicine コロンビア
Dolarclin コロンビア
Euroclin エクアドル, コロンビア
Gynasafe インド
Indamid メキシコ
Klimicin ポーランド
Klindan トルコ
Klindaver トルコ
Lanacine オーストリア
Lincocin マレーシア
Lincosa マレーシア
Meneklin トルコ
Sobelin ドイツ
Tidact マレーシア
混合時の安定性   注射薬   混合時の安定性 : Clindamycin phosphate     
容器 溶媒 濃度 化合物 温度 保管 安定期間 引用文献
ガラス NaCl 0,9% 12 mg/ml
注射薬   Clindamycin phosphate   
注射薬   Cefpirome sulfate 50 mg/ml
23°C
8 時間
光 280
エビデンスレベル B+
ガラス NaCl 0,9% 9 mg/ml
注射薬   Clindamycin phosphate   
注射薬   Cefotaxime sodium 20 mg/ml
24°C
24 時間
光 421
Joker
ガラス NaCl 0,9% 9 mg/ml
注射薬   Clindamycin phosphate   
注射薬   Netilmicin sulfate 3 mg/ml
24°C
24 時間
光 421
Joker
ガラス NaCl 0,9% 12 mg/ml
注射薬   Clindamycin phosphate   
注射薬   Ceftriaxone disodium 20 mg/ml
25°C
8 時間
光 432
エビデンスレベル D
ガラス NaCl 0,9% 9 mg/ml
注射薬   Clindamycin phosphate   
注射薬   Cefazolin sodium 10 mg/ml
注射薬   Gentamicin sulfate 0,8 mg/ml
25°C
12 時間
光 695
Joker
ガラス NaCl 0,9% 9 mg/ml
注射薬   Clindamycin phosphate   
注射薬   Ceftizoxime sodium 20 mg/ml
25°C
24 時間
光 418
エビデンスレベル D
ガラス NaCl 0,9% 9 mg/ml
注射薬   Clindamycin phosphate   
注射薬   Ceftazidime 20 mg/ml
25°C
48 時間
光 432
エビデンスレベル D
ガラス NaCl 0,9% 60 mg/ml
注射薬   Clindamycin phosphate   
注射薬   Aztreonam 200 mg/ml
25°C
48 時間
光 644
エビデンスレベル B
ガラス NaCl 0,9% 9 mg/ml
注射薬   Clindamycin phosphate   
注射薬   Aztreonam 20 mg/ml
25°C
48 時間
光 432
エビデンスレベル D
ガラス NaCl 0,9% 9 mg/ml
注射薬   Clindamycin phosphate   
注射薬   Piperacillin sodium 40 mg/ml
25°C
48 時間
光 432
エビデンスレベル D
ガラス NaCl 0,9% 9 mg/ml
注射薬   Clindamycin phosphate   
注射薬   Cefoxitin sodium 20 mg/ml
25°C
48 時間
光 418
エビデンスレベル D
ガラス NaCl 0,9% 9 mg/ml
注射薬   Clindamycin phosphate   
注射薬   Cefamandole nafate 10 mg/ml
25°C
48 時間
光 418
エビデンスレベル D
ガラス NaCl 0,9% 9 mg/ml
注射薬   Clindamycin phosphate   
注射薬   Cefazolin sodium 10 mg/ml
25°C
48 時間
光 418
エビデンスレベル D
ガラス NaCl 0,9% 12 mg/ml
注射薬   Clindamycin phosphate   
注射薬   Cefoperazone sodium 20 mg/ml
25°C
48 時間
光 644
エビデンスレベル B
ガラス NaCl 0,9% 12 mg/ml
注射薬   Clindamycin phosphate   
注射薬   Cefonicid sodium 10 mg/ml
25°C
48 時間
光 644
エビデンスレベル B
ガラス NaCl 0,9% 9 mg/ml
注射薬   Clindamycin phosphate   
注射薬   Cefuroxime sodium 15 mg/ml
