Последнее обновление :
18/03/2026
Кураримиметик   Pancuronium bromide  
Инъекция
Стабильность растворов Стабильность смесей Факторы, которые влияют на стабильность Совместимость Способы введения Библиография pdf
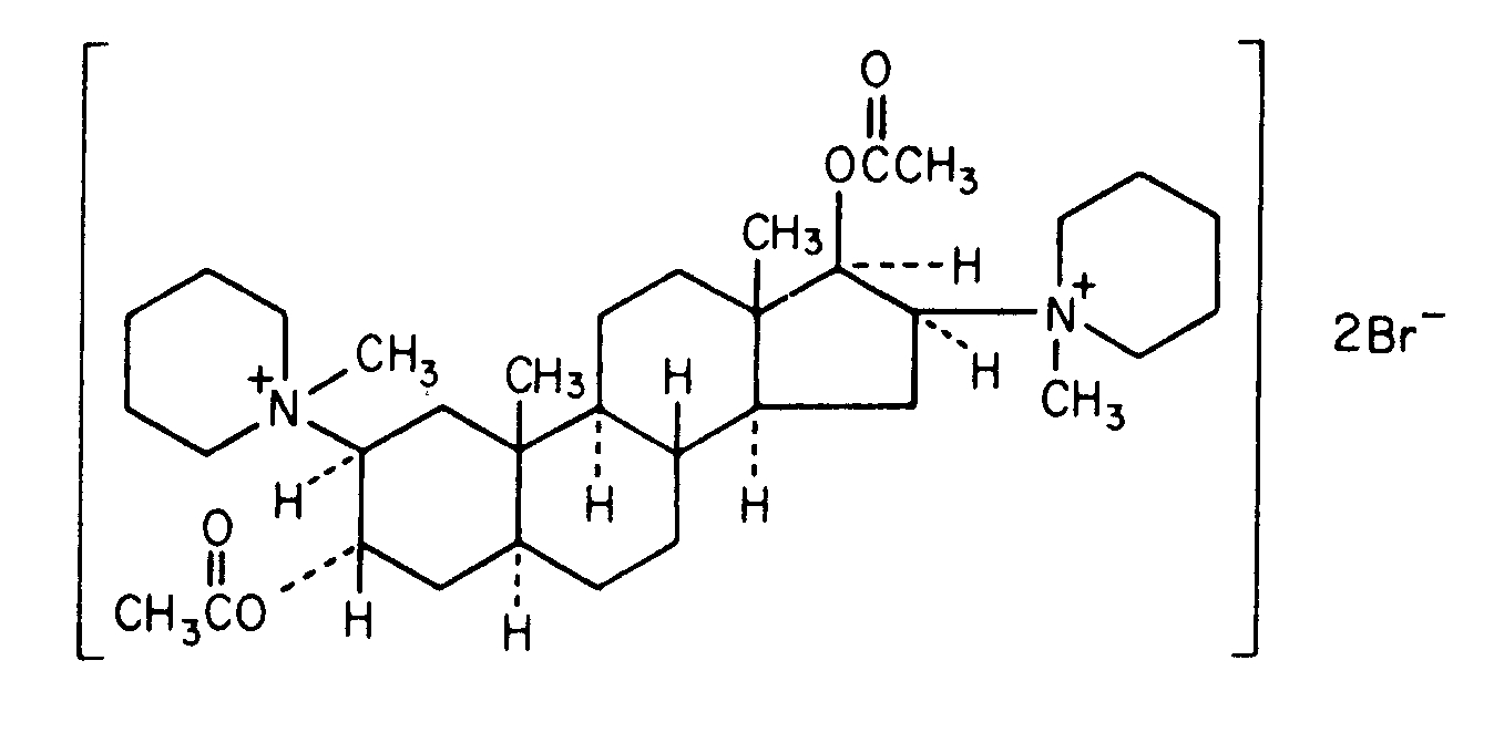
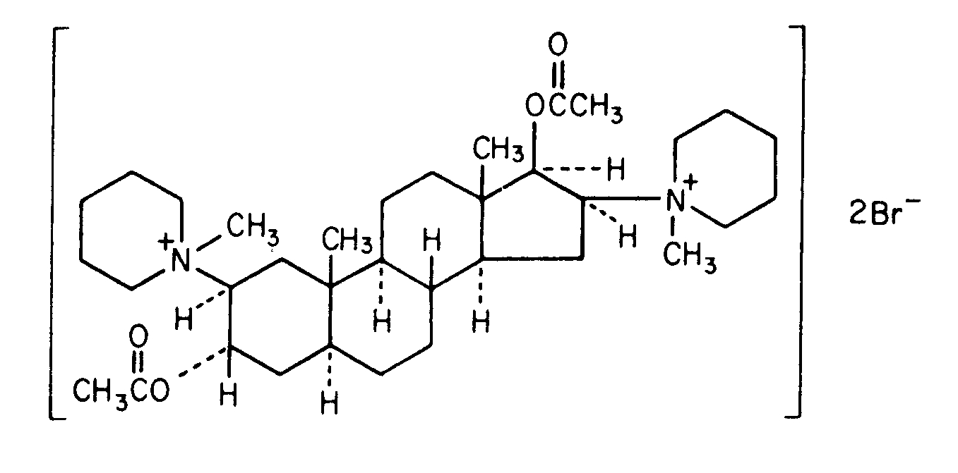
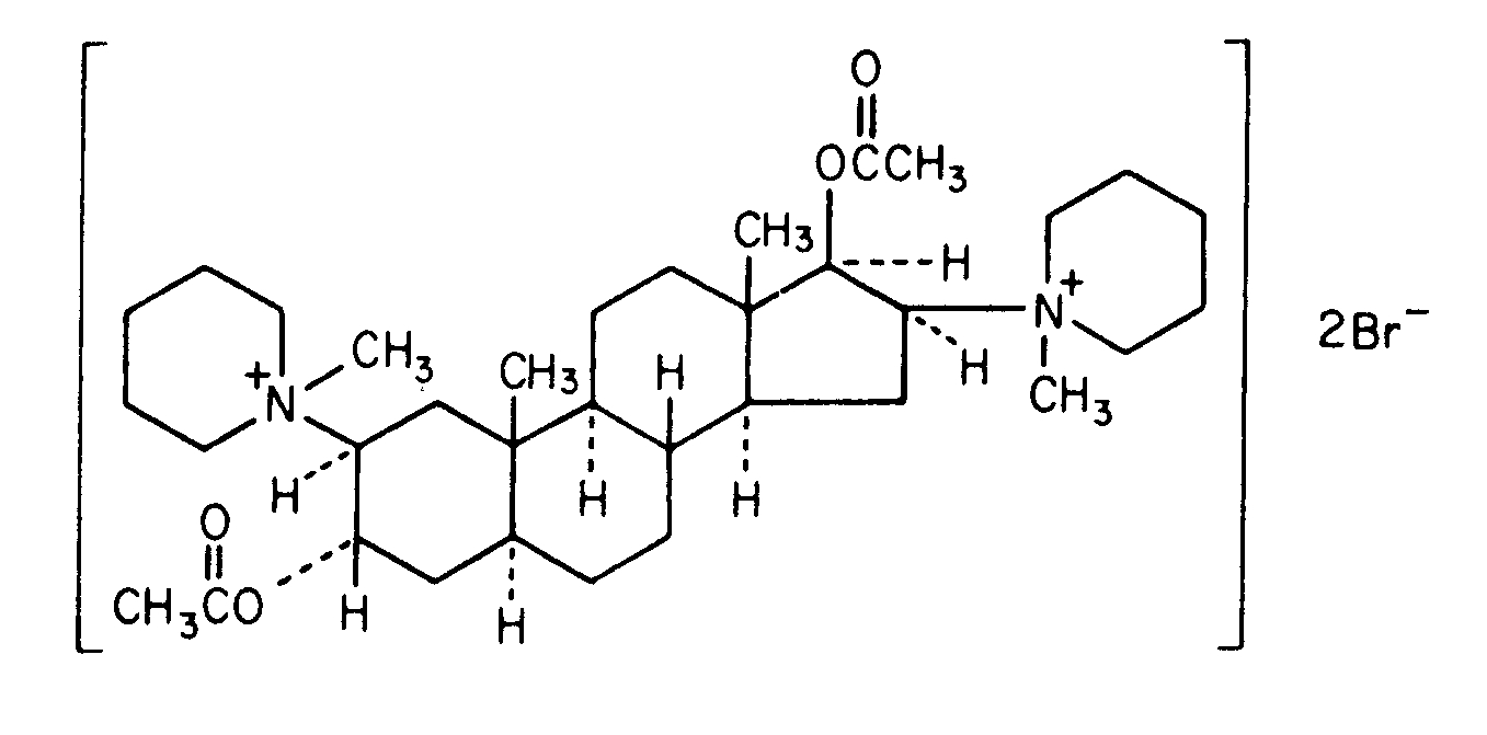
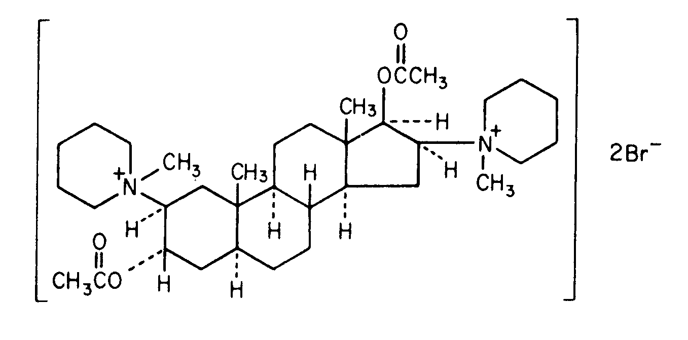
   Химическая структура  

Товарное название   Товарное название     

Trade names are indicative and excipients composition can be different depending on the country and manufacturers

Pancuronium bromide injection Канада, Соединённые Штаты Америки
Стабильность смесей   Инъекция   Стабильность смесей : Pancuronium bromide     
Упаковка Растворитель Концентрация Молекула Температура Хранение Продолжительность стабильности Ссылки
Стекло Глюкоза 5% 0,46 mg/ml
Инъекция   Pancuronium bromide   
Инъекция   Milrinone lactate 0,2 mg/ml
22°C-23°C
4 Час
Свет 813
Уровень доказательности A

  Mentions Légales