Senaste uppdateringen :
17/12/2025
Antibiotikum   Clindamycin phosphate  
injektion
Lösningars stabilitet Stabilitet i blandningar Faktorer som påverkar stabiliteten Kompatibilitet Administreringssätt Hänvisningar pdf
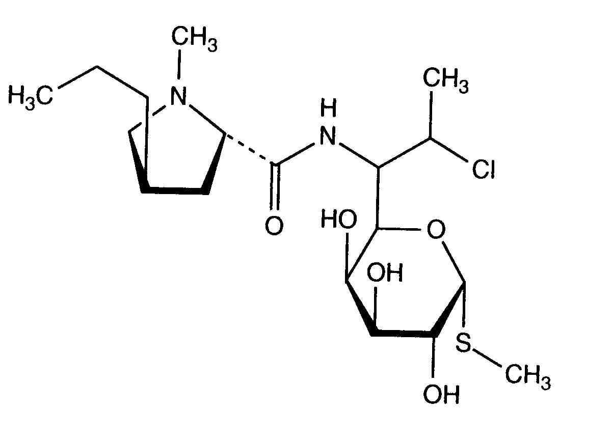
   Molekylstruktur  

Varunamn   Varunamn     

Angivna handelsnamn på läkemedel är enbart vägledande då formulering inklusive hjälpämnen kan variera mellan länder och tillverkare

Biodaclin Mexiko
Camyda Indien
Cinbiot Mexiko
Cleocin Förenta Staterna, Österrike, Turkiet
Clinamsa Mexiko
Clinbac Colombia, Peru
Clincina Portugal
Clinda-Saar Tyskland
Clindacid Venezuela
Clindacin Malaysia
Clindalaf Argentina
Clindamicina Argentina, Brasilien, Chile, Colombia, Ecuador, Italien, Mexiko, Peru, Portugal, Spanien, Venezuela
Clindamycin Förenta Staterna, Iran, Kanada, Norge, Österrike, Rumänien, Saudi-Arabien, Sverige, Tyskland
Clindamycin-Hameln Tyskland
Clindamycine Belgien, Frankrike, Nederländerna, Tunisien
Clindanovag Argentina
Clindarix Brasilien
Clindasol Tyskland
Clindaval Venezuela
Clindazyn Mexiko
Clindo Polen
Clysvic Mexiko
Daclin Chile
Dalacin Australien, Belgien, Chile, Colombia, Danmark, Ecuador, Egypten, Finland, Förenade Arabemiraten, Grekland, Indien, Iran, Irland, Island, Italien, Kanada, Luxemburg, Malaysia, Mexiko, Nederländerna, Norge, nya Zeeland, Polen, Saudi-Arabien, Schweiz, Storbritannien, Sverige, Tunisien, Ungern, Venezuela
Dalacine Frankrike, Tunisien
Daladic Iran
Dalcinex Indien
Damclid Indien
Damicin Colombia, Mexiko
Damicine Colombia
Dolarclin Colombia
Euroclin Colombia, Ecuador
Gynasafe Indien
Indamid Mexiko
Klimicin Polen
Klindan Turkiet
Klindaver Turkiet
Lanacine Österrike
Lincocin Malaysia
Lincosa Malaysia
Meneklin Turkiet
Sobelin Tyskland
Tidact Malaysia
Stabilitet i blandningar   injektion   Stabilitet i blandningar : Clindamycin phosphate     
Behållare Lösningsmedel Koncentration Substans Temperatur Förvaring Stabilitets varaktighet Hänvisningar
Glas Natriumklorid 0,9 % 12 mg/ml
injektion   Clindamycin phosphate   
injektion   Cefpirome sulfate 50 mg/ml
23°C
8 Timma
Ljus 280
Evidensnivå B+
Glas Natriumklorid 0,9 % 9 mg/ml
injektion   Clindamycin phosphate   
injektion   Cefotaxime sodium 20 mg/ml
24°C
24 Timma
Ljus 421
Joker
Glas Natriumklorid 0,9 % 9 mg/ml
injektion   Clindamycin phosphate   
injektion   Netilmicin sulfate 3 mg/ml
24°C
24 Timma
Ljus 421
Joker
Glas Natriumklorid 0,9 % 12 mg/ml
injektion   Clindamycin phosphate   
injektion   Ceftriaxone disodium 20 mg/ml
25°C
8 Timma
Ljus 432
Evidensnivå D
Glas Natriumklorid 0,9 % 9 mg/ml
injektion   Clindamycin phosphate   
injektion   Cefazolin sodium 10 mg/ml
injektion   Gentamicin sulfate 0,8 mg/ml
25°C
12 Timma
Ljus 695
Joker
Glas Natriumklorid 0,9 % 9 mg/ml
injektion   Clindamycin phosphate   
injektion   Ceftizoxime sodium 20 mg/ml
25°C
24 Timma
Ljus 418
Evidensnivå D
Glas Natriumklorid 0,9 % 9 mg/ml
injektion   Clindamycin phosphate   
injektion   Ceftazidime 20 mg/ml
25°C
48 Timma
Ljus 432
Evidensnivå D
Glas Natriumklorid 0,9 % 60 mg/ml
injektion   Clindamycin phosphate   
injektion   Aztreonam 200 mg/ml
25°C
48 Timma
Ljus 644
Evidensnivå B
Glas Natriumklorid 0,9 % 9 mg/ml
