Zadnji put ažurirano :
17/12/2025
antibiotik   Clindamycin phosphate  
injekcija
Stabilizacija rješenja Stabilnost mješavine Stabilizacijski faktor Kompatibilnosti način davanja lijeka Bibliografija pdf
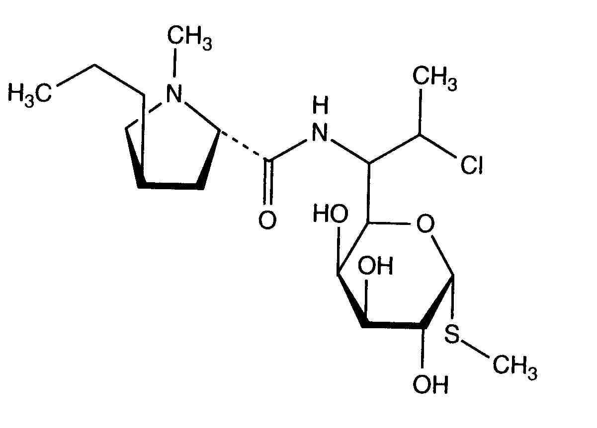
   Kemijska struktura  

Nekomercijalni   Nekomercijalni     

Zaštićeni nazivi su indikativni i sastav ekscipijensa može biti različit ovisno o državi i laboratorijima

Biodaclin Meksiko
Camyda Indija
Cinbiot Meksiko
Cleocin Austrija, S A D, Turska
Clinamsa Meksiko
Clinbac Kolumbija, Peru
Clincina Portugal
Clinda-Saar Njemačka
Clindacid Venecuela
Clindacin Malezija
Clindalaf Argentina
Clindamicina Argentina, Brazil, Čile, Ekvador, Italija, Kolumbija, Meksiko, Peru, Portugal, Španjolska, Venecuela
Clindamycin Austrija, Iran, Kanada, Njemačka, Norveška, Rumunjska, S A D, Saudijska Arabija, Švedska
Clindamycin-Hameln Njemačka
Clindamycine Belgija, Francuska, Nizozemska, Tunis
Clindanovag Argentina
Clindarix Brazil
Clindasol Njemačka
Clindaval Venecuela
Clindazyn Meksiko
Clindo Poljska
Clysvic Meksiko
Daclin Čile
Dalacin Indija, Australija, Belgija, Čile, Danska, Egipat, Ekvador, Finska, Grčka, Iran, Irska, Island, Italija, Kanada, Kolumbija, Luksemburg, Madžarska, Malezija, Meksiko, Nizozemska, Norveška, novi Zeland, Poljska, Saudijska Arabija, Švedska, Švicarska, Tunis, Ujedinjeni Arapski Emirati, Velika Britanija, Venecuela
Dalacine Francuska, Tunis
Daladic Iran
Dalcinex Indija
Damclid Indija
Damicin Kolumbija, Meksiko
Damicine Kolumbija
Dolarclin Kolumbija
Euroclin Ekvador, Kolumbija
Gynasafe Indija
Indamid Meksiko
Klimicin Poljska
Klindan Turska
Klindaver Turska
Lanacine Austrija
Lincocin Malezija
Lincosa Malezija
Meneklin Turska
Sobelin Njemačka
Tidact Malezija
Stabilnost mješavine   injekcija   Stabilnost mješavine : Clindamycin phosphate     
Kontejner sredstvo za rastapanje koncentracija molekula temperatura Konzerviranje Trajanje stabilnosti Bibliografija
čaša natrijumkorid 0,9% 12 mg/ml
injekcija   Clindamycin phosphate   
injekcija   Cefpirome sulfate 50 mg/ml
23°C
8 sat
svjetlost 280
Razina dokaza B+
čaša natrijumkorid 0,9% 9 mg/ml
injekcija   Clindamycin phosphate   
injekcija   Cefotaxime sodium 20 mg/ml
24°C
24 sat
svjetlost 421
OZNAKA
čaša natrijumkorid 0,9% 9 mg/ml
injekcija   Clindamycin phosphate   
injekcija   Netilmicin sulfate 3 mg/ml
24°C
24 sat
svjetlost 421
OZNAKA
čaša natrijumkorid 0,9% 12 mg/ml
injekcija   Clindamycin phosphate   
injekcija   Ceftriaxone disodium 20 mg/ml
25°C
8 sat
svjetlost 432
Razina dokaza D
čaša natrijumkorid 0,9% 9 mg/ml
injekcija   Clindamycin phosphate   
injekcija   Cefazolin sodium 10 mg/ml
injekcija   Gentamicin sulfate 0,8 mg/ml
25°C
12 sat
svjetlost 695
OZNAKA
čaša natrijumkorid 0,9% 9 mg/ml
injekcija   Clindamycin phosphate   
injekcija   Ceftizoxime sodium 20 mg/ml
25°C
24 sat
svjetlost 418
Razina dokaza D
čaša natrijumkorid 0,9% 9 mg/ml
injekcija   Clindamycin phosphate   
injekcija   Ceftazidime 20 mg/ml
25°C
48 sat
svjetlost 432
Razina dokaza D
čaša natrijumkorid 0,9% 60 mg/ml
injekcija   Clindamycin phosphate   
injekcija   Aztreonam 200 mg/ml
25°C
48 sat
svjetlost 644
Razina dokaza B
čaša natrijumkorid 0,9% 9 mg/ml
injekcija   Clindamycin phosphate   
injekcija   Aztreonam 20 mg/ml
