最新更新 :
18/03/2026
クラーレ様薬   Pancuronium bromide  
注射薬
溶媒内の安定性 混合時の安定性 安定性に影響する因子 互換性 投与経路 引用文献 PDF
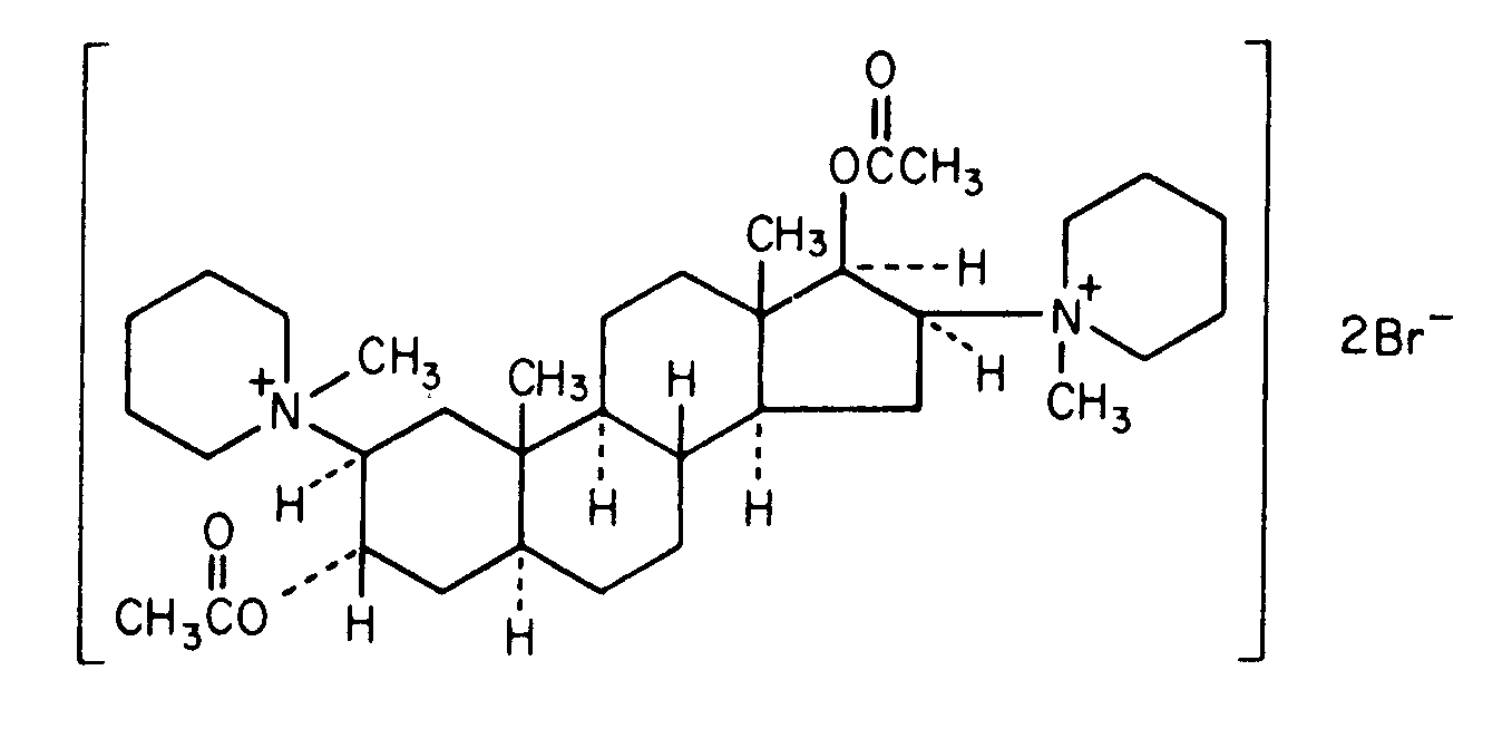
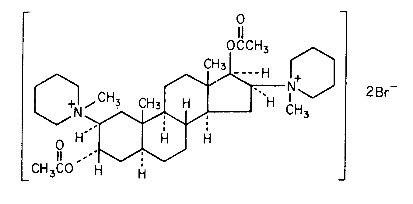
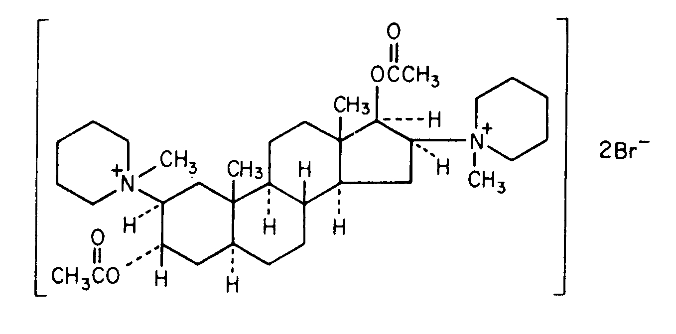
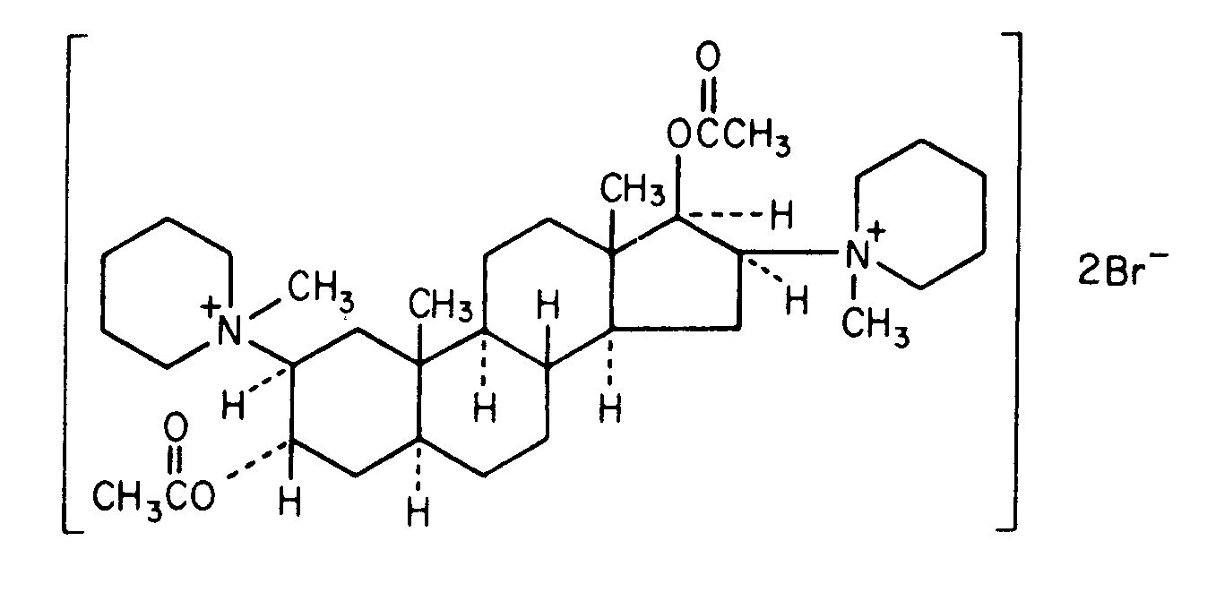
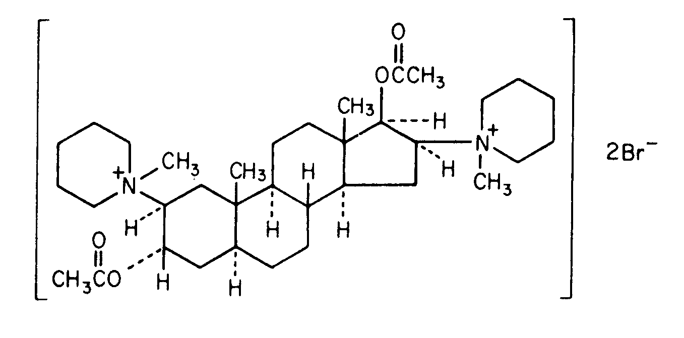
   化学構造  

商品名   商品名     

商品名、賦形剤は国、製薬会社ごとに異なることがあります

Pancuronium bromide injection アメリカ, カナダ
混合時の安定性   注射薬   混合時の安定性 : Pancuronium bromide     
容器 溶媒 濃度 化合物 温度 保管 安定期間 引用文献
ガラス グルコース5% 0,46 mg/ml
注射薬   Pancuronium bromide   
注射薬   Milrinone lactate 0,2 mg/ml
22°C-23°C
4 時間
光 813
エビデンスレベル A

  Mentions Légales