Последно актуализиране :
27/11/2025
Кураре-миметик   Pancuronium bromide  
Инжекция/Инжекционен
Стабилност на разтвори Стабилност на смеси Фактори, повлияващи стабилността Съвместимост Път на въвеждане Библиография Pdf
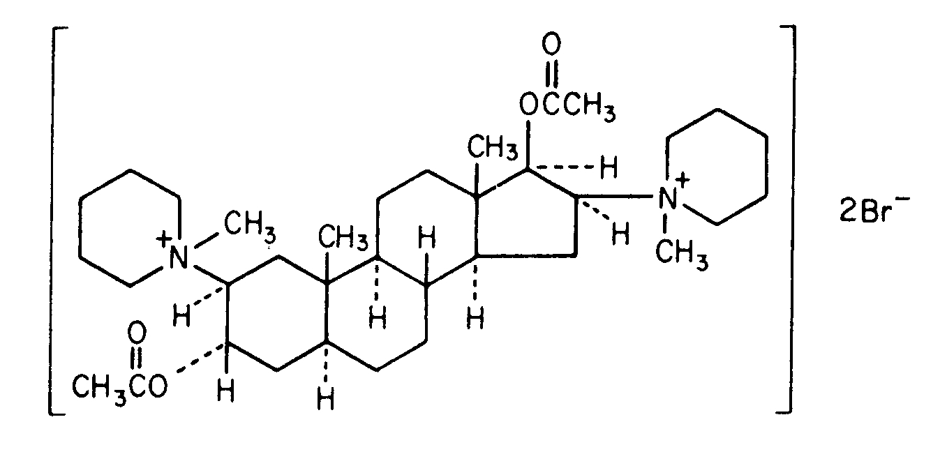
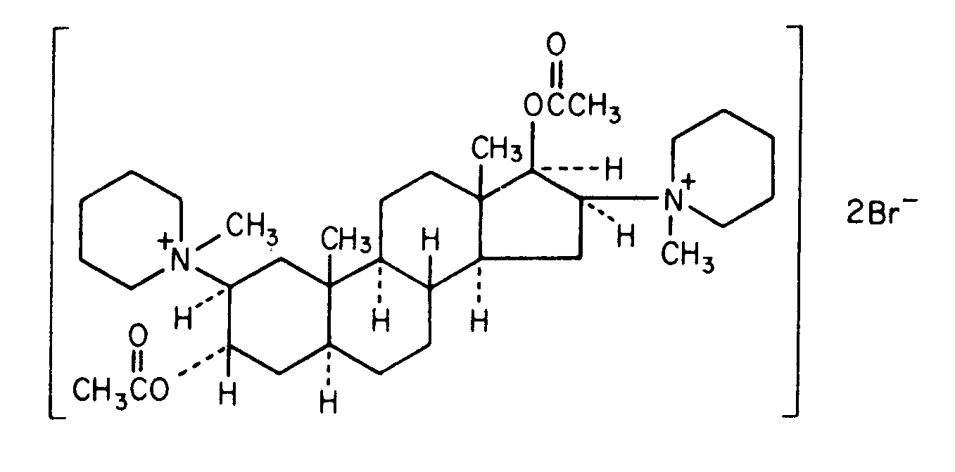
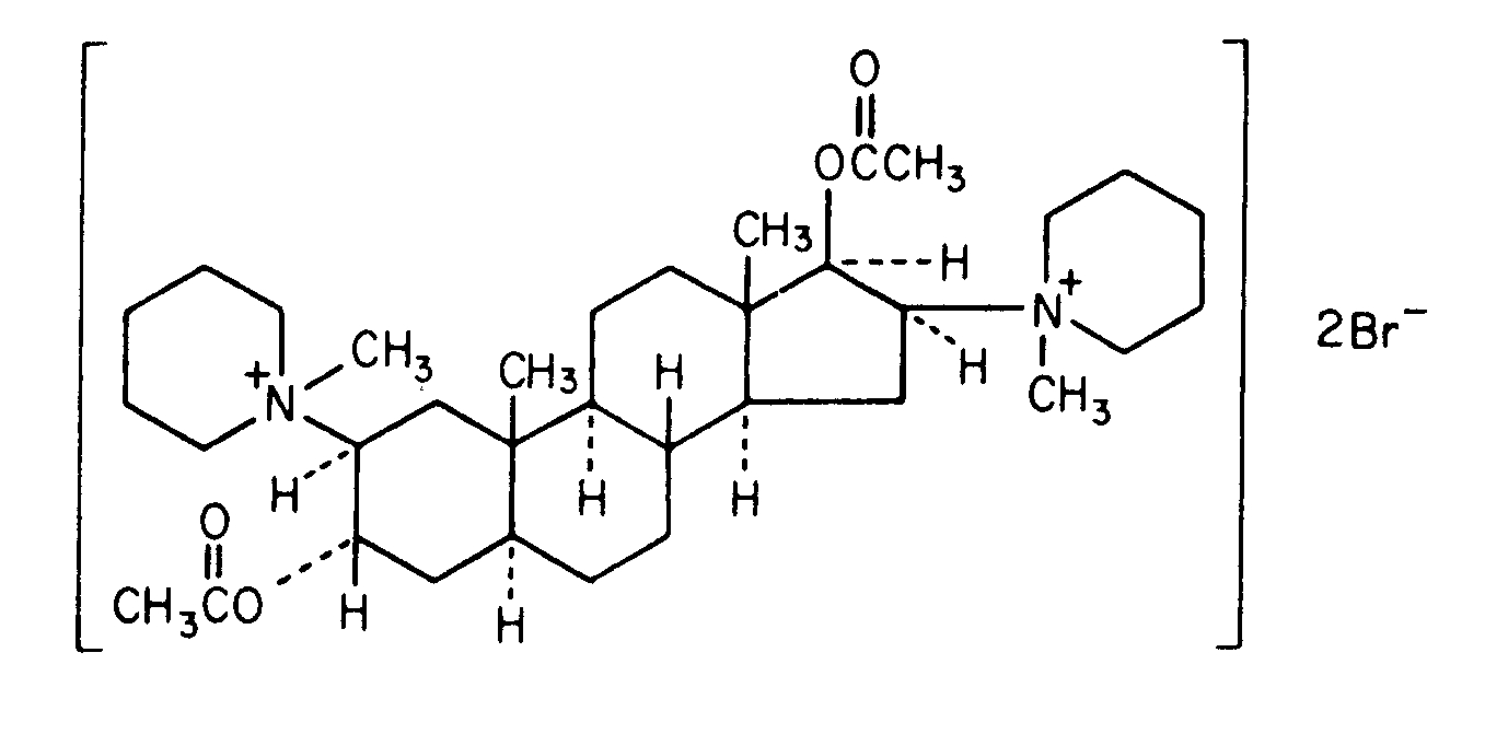
   Химична структура  

Търговско наименование   Търговско наименование     

Търговските имена са примерни и съставът на помощните вещества може да бъде различен в зависимост от държавата и лабораториите

Pancuronium bromide injection Канада, Съединени Американски щати / САЩ
Стабилност на смеси   Инжекция/Инжекционен   Стабилност на смеси : Pancuronium bromide     
Контейнер Разтворител Концентрация Състав / молекула Температура Съхранение Продължителност на стабилността Библиография
Стъкло Glucose 5% 0,46 mg/ml
Инжекция/Инжекционен   Pancuronium bromide   
Инжекция/Инжекционен   Milrinone lactate 0,2 mg/ml
22°C-23°C
4 Час
Светлина 813
Степен на доказаност A

  Mentions Légales