Última actualización :
18/03/2026
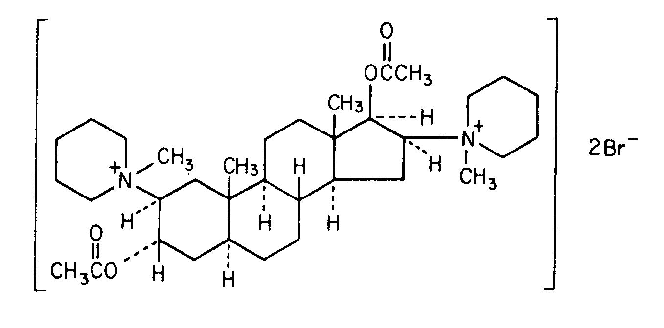
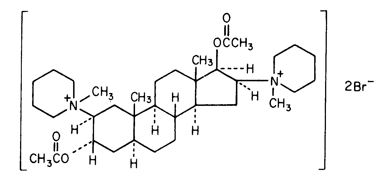
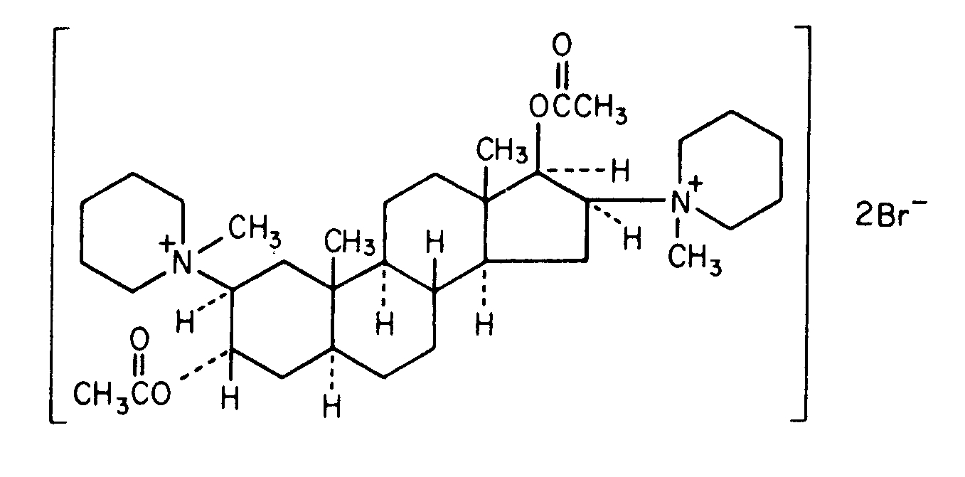
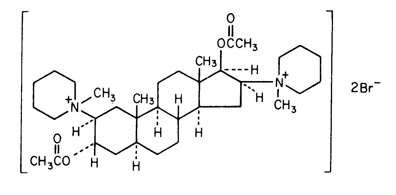
Curarizante   Pancuronium bromide  
Inyectables
Estabilidad en solucion Estabilidad en mezcla Factores que influyen sobre la estabilidad Compatibilidades método de inyección Bibliografía pdf
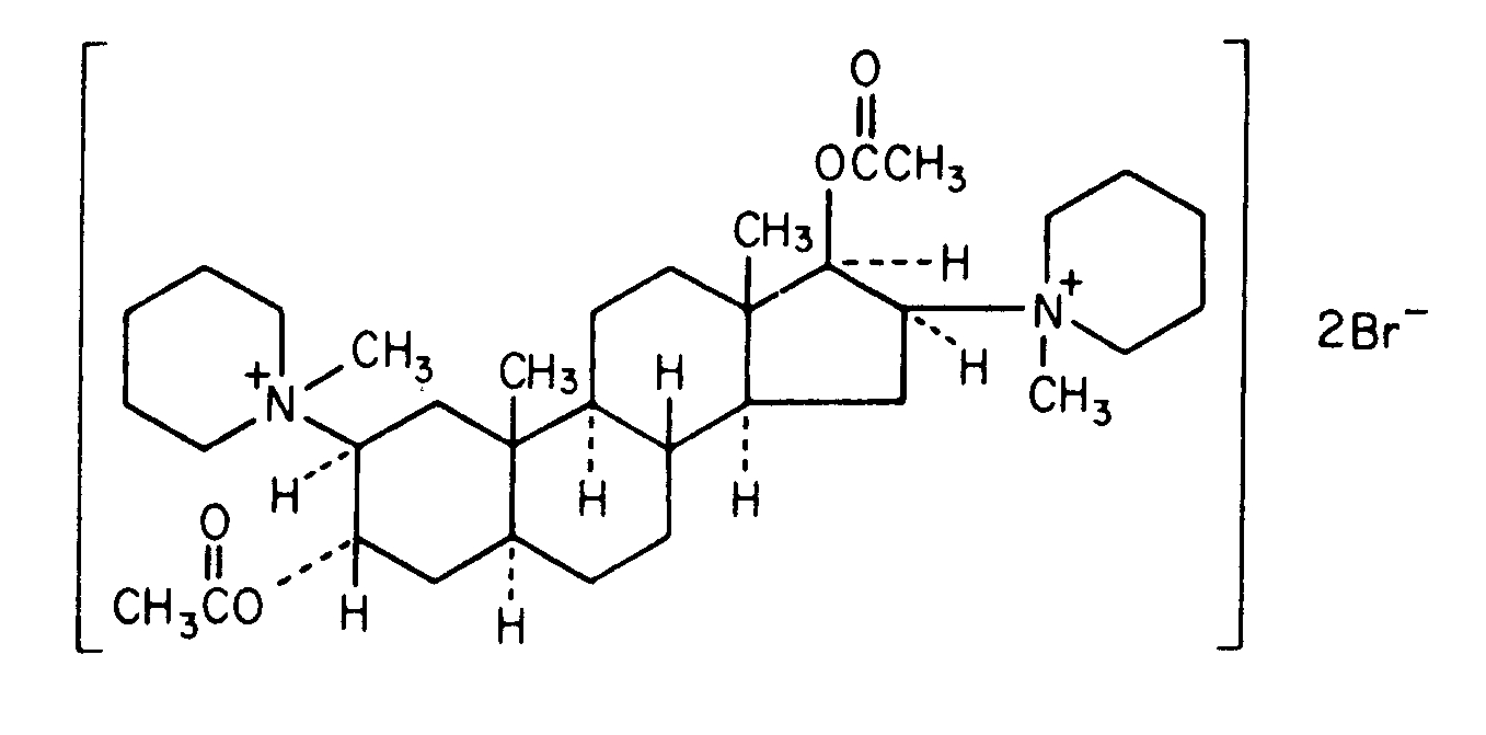
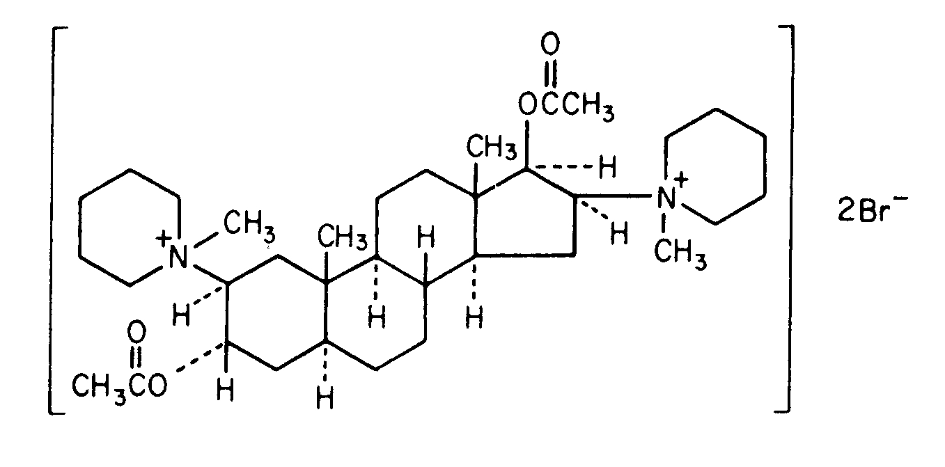
   Estructura química  

Nombre comercial   Nombre comercial     

Los nombres comerciales son orientativos y los excipientes de la formulación pueden ser distintos dependiendo del país y del laboratorio fabricante.

Pancuronium bromide injection Canadá, Estados Unidos de América
Estabilidad en mezcla   Inyectables   Estabilidad en mezcla : Pancuronium bromide     
Envase Solvente Concentración Molécula Temperatura Conservación Duración de la estabilidad Bibliografía
Vidrio Glucosa 5% 0,46 mg/ml
Inyectables   Pancuronium bromide   
Inyectables   Milrinone lactate 0,2 mg/ml
22°C-23°C
4 Hora
Luz 813
Nivel de evidencia A

  Mentions Légales