Viimeisin päivitys :
18/03/2026
Lihasrelaksantit   Pancuronium bromide  
Injektioneste
Stabilius liuoksessa Stabilius seoksissa Tekijät, jotka vaikuttavat stabiliuteen Yhteensopivuus Antotapa Viitteet pdf
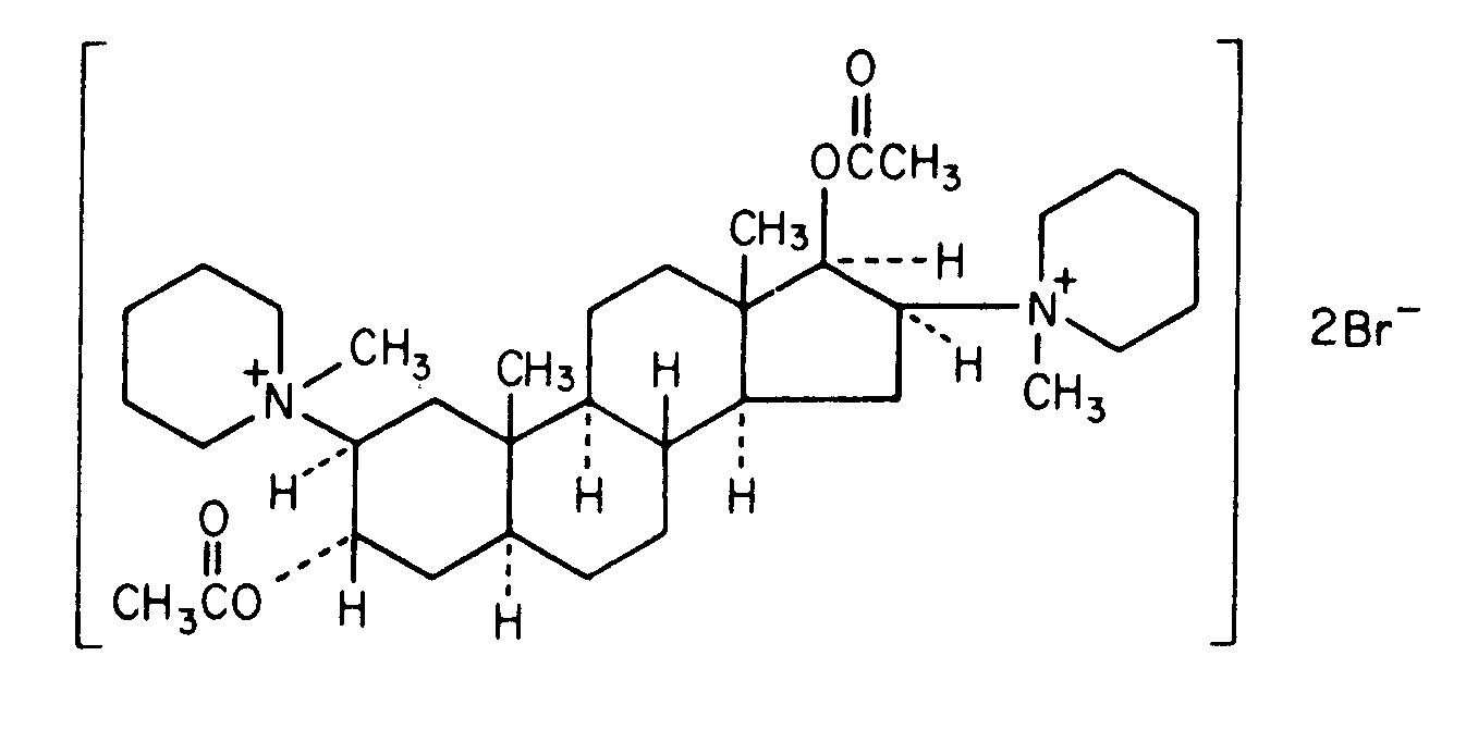
   Kemiallinen rakenne  

Kauppanimi   Kauppanimi     

Trade names are indicative and excipients composition can be different depending on the country and manufacturers

Pancuronium bromide injection Kanada, Yhdysvallat
Stabilius seoksissa   Injektioneste   Stabilius seoksissa : Pancuronium bromide     
Astia Liuotin Konsentraatio Yhdiste Lämpötila Säilytys Vakauden kesto Viitteet
Lasi Glukoosi 5% 0,46 mg/ml
Injektioneste   Pancuronium bromide   
Injektioneste   Milrinone lactate 0,2 mg/ml
22°C-23°C
4 tunti
Valo 813
Näytön laajuus A

  Mentions Légales