25°C
48 sat
svjetlost 432
Razina dokaza D
čaša natrijumkorid 0,9% 9 mg/ml
injekcija   Clindamycin phosphate   
injekcija   Piperacillin sodium 40 mg/ml
25°C
48 sat
svjetlost 432
Razina dokaza D
čaša natrijumkorid 0,9% 9 mg/ml
injekcija   Clindamycin phosphate   
injekcija   Cefoxitin sodium 20 mg/ml
25°C
48 sat
svjetlost 418
Razina dokaza D
čaša natrijumkorid 0,9% 9 mg/ml
injekcija   Clindamycin phosphate   
injekcija   Cefamandole nafate 10 mg/ml
25°C
48 sat
svjetlost 418
Razina dokaza D
čaša natrijumkorid 0,9% 9 mg/ml
injekcija   Clindamycin phosphate   
injekcija   Cefazolin sodium 10 mg/ml
25°C
48 sat
svjetlost 418
Razina dokaza D
čaša natrijumkorid 0,9% 12 mg/ml
injekcija   Clindamycin phosphate   
injekcija   Cefoperazone sodium 20 mg/ml
25°C
48 sat
svjetlost 644
Razina dokaza B
čaša natrijumkorid 0,9% 12 mg/ml
injekcija   Clindamycin phosphate   
injekcija   Cefonicid sodium 10 mg/ml
25°C
48 sat
svjetlost 644
Razina dokaza B
čaša natrijumkorid 0,9% 9 mg/ml
injekcija   Clindamycin phosphate   
injekcija   Cefuroxime sodium 15 mg/ml
25°C
48 sat
svjetlost 644
Razina dokaza B
čaša glukoza 5% 12 mg/ml
injekcija   Clindamycin phosphate   
injekcija   Cefpirome sulfate 50 mg/ml
23°C
8 sat
svjetlost 280
Razina dokaza B+
čaša glukoza 5% 9 mg/ml
injekcija   Clindamycin phosphate   
injekcija   Cefotaxime sodium 20 mg/ml
24°C
24 sat
svjetlost 421
OZNAKA
čaša glukoza 5% 9 mg/ml
injekcija   Clindamycin phosphate   
injekcija   Netilmicin sulfate 3 mg/ml
24°C
24 sat
svjetlost 421
OZNAKA
čaša glukoza 5% 12 mg/ml
injekcija   Clindamycin phosphate   
injekcija   Ceftriaxone disodium 20 mg/ml
25°C
1 sat
svjetlost 432
Razina dokaza D
čaša glukoza 5% 9 mg/ml
injekcija   Clindamycin phosphate   
injekcija   Cefazolin sodium 10 mg/ml
injekcija   Gentamicin sulfate 0,8 mg/ml
25°C
1 sat
svjetlost 695
OZNAKA
čaša glukoza 5% 9 mg/ml
injekcija   Clindamycin phosphate   
injekcija   Ceftazidime 20 mg/ml
25°C
24 sat
svjetlost 432
Razina dokaza D
čaša glukoza 5% 9 mg/ml
injekcija   Clindamycin phosphate   
injekcija   Ceftizoxime sodium 20 mg/ml
25°C
48 sat
svjetlost 418
Razina dokaza D
čaša glukoza 5% 9 mg/ml
injekcija   Clindamycin phosphate   
injekcija   Aztreonam 20 mg/ml
25°C
48 sat
svjetlost 432
Razina dokaza D
čaša glukoza 5% 9 mg/ml
injekcija   Clindamycin phosphate   
injekcija   Piperacillin sodium 40 mg/ml
25°C
48 sat
svjetlost 432
Razina dokaza D
čaša glukoza 5% 9 mg/ml
injekcija   Clindamycin phosphate   
injekcija   Cefoxitin sodium 20 mg/ml
25°C
48 sat
svjetlost 418
Razina dokaza D
čaša glukoza 5% 9 mg/ml
injekcija   Clindamycin phosphate   
injekcija   Cefamandole nafate 10 mg/ml
25°C
48 sat
svjetlost 418
Razina dokaza D
čaša glukoza 5% 9 mg/ml
injekcija   Clindamycin phosphate   
injekcija   Cefazolin sodium 10 mg/ml
25°C
48 sat
svjetlost 418
Razina dokaza D
čaša glukoza 5% 12 mg/ml
injekcija   Clindamycin phosphate   
injekcija   Cefoperazone sodium 20 mg/ml
25°C
48 sat
svjetlost 644
Razina dokaza B
čaša glukoza 5% 12 mg/ml
injekcija   Clindamycin phosphate   
injekcija   Cefonicid sodium 10 mg/ml
25°C
48 sat
svjetlost 644
Razina dokaza B
čaša glukoza 5% 9 mg/ml
injekcija   Clindamycin phosphate   
injekcija   Cefuroxime sodium 15 mg/ml
25°C
48 sat
svjetlost 644