injektion   Clindamycin phosphate   
injektion   Aztreonam 20 mg/ml
25°C
48 Timma
Ljus 432
Evidensnivå D
Glas Natriumklorid 0,9 % 9 mg/ml
injektion   Clindamycin phosphate   
injektion   Piperacillin sodium 40 mg/ml
25°C
48 Timma
Ljus 432
Evidensnivå D
Glas Natriumklorid 0,9 % 9 mg/ml
injektion   Clindamycin phosphate   
injektion   Cefoxitin sodium 20 mg/ml
25°C
48 Timma
Ljus 418
Evidensnivå D
Glas Natriumklorid 0,9 % 9 mg/ml
injektion   Clindamycin phosphate   
injektion   Cefamandole nafate 10 mg/ml
25°C
48 Timma
Ljus 418
Evidensnivå D
Glas Natriumklorid 0,9 % 9 mg/ml
injektion   Clindamycin phosphate   
injektion   Cefazolin sodium 10 mg/ml
25°C
48 Timma
Ljus 418
Evidensnivå D
Glas Natriumklorid 0,9 % 12 mg/ml
injektion   Clindamycin phosphate   
injektion   Cefoperazone sodium 20 mg/ml
25°C
48 Timma
Ljus 644
Evidensnivå B
Glas Natriumklorid 0,9 % 12 mg/ml
injektion   Clindamycin phosphate   
injektion   Cefonicid sodium 10 mg/ml
25°C
48 Timma
Ljus 644
Evidensnivå B
Glas Natriumklorid 0,9 % 9 mg/ml
injektion   Clindamycin phosphate   
injektion   Cefuroxime sodium 15 mg/ml
25°C
48 Timma
Ljus 644
Evidensnivå B
Glas Glukos 5 % 12 mg/ml
injektion   Clindamycin phosphate   
injektion   Cefpirome sulfate 50 mg/ml
23°C
8 Timma
Ljus 280
Evidensnivå B+
Glas Glukos 5 % 9 mg/ml
injektion   Clindamycin phosphate   
injektion   Cefotaxime sodium 20 mg/ml
24°C
24 Timma
Ljus 421
Joker
Glas Glukos 5 % 9 mg/ml
injektion   Clindamycin phosphate   
injektion   Netilmicin sulfate 3 mg/ml
24°C
24 Timma
Ljus 421
Joker
Glas Glukos 5 % 12 mg/ml
injektion   Clindamycin phosphate   
injektion   Ceftriaxone disodium 20 mg/ml
25°C
1 Timma
Ljus 432
Evidensnivå D
Glas Glukos 5 % 9 mg/ml
injektion   Clindamycin phosphate   
injektion   Cefazolin sodium 10 mg/ml
injektion   Gentamicin sulfate 0,8 mg/ml
25°C
1 Timma
Ljus 695
Joker
Glas Glukos 5 % 9 mg/ml
injektion   Clindamycin phosphate   
injektion   Ceftazidime 20 mg/ml
25°C
24 Timma
Ljus 432
Evidensnivå D
Glas Glukos 5 % 9 mg/ml
injektion   Clindamycin phosphate   
injektion   Ceftizoxime sodium 20 mg/ml
25°C
48 Timma
Ljus 418
Evidensnivå D
Glas Glukos 5 % 9 mg/ml
injektion   Clindamycin phosphate   
injektion   Aztreonam 20 mg/ml
25°C
48 Timma
Ljus 432
Evidensnivå D
Glas Glukos 5 % 9 mg/ml
injektion   Clindamycin phosphate   
injektion   Piperacillin sodium 40 mg/ml
25°C
48 Timma
Ljus 432
Evidensnivå D
Glas Glukos 5 % 9 mg/ml
injektion   Clindamycin phosphate   
injektion   Cefoxitin sodium 20 mg/ml
25°C
48 Timma
Ljus 418
Evidensnivå D
Glas Glukos 5 % 9 mg/ml
injektion   Clindamycin phosphate   
injektion   Cefamandole nafate 10 mg/ml
25°C
48 Timma
Ljus 418
Evidensnivå D
Glas Glukos 5 % 9 mg/ml
injektion   Clindamycin phosphate   
injektion   Cefazolin sodium 10 mg/ml
25°C
48 Timma
Ljus 418
Evidensnivå D
Glas Glukos 5 % 12 mg/ml
injektion   Clindamycin phosphate   
injektion   Cefoperazone sodium 20 mg/ml
25°C
48 Timma
Ljus 644
Evidensnivå B
Glas Glukos 5 % 12 mg/ml
injektion   Clindamycin phosphate   
injektion   Cefonicid sodium 10 mg/ml
25°C
48 Timma
Ljus 644
Evidensnivå B
Glas Glukos 5 % 9 mg/ml
injektion   Clindamycin phosphate   
injektion   Cefuroxime sodium 15 mg/ml
25°C
