Última actualização :
18/03/2026
Curarizante   Pancuronium bromide  
injetável
Estabilidade em soluções simples Estabilidade em misturas Factores que afectam a sua estabilidade Compatibilidade Método de administração Bibliografía pdf
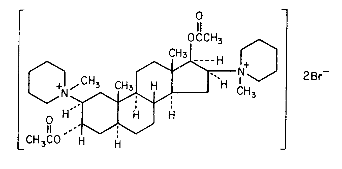
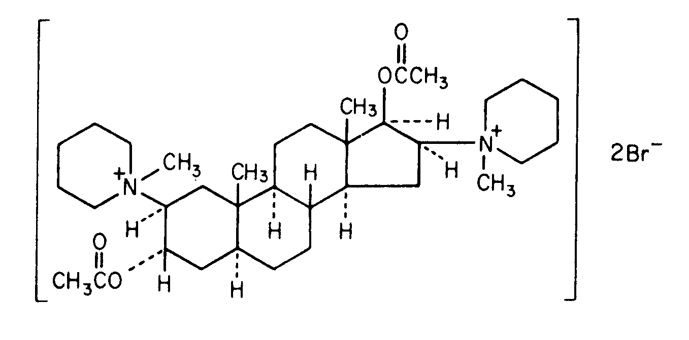
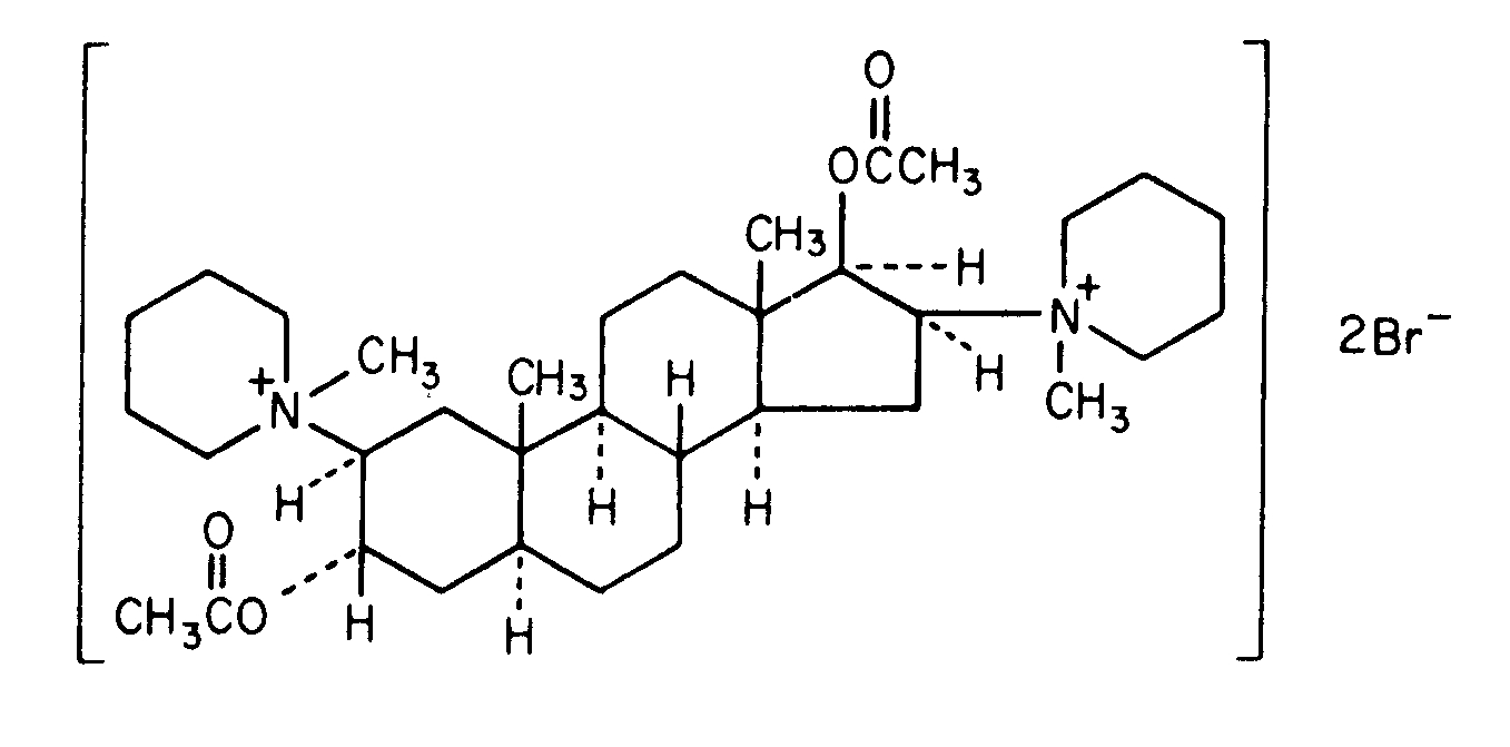
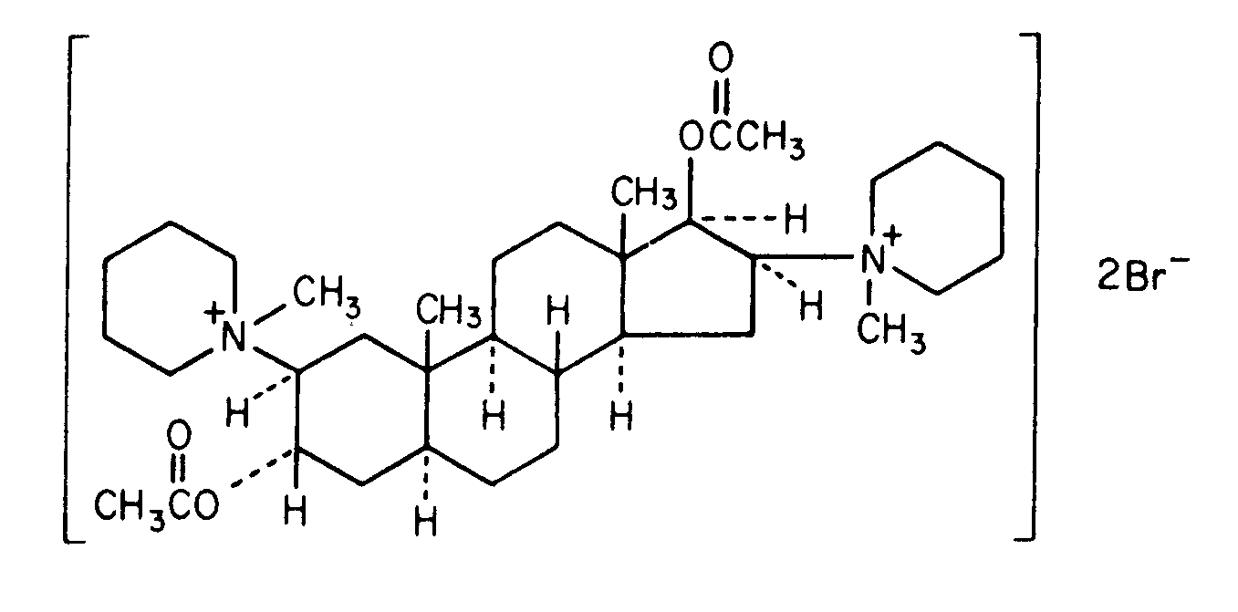
   estrutura química  

Nomes comerciais nos diversos países   Nomes comerciais nos diversos países     

OS NOMES COMERCIAIS SÃO INDICATIVOS E OS EXCIPIENTES DA FORMULAÇÃO PODEM SER DIFERENTES CONFORME O PAÍS E FABRICANTE.

Pancuronium bromide injection Canadá, Estados Unidos de América
Estabilidade em misturas   injetável   Estabilidade em misturas : Pancuronium bromide     
Embalagem Solvente concentração molécula temperatura conservação Duração da estabilidade Bibliografia
vidro Glucose 5% 0,46 mg/ml
injetável   Pancuronium bromide   
injetável   Milrinone lactate 0,2 mg/ml
22°C-23°C
4 hora
luz 813
Nível de evidência A

  Mentions Légales