25°C
48 時間
光 644
エビデンスレベル B
ガラス グルコース5% 12 mg/ml
注射薬   Clindamycin phosphate   
注射薬   Cefpirome sulfate 50 mg/ml
23°C
8 時間
光 280
エビデンスレベル B+
ガラス グルコース5% 9 mg/ml
注射薬   Clindamycin phosphate   
注射薬   Cefotaxime sodium 20 mg/ml
24°C
24 時間
光 421
Joker
ガラス グルコース5% 9 mg/ml
注射薬   Clindamycin phosphate   
注射薬   Netilmicin sulfate 3 mg/ml
24°C
24 時間
光 421
Joker
ガラス グルコース5% 12 mg/ml
注射薬   Clindamycin phosphate   
注射薬   Ceftriaxone disodium 20 mg/ml
25°C
1 時間
光 432
エビデンスレベル D
ガラス グルコース5% 9 mg/ml
注射薬   Clindamycin phosphate   
注射薬   Cefazolin sodium 10 mg/ml
注射薬   Gentamicin sulfate 0,8 mg/ml
25°C
1 時間
光 695
Joker
ガラス グルコース5% 9 mg/ml
注射薬   Clindamycin phosphate   
注射薬   Ceftazidime 20 mg/ml
25°C
24 時間
光 432
エビデンスレベル D
ガラス グルコース5% 9 mg/ml
注射薬   Clindamycin phosphate   
注射薬   Ceftizoxime sodium 20 mg/ml
25°C
48 時間
光 418
エビデンスレベル D
ガラス グルコース5% 9 mg/ml
注射薬   Clindamycin phosphate   
注射薬   Aztreonam 20 mg/ml
25°C
48 時間
光 432
エビデンスレベル D
ガラス グルコース5% 9 mg/ml
注射薬   Clindamycin phosphate   
注射薬   Piperacillin sodium 40 mg/ml
25°C
48 時間
光 432
エビデンスレベル D
ガラス グルコース5% 9 mg/ml
注射薬   Clindamycin phosphate   
注射薬   Cefoxitin sodium 20 mg/ml
25°C
48 時間
光 418
エビデンスレベル D
ガラス グルコース5% 9 mg/ml
注射薬   Clindamycin phosphate   
注射薬   Cefamandole nafate 10 mg/ml
25°C
48 時間
光 418
エビデンスレベル D
ガラス グルコース5% 9 mg/ml
注射薬   Clindamycin phosphate   
注射薬   Cefazolin sodium 10 mg/ml
25°C
48 時間
光 418
エビデンスレベル D
ガラス グルコース5% 12 mg/ml
注射薬   Clindamycin phosphate   
注射薬   Cefoperazone sodium 20 mg/ml
25°C
48 時間
光 644
エビデンスレベル B
ガラス グルコース5% 12 mg/ml
注射薬   Clindamycin phosphate   
注射薬   Cefonicid sodium 10 mg/ml
25°C
48 時間
光 644
エビデンスレベル B
ガラス グルコース5% 9 mg/ml
注射薬   Clindamycin phosphate   
注射薬   Cefuroxime sodium 15 mg/ml
25°C
48 時間
光 644
エビデンスレベル B
ガラス 乳酸リンゲル 12 mg/ml
注射薬   Clindamycin phosphate   
注射薬   Cefpirome sulfate 50 mg/ml
23°C
8 時間
光 280
エビデンスレベル B+
ガラス NaCl 0.45% 12 mg/ml
注射薬   Clindamycin phosphate   
注射薬   Cefpirome sulfate 50 mg/ml
23°C
8 時間
光 280
エビデンスレベル B+
ガラス なし 6 mg/ml
注射薬   Clindamycin phosphate   
注射薬   Ofloxacin 2 mg/ml
25°C
48 時間
特記なし 889
エビデンスレベル D
ポリ塩化ビニル(PVC) NaCl 0,9% 9 mg/ml
