Letztes “update” :
27/11/2025
Durch Curarin narkotisierend   Pancuronium bromide  
Injektion
Stabilität der Lösung Gemengestabilität Stabilitätbeeinflussende Faktoren Kompatibilitäten Applikationsart Literaturverzeichnis pdf
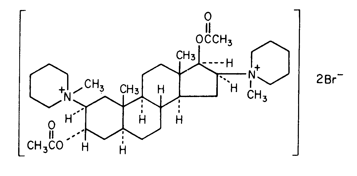
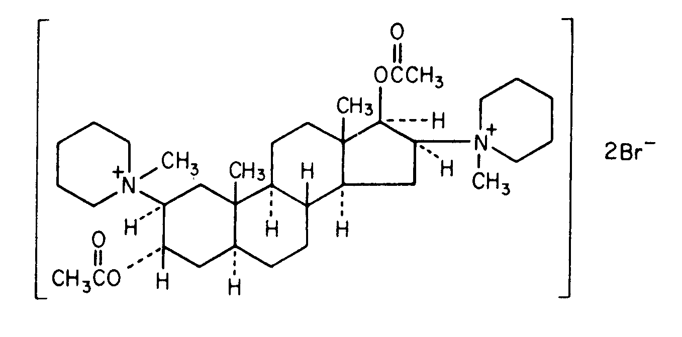
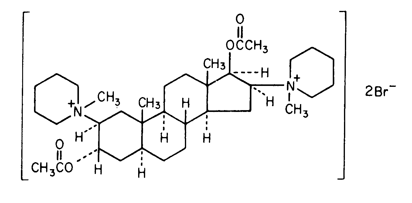
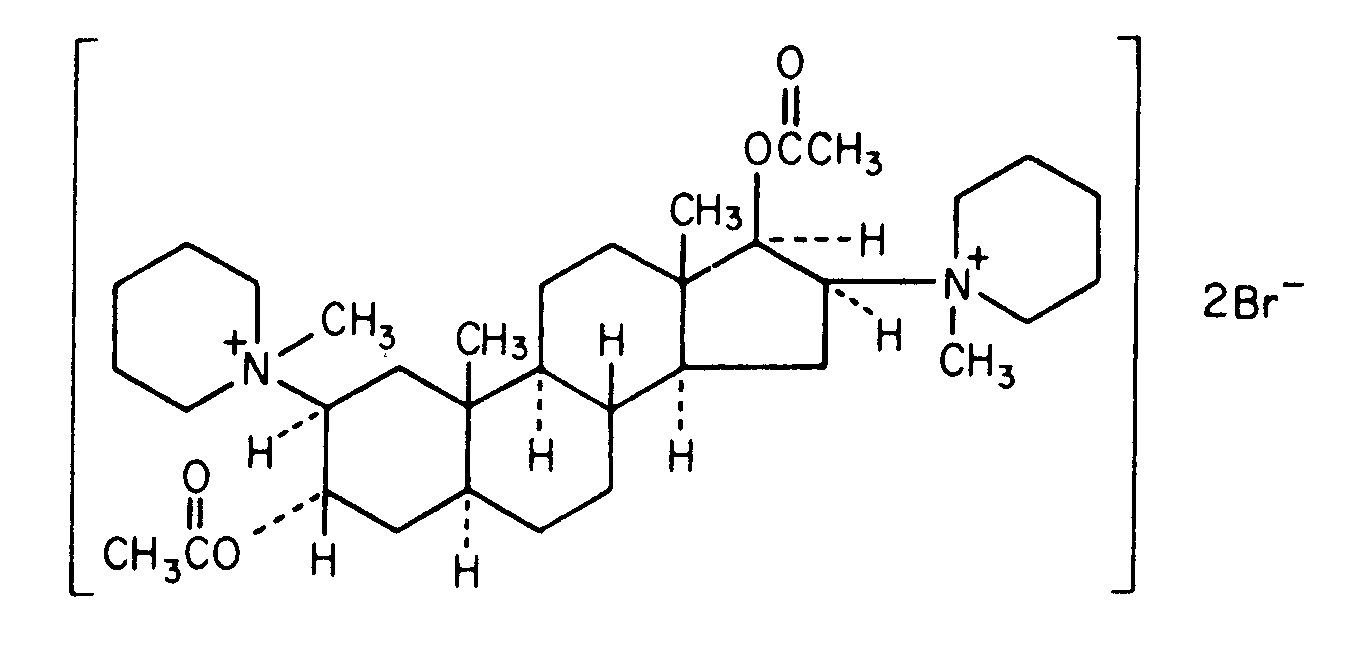
   Chemische Struktur  

Handelsmarke   Handelsmarke     

Handelsnamen sind als beispielhaft anzusehen. Sonstige Bestandteile können je nach Hersteller oder Land verschieden sein

Pancuronium bromide injection Kanada, Vereinigte Staaten von Amerika
Gemengestabilität   Injektion   Gemengestabilität : Pancuronium bromide     
Behälter Lösungsmittel Konzentration Molekül Temperatur Konservierung Dauer der Stabilität Literaturverzeichnis
Glas 5% Glucose 0,46 mg/ml
Injektion   Pancuronium bromide   
Injektion   Milrinone lactate 0,2 mg/ml
22°C-23°C
4 Stunde
Licht 813
Evidenzgrad A

  Mentions Légales