Senaste uppdateringen :
18/03/2026
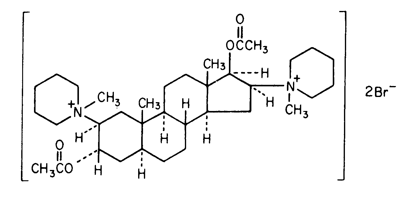
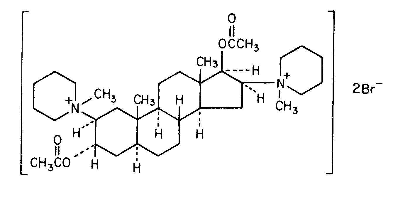
Muskel avslappande medel   Pancuronium bromide  
injektion
Lösningars stabilitet Stabilitet i blandningar Faktorer som påverkar stabiliteten Kompatibilitet Administreringssätt Hänvisningar pdf
   Molekylstruktur  

Varunamn   Varunamn     

Angivna handelsnamn på läkemedel är enbart vägledande då formulering inklusive hjälpämnen kan variera mellan länder och tillverkare

Pancuronium bromide injection Förenta Staterna, Kanada
Stabilitet i blandningar   injektion   Stabilitet i blandningar : Pancuronium bromide     
Behållare Lösningsmedel Koncentration Substans Temperatur Förvaring Stabilitets varaktighet Hänvisningar
Glas Glukos 5 % 0,46 mg/ml
injektion   Pancuronium bromide   
injektion   Milrinone lactate 0,2 mg/ml
22°C-23°C
4 Timma
Ljus 813
Evidensnivå A

  Mentions Légales