Razina dokaza B
čaša Ringer laktat 12 mg/ml
injekcija   Clindamycin phosphate   
injekcija   Cefpirome sulfate 50 mg/ml
23°C
8 sat
svjetlost 280
Razina dokaza B+
čaša natrijumklorid 0,45% 12 mg/ml
injekcija   Clindamycin phosphate   
injekcija   Cefpirome sulfate 50 mg/ml
23°C
8 sat
svjetlost 280
Razina dokaza B+
čaša nijedan 6 mg/ml
injekcija   Clindamycin phosphate   
injekcija   Ofloxacin 2 mg/ml
25°C
48 sat
nespecifičan 889
Razina dokaza D
polivinilklorid natrijumkorid 0,9% 9 mg/ml
injekcija   Clindamycin phosphate   
injekcija   Tobramycin sulfate 1,2 mg/ml
-20°C
28 dan
Zaštićeno od svjetlosti 565
Razina dokaza D
polivinilklorid natrijumkorid 0,9% 9 mg/ml
injekcija   Clindamycin phosphate   
injekcija   Gentamicin sulfate 1,2 mg/ml
-20°C
28 dan
Zaštićeno od svjetlosti 565
Razina dokaza D
polivinilklorid natrijumkorid 0,9% 3 & 6 mg/ml
injekcija   Clindamycin phosphate   
injekcija   Aztreonam 10 & 20 mg/ml
22°C-23°C
48 sat
nespecifičan 419
Razina dokaza B+
polivinilklorid natrijumkorid 0,9% 9 mg/ml
injekcija   Clindamycin phosphate   
injekcija   Cefotaxime sodium 20 mg/ml
24°C
24 sat
svjetlost 421
OZNAKA
polivinilklorid natrijumkorid 0,9% 9 mg/ml
injekcija   Clindamycin phosphate   
injekcija   Netilmicin sulfate 3 mg/ml
24°C
24 sat
svjetlost 421
OZNAKA
polivinilklorid natrijumkorid 0,9% 9 mg/ml
injekcija   Clindamycin phosphate   
injekcija   Amikacin sulfate 4 mg/ml
25°C
48 sat
nespecifičan 565
Razina dokaza D
polivinilklorid natrijumkorid 0,9% 3 & 6 mg/ml
injekcija   Clindamycin phosphate   
injekcija   Aztreonam 10 & 20 mg/ml
4°C
7 dan
Zaštićeno od svjetlosti 419
Razina dokaza B+
polivinilklorid glukoza 5% 9 mg/ml
injekcija   Clindamycin phosphate   
injekcija   Tobramycin sulfate 1,2 mg/ml
-20°C
14 dan
Zaštićeno od svjetlosti 565
Razina dokaza D
polivinilklorid glukoza 5% 9 mg/ml
injekcija   Clindamycin phosphate   
injekcija   Gentamicin sulfate 1,2 mg/ml
-20°C
28 dan
Zaštićeno od svjetlosti 565
Razina dokaza D
polivinilklorid glukoza 5% 3 & 6 mg/ml
injekcija   Clindamycin phosphate   
injekcija   Aztreonam 10 & 20 mg/ml
22°C-23°C
48 sat
nespecifičan 419
Razina dokaza B+
polivinilklorid glukoza 5% 9 mg/ml
injekcija   Clindamycin phosphate   
injekcija   Cefotaxime sodium 20 mg/ml
24°C
24 sat
svjetlost 421
OZNAKA
polivinilklorid glukoza 5% 9 mg/ml
injekcija   Clindamycin phosphate   
injekcija   Netilmicin sulfate 3 mg/ml
24°C
24 sat
svjetlost 421
OZNAKA
polivinilklorid glukoza 5% 6 mg/ml
injekcija   Clindamycin phosphate   
injekcija   Gentamicin sulfate 5 mg/ml
25°C
24 sat
svjetlost 423
Razina dokaza D
polivinilklorid glukoza 5% 9 mg/ml
injekcija   Clindamycin phosphate   
injekcija   Amikacin sulfate 4 mg/ml
25°C
48 sat
nespecifičan 565
Razina dokaza D
polivinilklorid glukoza 5% 3 & 6 mg/ml
injekcija   Clindamycin phosphate   
injekcija   Aztreonam 10 & 20 mg/ml
4°C
7 dan
Zaštićeno od svjetlosti 419
Razina dokaza B+
špric polipropilen natrijumkorid 0,9% 90 mg/ml
injekcija   Clindamycin phosphate   
injekcija   Gentamicin sulfate 30 mg/ml
22°C-23°C
48 sat
svjetlost 639
Razina dokaza D
špric polipropilen natrijumkorid 0,9% 90 mg/ml
injekcija   Clindamycin phosphate   
injekcija   Amikacin sulfate 190 mg/ml
22°C-23°C
48 sat
svjetlost 639
Razina dokaza D

  Mentions Légales