48 Timma
Ljus 644
Evidensnivå B
Glas Ringer-laktatlösning 12 mg/ml
injektion   Clindamycin phosphate   
injektion   Cefpirome sulfate 50 mg/ml
23°C
8 Timma
Ljus 280
Evidensnivå B+
Glas Natriumklorid 0,45 % 12 mg/ml
injektion   Clindamycin phosphate   
injektion   Cefpirome sulfate 50 mg/ml
23°C
8 Timma
Ljus 280
Evidensnivå B+
Glas Ingen 6 mg/ml
injektion   Clindamycin phosphate   
injektion   Ofloxacin 2 mg/ml
25°C
48 Timma
Ej angiven 889
Evidensnivå D
Polyvinylklorid Natriumklorid 0,9 % 9 mg/ml
injektion   Clindamycin phosphate   
injektion   Tobramycin sulfate 1,2 mg/ml
-20°C
28 Dag
Skyddas från ljus 565
Evidensnivå D
Polyvinylklorid Natriumklorid 0,9 % 9 mg/ml
injektion   Clindamycin phosphate   
injektion   Gentamicin sulfate 1,2 mg/ml
-20°C
28 Dag
Skyddas från ljus 565
Evidensnivå D
Polyvinylklorid Natriumklorid 0,9 % 3 & 6 mg/ml
injektion   Clindamycin phosphate   
injektion   Aztreonam 10 & 20 mg/ml
22°C-23°C
48 Timma
Ej angiven 419
Evidensnivå B+
Polyvinylklorid Natriumklorid 0,9 % 9 mg/ml
injektion   Clindamycin phosphate   
injektion   Cefotaxime sodium 20 mg/ml
24°C
24 Timma
Ljus 421
Joker
Polyvinylklorid Natriumklorid 0,9 % 9 mg/ml
injektion   Clindamycin phosphate   
injektion   Netilmicin sulfate 3 mg/ml
24°C
24 Timma
Ljus 421
Joker
Polyvinylklorid Natriumklorid 0,9 % 9 mg/ml
injektion   Clindamycin phosphate   
injektion   Amikacin sulfate 4 mg/ml
25°C
48 Timma
Ej angiven 565
Evidensnivå D
Polyvinylklorid Natriumklorid 0,9 % 3 & 6 mg/ml
injektion   Clindamycin phosphate   
injektion   Aztreonam 10 & 20 mg/ml
4°C
7 Dag
Skyddas från ljus 419
Evidensnivå B+
Polyvinylklorid Glukos 5 % 9 mg/ml
injektion   Clindamycin phosphate   
injektion   Tobramycin sulfate 1,2 mg/ml
-20°C
14 Dag
Skyddas från ljus 565
Evidensnivå D
Polyvinylklorid Glukos 5 % 9 mg/ml
injektion   Clindamycin phosphate   
injektion   Gentamicin sulfate 1,2 mg/ml
-20°C
28 Dag
Skyddas från ljus 565
Evidensnivå D
Polyvinylklorid Glukos 5 % 3 & 6 mg/ml
injektion   Clindamycin phosphate   
injektion   Aztreonam 10 & 20 mg/ml
22°C-23°C
48 Timma
Ej angiven 419
Evidensnivå B+
Polyvinylklorid Glukos 5 % 9 mg/ml
injektion   Clindamycin phosphate   
injektion   Cefotaxime sodium 20 mg/ml
24°C
24 Timma
Ljus 421
Joker
Polyvinylklorid Glukos 5 % 9 mg/ml
injektion   Clindamycin phosphate   
injektion   Netilmicin sulfate 3 mg/ml
24°C
24 Timma
Ljus 421
Joker
Polyvinylklorid Glukos 5 % 6 mg/ml
injektion   Clindamycin phosphate   
injektion   Gentamicin sulfate 5 mg/ml
25°C
24 Timma
Ljus 423
Evidensnivå D
Polyvinylklorid Glukos 5 % 9 mg/ml
injektion   Clindamycin phosphate   
injektion   Amikacin sulfate 4 mg/ml
25°C
48 Timma
Ej angiven 565
Evidensnivå D
Polyvinylklorid Glukos 5 % 3 & 6 mg/ml
injektion   Clindamycin phosphate   
injektion   Aztreonam 10 & 20 mg/ml
4°C
7 Dag
Skyddas från ljus 419
Evidensnivå B+
Spruta polypropen Natriumklorid 0,9 % 90 mg/ml
injektion   Clindamycin phosphate   
injektion   Gentamicin sulfate 30 mg/ml
22°C-23°C
48 Timma
Ljus 639
Evidensnivå D
Spruta polypropen Natriumklorid 0,9 % 90 mg/ml
injektion   Clindamycin phosphate   
injektion   Amikacin sulfate 190 mg/ml
22°C-23°C
48 Timma
Ljus 639
Evidensnivå D

  Mentions Légales