Останнє оновлення :
18/03/2026
Антибіотик   Gentamicin sulfate  
ін'єкція
Очні краплі
Стійкість в розчинах Стійкість сумішей Фактори, що впливають на стабільність Сумісність Шлях введення Список літератури pdf
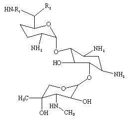
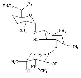
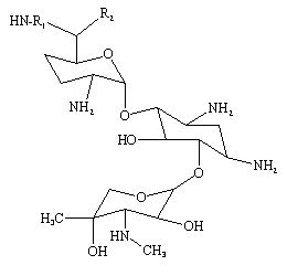
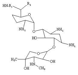
   Хімічна структура  

Торгова назва   Торгова назва     

Торгові назви є орієнтовними, а склад допоміжних речовин може бути різним залежно від країни та виробника

Azupel Перу
Cidomycin Єгипет, Великобританія, Туніс
Dabroson Греція
Epigent Єгипет
Garalone Португалія
Garamicina Бразилія, Еквадор, Колумбія, Мексика
Garamycin Єгипет, Індія, Греція, Данія, Нідерланди, Норвегія, Об'єднані Арабські Емірати, Польща, Хорватія, Швейцарія
Genmisin Туреччина
Gensif Туреччина
Gensumycin Норвегія, Фінляндія, Швеція
Genta-Gobens Іспанія
Gentalline Марокко
Gentamen Марокко
Genticin Ірландія, Великобританія, Об'єднані Арабські Емірати
Gentreks Туреччина
Hexamycin Данія
Plurisemina Аргентина
Refobacin Єгипет, Австрія, Колумбія, Німеччина
Rupegen Аргентина
Стійкість сумішей   ін'єкція   Стійкість сумішей : Gentamicin sulfate     
Контейнер Розчинник Концентрація З'єднання температура Зберігання Тривалість стабільності Список літератури
скло Натрію хлорид 0,9% 0,75 mg/ml
ін'єкція   Gentamicin sulfate   
ін'єкція   Granisetron hydrochloride 0,5 mg/ml
20°C-23°C
4 годину
світло 57
Рівень доказовості А+
скло Натрію хлорид 0,9% 1 mg/ml
ін'єкція   Gentamicin sulfate   
ін'єкція   Cefpirome sulfate 50 mg/ml
23°C
8 годину
світло 280
Рівень доказовості B+
скло Натрію хлорид 0,9% 0,8 mg/ml
ін'єкція   Gentamicin sulfate   
ін'єкція   Cefazolin sodium 10 mg/ml
ін'єкція   Clindamycin phosphate 9 mg/ml
25°C
12 годину
світло 695
Джокер
скло Глюкоза 5% 1 mg/ml
ін'єкція   Gentamicin sulfate   
ін'єкція   Cefpirome sulfate 50 mg/ml
23°C
8 годину
світло 280
Рівень доказовості B+
скло Глюкоза 5% 0,32 mg/ml
ін'єкція   Gentamicin sulfate   
ін'єкція   Dopamine hydrochloride 0,8 mg/ml
23°C-25°C
24 годину
світло 738
Джокер
скло Глюкоза 5% 0,8 mg/ml
ін'єкція   Gentamicin sulfate   
ін'єкція   Cefazolin sodium 10 mg/ml
ін'єкція   Clindamycin phosphate 9 mg/ml
25°C
1 годину
світло 695
Джокер
скло Глюкоза 5% 3,2 mg/ml
ін'єкція   Gentamicin sulfate   
ін'єкція   Filgrastim 40 µg/ml
25°C
4 годину
Не визначено 104
Рівень доказовості B
скло Глюкоза 5% 5.26 mg/ml
ін'єкція   Gentamicin sulfate   
ін'єкція   Palonosetron hydrochloride 26.7 µg/ml
25°C
4 годину
Не визначено 2228
Рівень доказовості А+
скло Розчин лактату Рінгера 1 mg/ml
ін'єкція   Gentamicin sulfate   
ін'єкція   Cefpirome sulfate 50 mg/ml
23°C
8 годину
світло 280
Рівень доказовості B+
скло Натрію хлорид 0,45% 1 mg/ml
ін'єкція   Gentamicin sulfate   
ін'єкція   Cefpirome sulfate 50 mg/ml
23°C
8 годину
світло 280
Рівень доказовості B+
скло Жодного 0,8 mg/ml
ін'єкція   Gentamicin sulfate   
ін'єкція   Ofloxacin 2 mg/ml
25°C
48 годину
Не визначено 889
Рівень доказовості D
Полівініл хлорид Натрію хлорид 0,9% 1,2 mg/ml
ін'єкція   Gentamicin sulfate   
