Ultimo aggiornamento :
27/11/2025
Curarizzante   Pancuronium bromide  
Iniezione
Stabilità in soluzione Stabilità in miscela Fattori che influenzano la stabilità Compatibilità metodo di iniezione Bibliografia pdf
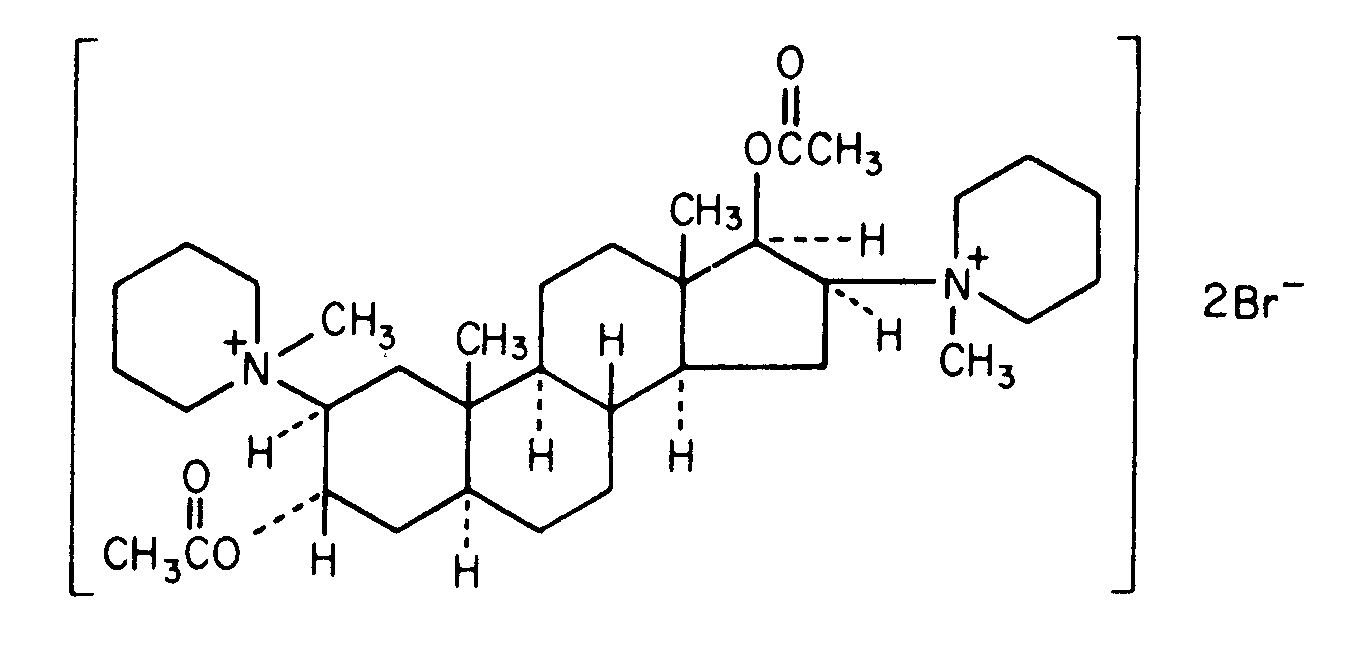
   Struttura chimica  

Nome commerciale   Nome commerciale     

Trade names are indicative and excipients composition can be different depending on the country and manufacturers

Pancuronium bromide injection Canada, Stati Uniti d’America
Stabilità in miscela   Iniezione   Stabilità in miscela : Pancuronium bromide     
contenitore Solvente Concentrazione Molecola Temperatura Conservazione Durata della stabilità Bibliografia
Vetro Glucosio 5% 0,46 mg/ml
Iniezione   Pancuronium bromide   
Iniezione   Milrinone lactate 0,2 mg/ml
22°C-23°C
4 Ora
Luce 813
Livello di evidenza A

  Mentions Légales