注射薬   Clindamycin phosphate   
注射薬   Tobramycin sulfate 1,2 mg/ml
-20°C
28 日
遮光 565
エビデンスレベル D
ポリ塩化ビニル(PVC) NaCl 0,9% 9 mg/ml
注射薬   Clindamycin phosphate   
注射薬   Gentamicin sulfate 1,2 mg/ml
-20°C
28 日
遮光 565
エビデンスレベル D
ポリ塩化ビニル(PVC) NaCl 0,9% 3 & 6 mg/ml
注射薬   Clindamycin phosphate   
注射薬   Aztreonam 10 & 20 mg/ml
22°C-23°C
48 時間
特記なし 419
エビデンスレベル B+
ポリ塩化ビニル(PVC) NaCl 0,9% 9 mg/ml
注射薬   Clindamycin phosphate   
注射薬   Cefotaxime sodium 20 mg/ml
24°C
24 時間
光 421
Joker
ポリ塩化ビニル(PVC) NaCl 0,9% 9 mg/ml
注射薬   Clindamycin phosphate   
注射薬   Netilmicin sulfate 3 mg/ml
24°C
24 時間
光 421
Joker
ポリ塩化ビニル(PVC) NaCl 0,9% 9 mg/ml
注射薬   Clindamycin phosphate   
注射薬   Amikacin sulfate 4 mg/ml
25°C
48 時間
特記なし 565
エビデンスレベル D
ポリ塩化ビニル(PVC) NaCl 0,9% 3 & 6 mg/ml
注射薬   Clindamycin phosphate   
注射薬   Aztreonam 10 & 20 mg/ml
4°C
7 日
遮光 419
エビデンスレベル B+
ポリ塩化ビニル(PVC) グルコース5% 9 mg/ml
注射薬   Clindamycin phosphate   
注射薬   Tobramycin sulfate 1,2 mg/ml
-20°C
14 日
遮光 565
エビデンスレベル D
ポリ塩化ビニル(PVC) グルコース5% 9 mg/ml
注射薬   Clindamycin phosphate   
注射薬   Gentamicin sulfate 1,2 mg/ml
-20°C
28 日
遮光 565
エビデンスレベル D
ポリ塩化ビニル(PVC) グルコース5% 3 & 6 mg/ml
注射薬   Clindamycin phosphate   
注射薬   Aztreonam 10 & 20 mg/ml
22°C-23°C
48 時間
特記なし 419
エビデンスレベル B+
ポリ塩化ビニル(PVC) グルコース5% 9 mg/ml
注射薬   Clindamycin phosphate   
注射薬   Cefotaxime sodium 20 mg/ml
24°C
24 時間
光 421
Joker
ポリ塩化ビニル(PVC) グルコース5% 9 mg/ml
注射薬   Clindamycin phosphate   
注射薬   Netilmicin sulfate 3 mg/ml
24°C
24 時間
光 421
Joker
ポリ塩化ビニル(PVC) グルコース5% 6 mg/ml
注射薬   Clindamycin phosphate   
注射薬   Gentamicin sulfate 5 mg/ml
25°C
24 時間
光 423
エビデンスレベル D
ポリ塩化ビニル(PVC) グルコース5% 9 mg/ml
注射薬   Clindamycin phosphate   
注射薬   Amikacin sulfate 4 mg/ml
25°C
48 時間
特記なし 565
エビデンスレベル D
ポリ塩化ビニル(PVC) グルコース5% 3 & 6 mg/ml
注射薬   Clindamycin phosphate   
注射薬   Aztreonam 10 & 20 mg/ml
4°C
7 日
遮光 419
エビデンスレベル B+
シリンジ ポリプロピレン NaCl 0,9% 90 mg/ml
注射薬   Clindamycin phosphate   
注射薬   Gentamicin sulfate 30 mg/ml
22°C-23°C
48 時間
光 639
エビデンスレベル D
シリンジ ポリプロピレン NaCl 0,9% 90 mg/ml
注射薬   Clindamycin phosphate   
注射薬   Amikacin sulfate 190 mg/ml
22°C-23°C
48 時間
光 639
エビデンスレベル D

  Mentions Légales