Poslední aktualizace :
18/03/2026
Kurarimimetikas   Pancuronium bromide  
Įpurškimas
Tirpalų stabilumas Mišinių stabilumas Stabilumą lemiantys veiksniai Suderinamumas Leidimo būdai Bibliografija pdf
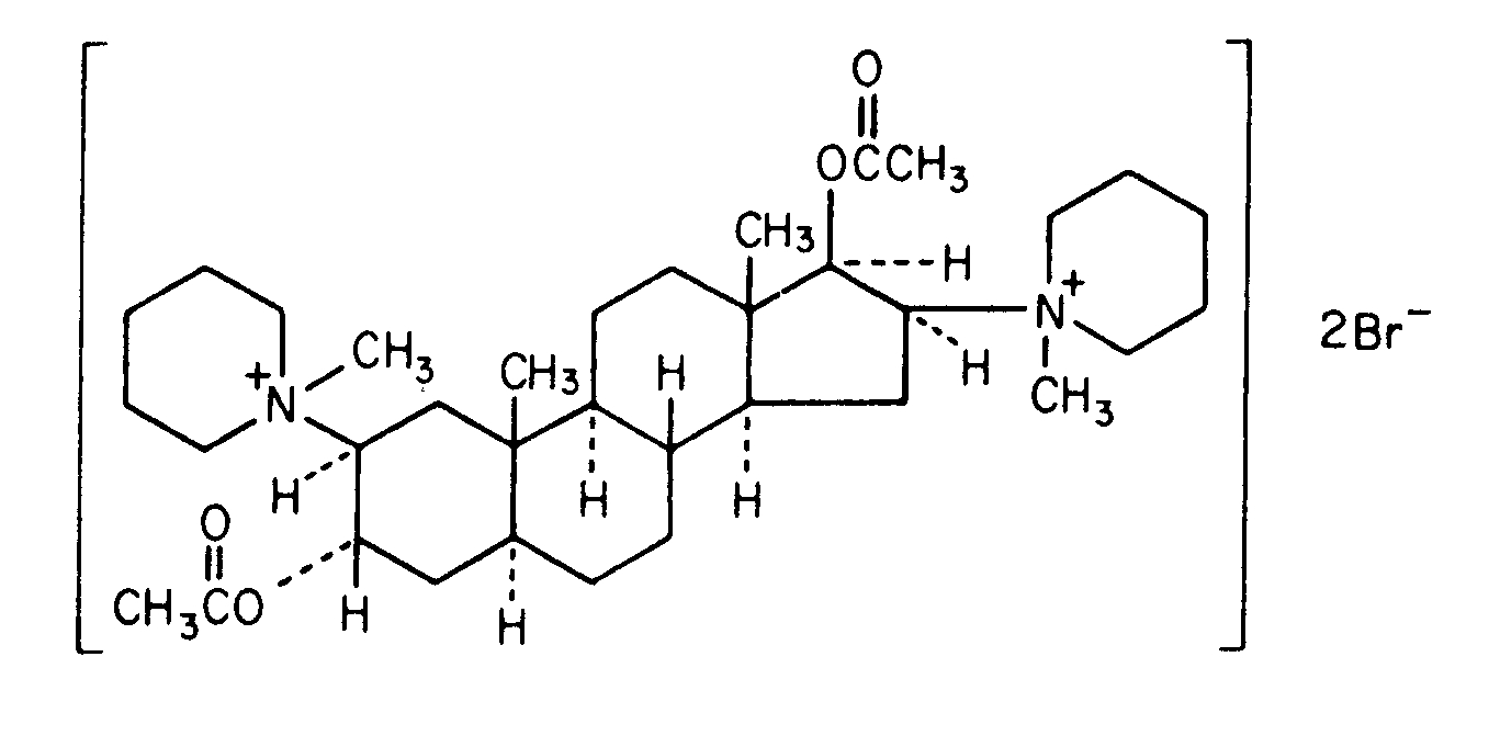
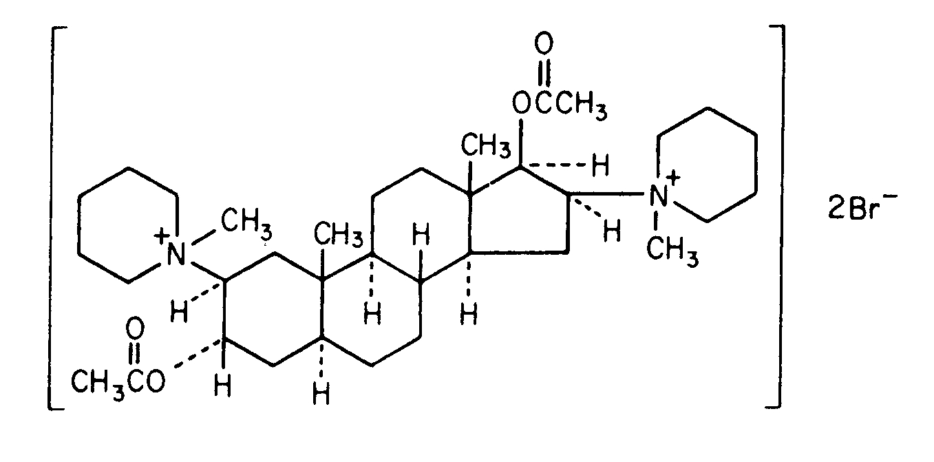
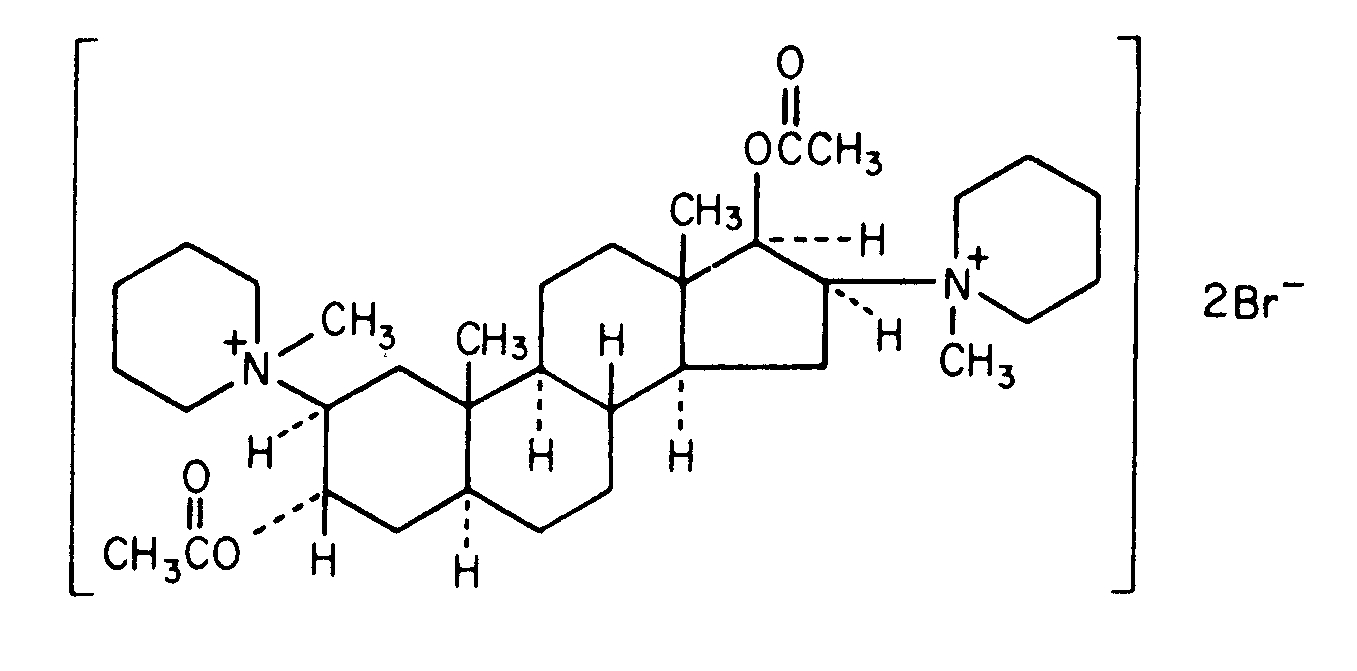
