Siste oppdatering :
27/11/2025
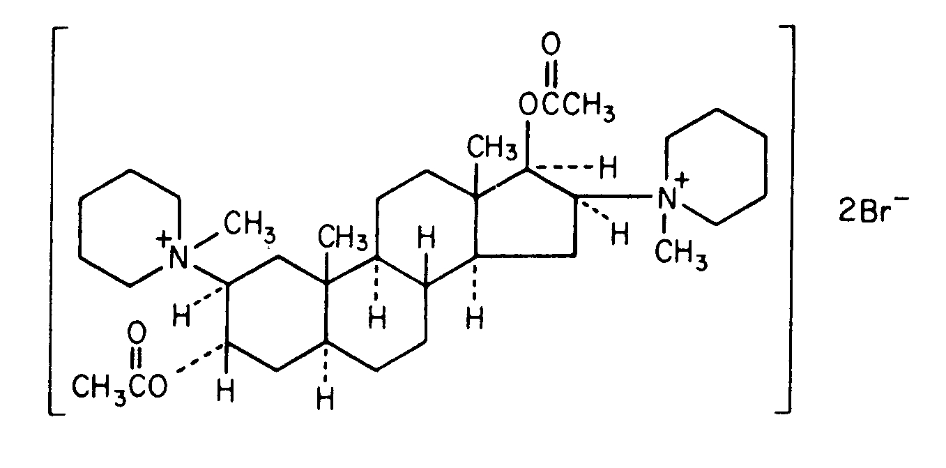
Kurarelignende middel   Pancuronium bromide  
Injeksjon
Oppløsningsstabilitet Stabilitet i blandinger Faktorer som påvirker stabiliteten Kompatibilitet Administrasjonsmåte Referanser pdf
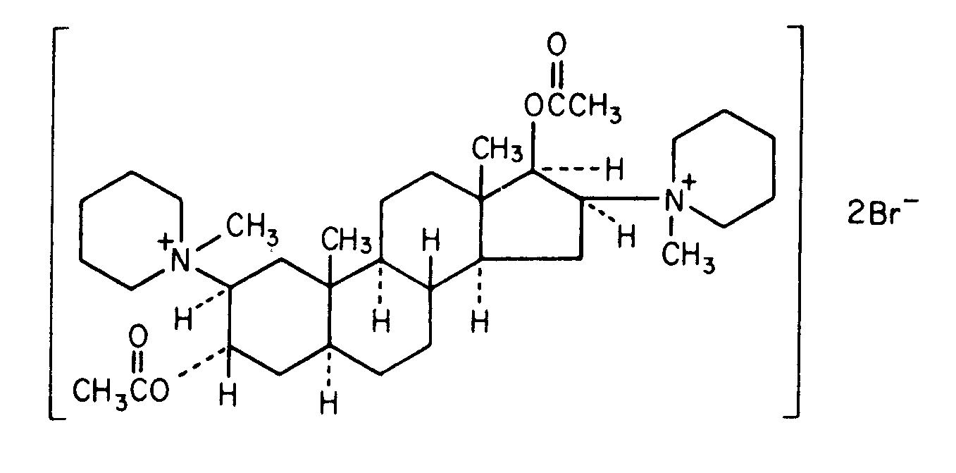
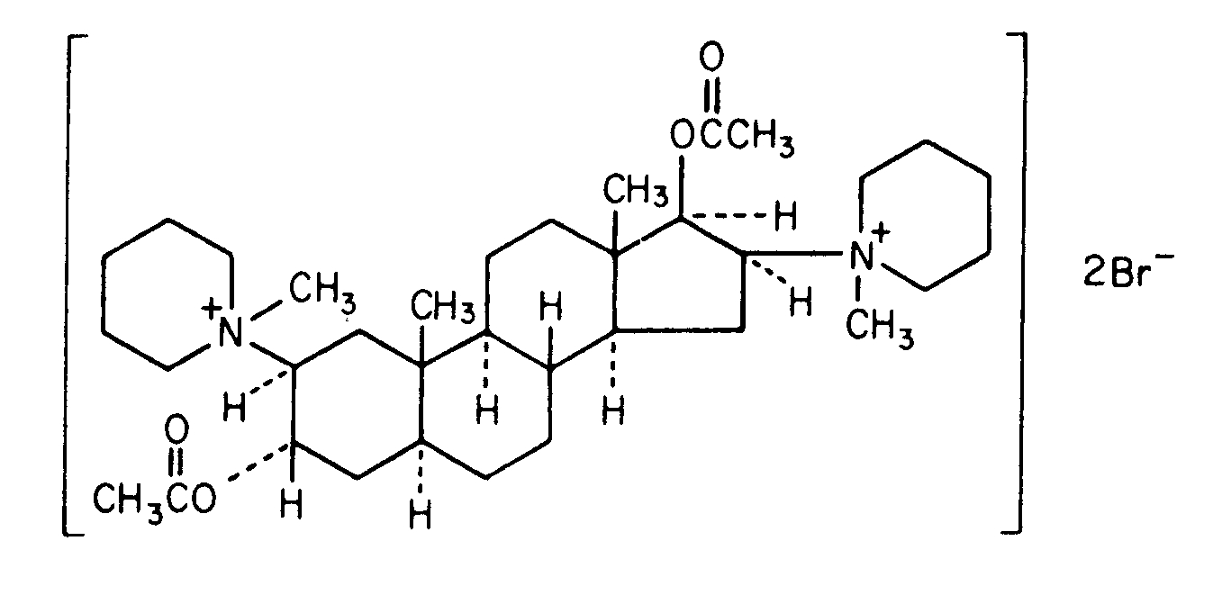
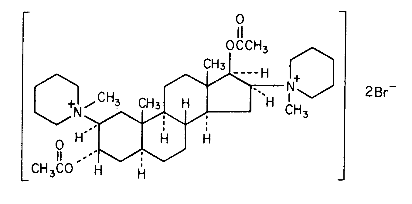
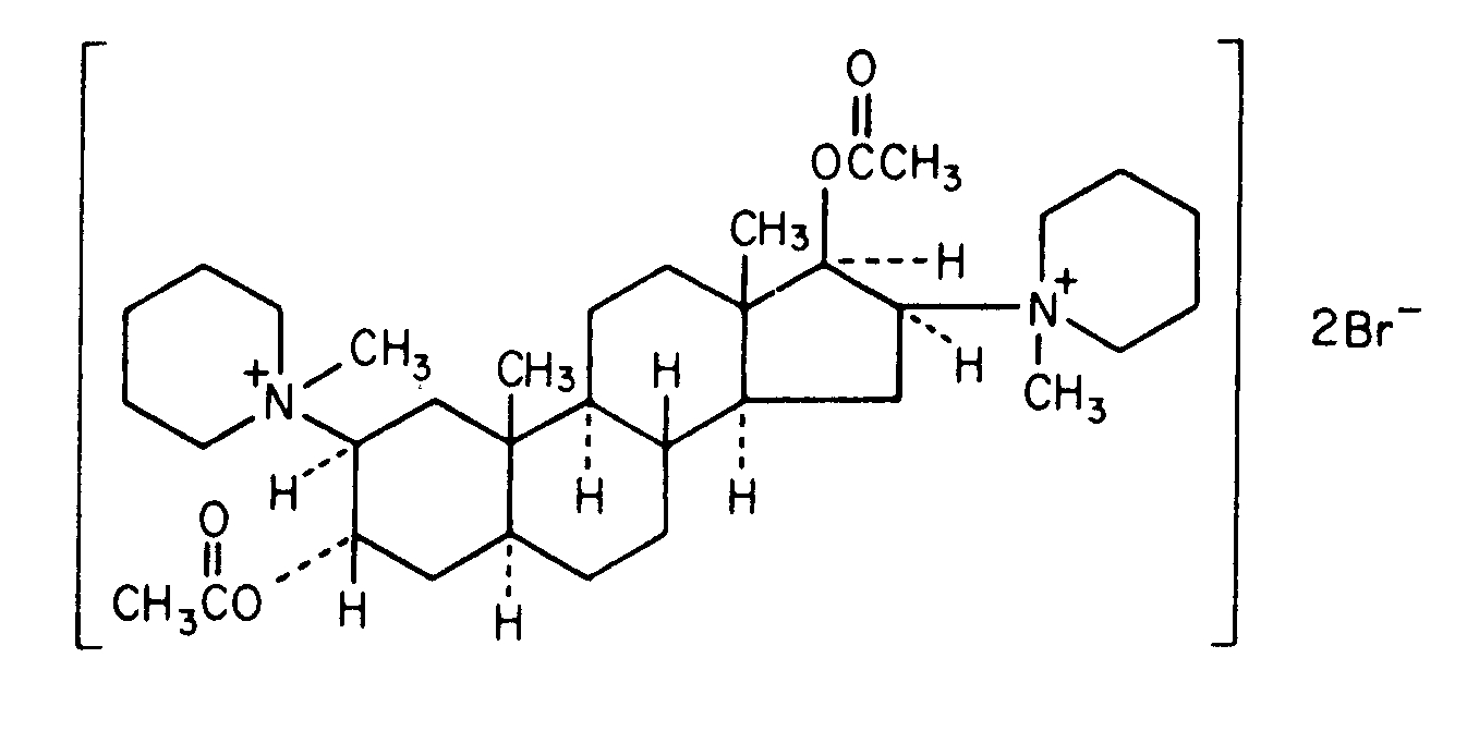
   Kjemisk struktur  

Handelsnavn   Handelsnavn     

Handelsnavn er veiledende og sammensetning av hjelpestoffer kan være forskjellig avhengig av land og produsent

Pancuronium bromide injection Canada, USA
Stabilitet i blandinger   Injeksjon   Stabilitet i blandinger : Pancuronium bromide     
Beholder Oppløsningsmiddel Konsentrasjon Legemiddel Temperatur Oppbevaring Varighet av stabilitet Referanser
Glass Glukose 5 % 0,46 mg/ml
Injeksjon   Pancuronium bromide   
Injeksjon   Milrinone lactate 0,2 mg/ml
22°C-23°C
4 Tid
Lys 813
Bevisgrad A

  Mentions Légales