Τελευταία ενημέρωση :
27/11/2025
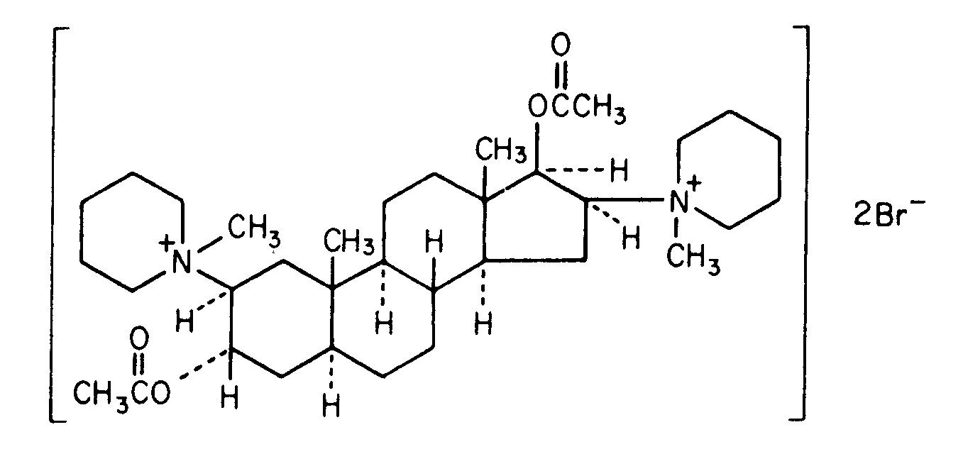
Κουραριομιμητικό   Pancuronium bromide  
Ενέσιμο
Σταθερότητα διαλυμάτων Σταθερότητα σε μίγματα Παράγοντας που επηρεάζει τη σταθερότητα Συμβατότητες Τρόπος χορήγησης Βιβλιογραφία pdf
   χημική δομή  

Εμπορική ονομασία   Εμπορική ονομασία     

Οι εμπορικές ονομασίες είναι ενδεικτικές και η σύνθεση των εκδόχων μπορεί να διαφέρει ανάλογα με τη χώρα και τα εργαστήρια

Pancuronium bromide injection Η.Π.Α., Καναδάς
Σταθερότητα σε μίγματα   Ενέσιμο   Σταθερότητα σε μίγματα : Pancuronium bromide     
Υποδοχέας Διαλυτικό Συγκέντρωση Συστατικό Θερμοκρασία Αποθήκευση Διάρκεια σταθερότητας Βιβλιογραφία
Ύαλος Γλυκόζη 5% 0,46 mg/ml
Ενέσιμο   Pancuronium bromide   
Ενέσιμο   Milrinone lactate 0,2 mg/ml
22°C-23°C
4 Ώρα
Φως 813
Επίπεδο των αποδεικτικών στοιχείων A

  Mentions Légales