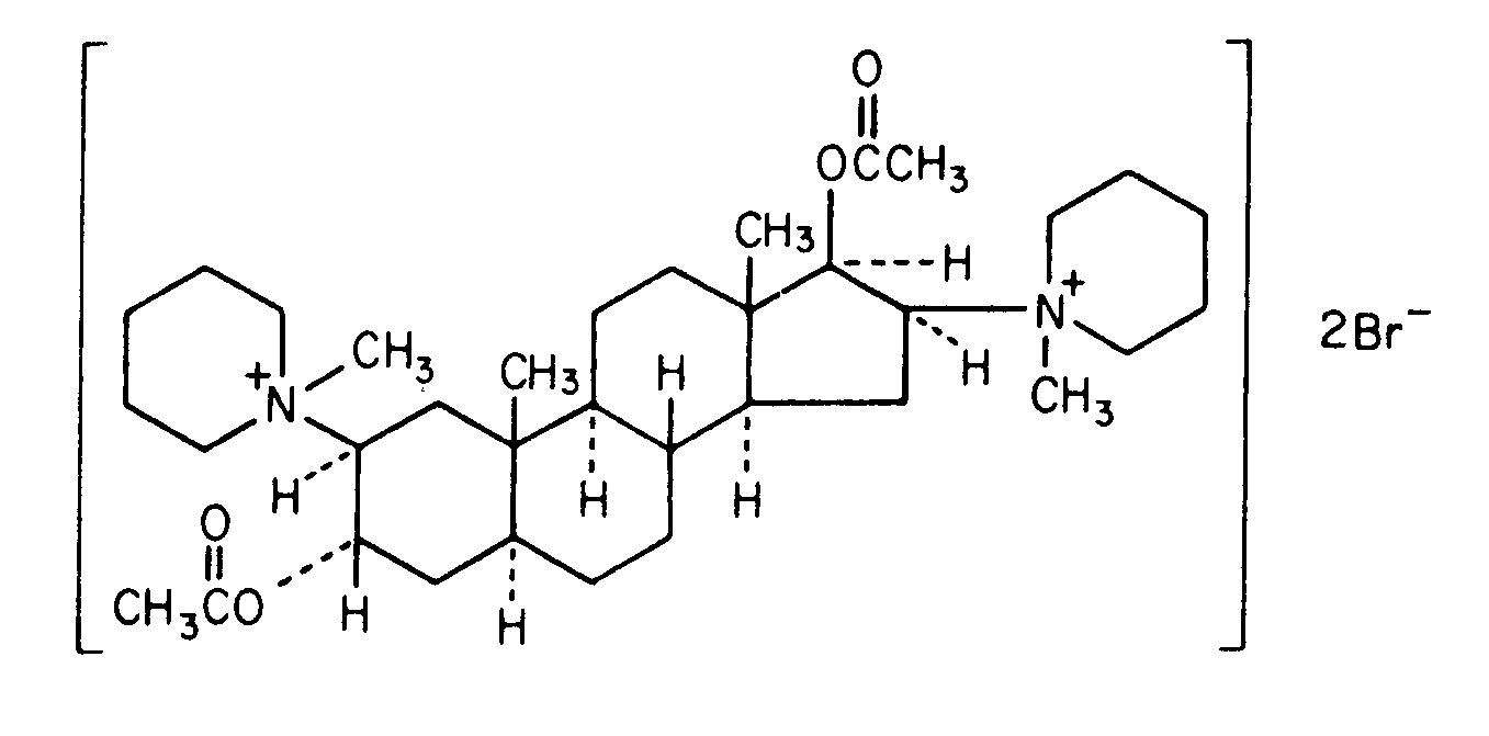
   Cheminė sandara  

Prekinis pavadinimas   Prekinis pavadinimas     

Trade names are indicative and excipients composition can be different depending on the country and manufacturers

Pancuronium bromide injection Jungtinės Amerikos Valstijos, Kanada
Mišinių stabilumas   Įpurškimas   Mišinių stabilumas : Pancuronium bromide     
Pakuotė Tirpiklis Koncentracija Molekulė Temperatūra Laikymas Stabilumo trukmė Nuorodos
Stiklas Gliukozė 5% 0,46 mg/ml
Įpurškimas   Pancuronium bromide   
Įpurškimas   Milrinone lactate 0,2 mg/ml
22°C-23°C
4 Valanda
Šviesa 813
Bandymo lygis A

  Mentions Légales