Seneste opdatering :
18/03/2026
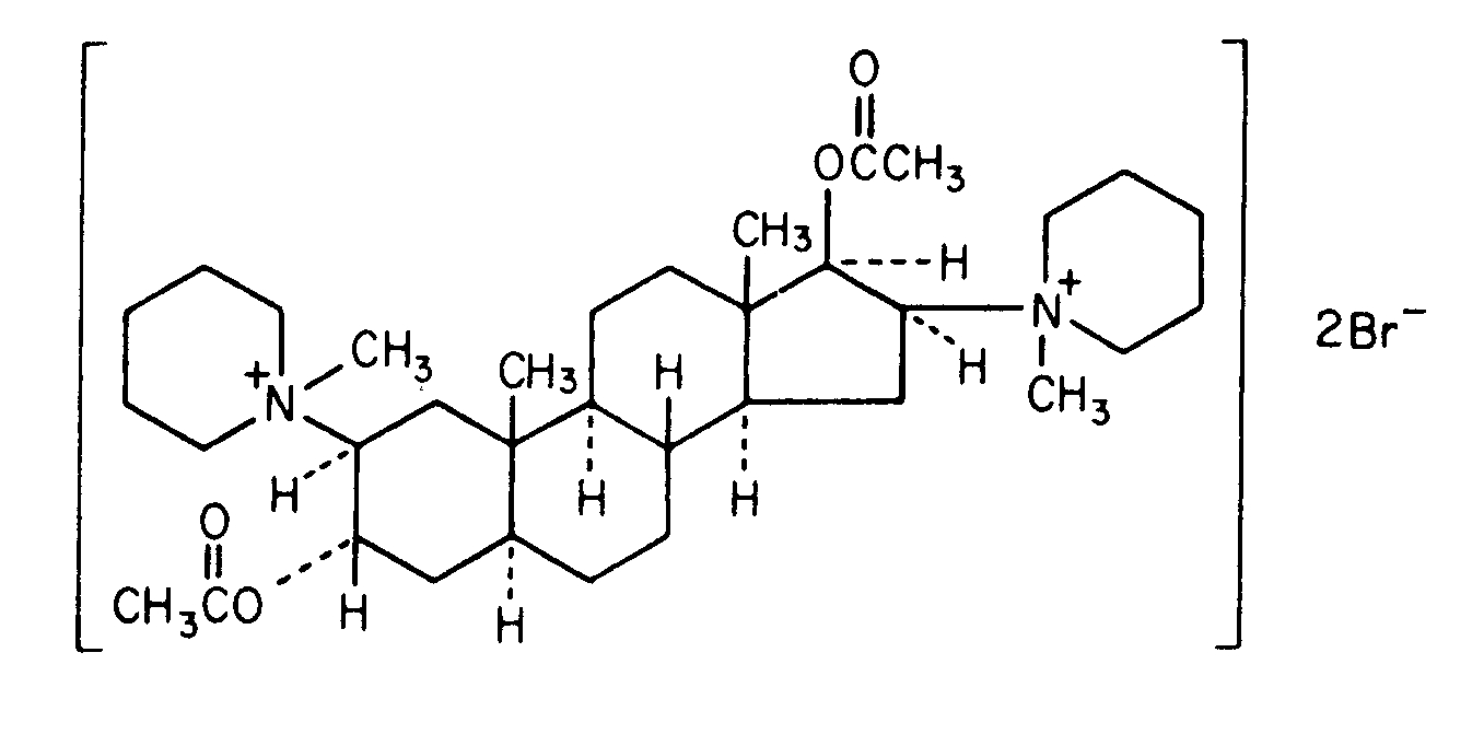
Curamimetisk   Pancuronium bromide  
Injektion
Stabilitet i (vandige) opløsninger Stabilitet i blandinger Faktorer der påvirker stabiliteten Kompatibilitet Administrationsvej Bibliografi pdf
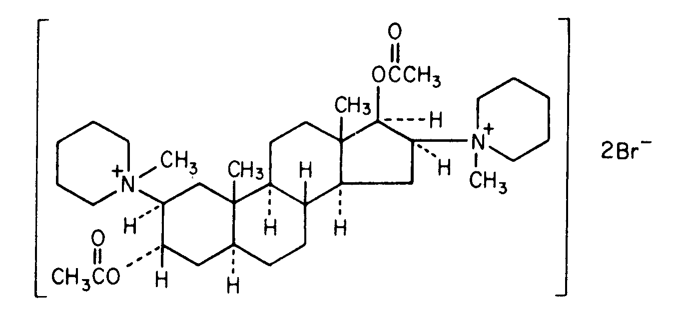
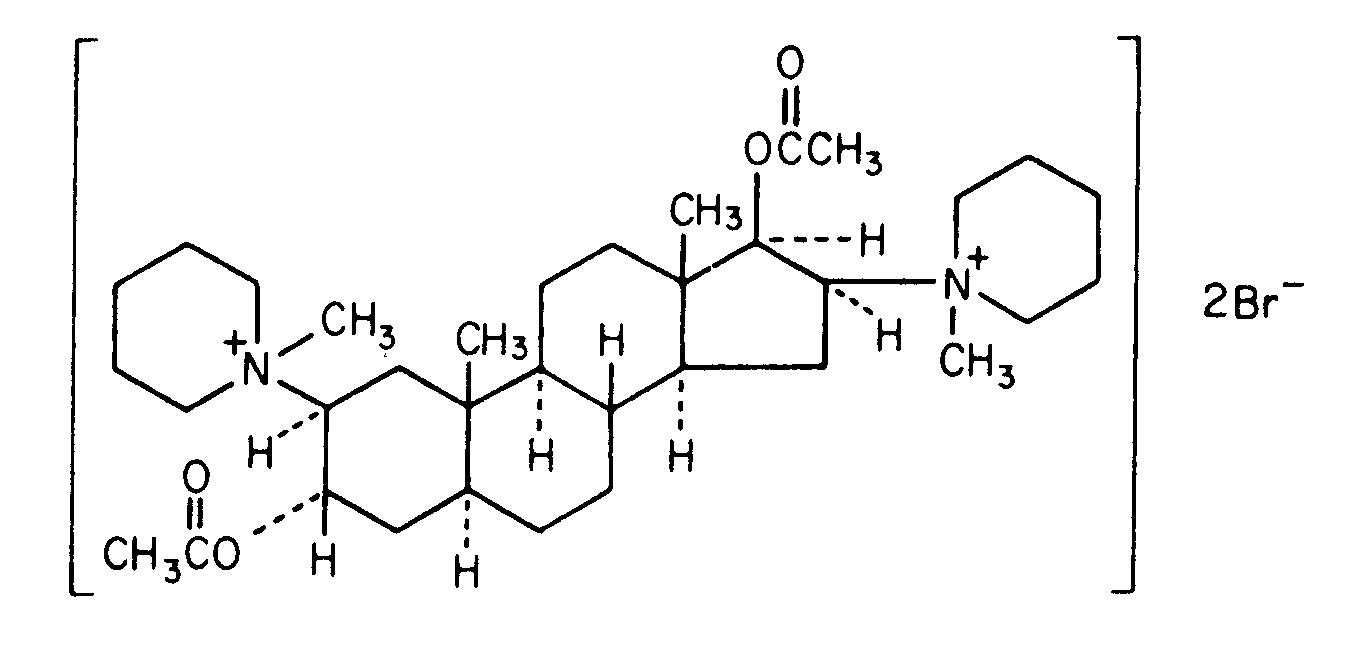
   Kemisk struktur  

Handelsnavn   Handelsnavn     

Handel navne er vejledende og hjælpestoffer sammensætning kan være forskellig afhængigt af landet og laboratorier

Pancuronium bromide injection Canada, USA
Stabilitet i blandinger   Injektion   Stabilitet i blandinger : Pancuronium bromide     
Beholder Opløsningsmiddel Koncentration Molekyle Temperatur Konservering Varighed af stabilitet Bibliografi
Glas 5 % Glukose 0,46 mg/ml
Injektion   Pancuronium bromide   
Injektion   Milrinone lactate 0,2 mg/ml
22°C-23°C
4 Time
Lys 813
Level af bevismateriale A

  Mentions Légales