ін'єкція   Clindamycin phosphate 9 mg/ml
-20°C
28 День
Берегти від світла 565
Рівень доказовості D
Полівініл хлорид Натрію хлорид 0,9% 1 mg/ml
ін'єкція   Gentamicin sulfate   
ін'єкція   Ciprofloxacin lactate 1,5 mg/ml
25°C
48 годину
світло 434
Полівініл хлорид Натрію хлорид 0,9% 0,2 & 0,8 mg/ml
ін'єкція   Gentamicin sulfate   
ін'єкція   Aztreonam 10 & 20 mg/ml
25°C
8 годину
Не визначено 19
Рівень доказовості D
Полівініл хлорид Натрію хлорид 0,9% 0,2 & 0,8 mg/ml
ін'єкція   Gentamicin sulfate   
ін'єкція   Aztreonam 10 & 20 mg/ml
4°C
24 годину
Берегти від світла 19
Рівень доказовості D
Полівініл хлорид Натрію хлорид 0,9% 1 mg/ml
ін'єкція   Gentamicin sulfate   
ін'єкція   Ciprofloxacin lactate 1,5 mg/ml
4°C
48 годину
Берегти від світла 434
Полівініл хлорид Глюкоза 5% 1,2 mg/ml
ін'єкція   Gentamicin sulfate   
ін'єкція   Clindamycin phosphate 9 mg/ml
-20°C
28 День
Берегти від світла 565
Рівень доказовості D
Полівініл хлорид Глюкоза 5% 5 mg/ml
ін'єкція   Gentamicin sulfate   
ін'єкція   Clindamycin phosphate 6 mg/ml
25°C
24 годину
світло 423
Рівень доказовості D
Полівініл хлорид Глюкоза 5% 1 mg/ml
ін'єкція   Gentamicin sulfate   
ін'єкція   Ciprofloxacin lactate 1,5 mg/ml
25°C
48 годину
світло 434
Полівініл хлорид Глюкоза 5% 0,2 & 0,8 mg/ml
ін'єкція   Gentamicin sulfate   
ін'єкція   Aztreonam 10 & 20 mg/ml
25°C
8 годину
Не визначено 19
Рівень доказовості D
Полівініл хлорид Глюкоза 5% 0,2 & 0,8 mg/ml
ін'єкція   Gentamicin sulfate   
ін'єкція   Aztreonam 10 & 20 mg/ml
4°C
24 годину
Берегти від світла 19
Рівень доказовості D
Полівініл хлорид Глюкоза 5% 1 mg/ml
ін'єкція   Gentamicin sulfate   
ін'єкція   Ciprofloxacin lactate 1,5 mg/ml
4°C
48 годину
Берегти від світла 434
Полівініл хлорид Extraneal® (Baxter) 0,02 mg/ml
ін'єкція   Gentamicin sulfate   
ін'єкція   Cefazolin sodium 0,5 mg/ml
25°C
4 День
Берегти від світла 3888
Рівень доказовості D
Полівініл хлорид Extraneal® (Baxter) 0,02 mg/ml
ін'єкція   Gentamicin sulfate   
ін'єкція   Vancomycin hydrochloride 1 mg/ml
25°C
14 День
Берегти від світла 3888
Рівень доказовості D
Полівініл хлорид Extraneal® (Baxter) 0,02 mg/ml
ін'єкція   Gentamicin sulfate   
ін'єкція   Vancomycin hydrochloride 1 mg/ml
37°C
4 День
Берегти від світла 3888
Рівень доказовості D
Полівініл хлорид Extraneal® (Baxter) 0,02 mg/ml
ін'єкція   Gentamicin sulfate   
ін'єкція   Cefazolin sodium 0,5 mg/ml
37°C
24 годину
Берегти від світла 3888
Рівень доказовості D
Полівініл хлорид Extraneal® (Baxter) 0,02 mg/ml
ін'єкція   Gentamicin sulfate   
ін'єкція   Cefazolin sodium 0,5 mg/ml
4°C
14 День
Берегти від світла 3888
Рівень доказовості D
Поліетилен Вода для ін'єкцій 2,5 mg/ml
ін'єкція   Gentamicin sulfate   
ін'єкція   Trisodium citrate 40 mg/ml
25°C
112 День
Берегти від світла 3141
Рівень доказовості B
Поліпропілен Натрію хлорид 0,9% 0,1 mg/ml
ін'єкція   Gentamicin sulfate   
ін'єкція   Heparin sodium 5000 UI/ml
4°C
28 День
Не визначено 3956
Біологічний аналіз
Поліолефін Жодного 0,75 mg/ml
ін'єкція   Gentamicin sulfate   
ін'єкція   Linezolid 1,80 mg/ml
23°C
5 День
Берегти від світла 2353
Рівень доказовості B+
Поліолефін Жодного 0,75 mg/ml
ін'єкція   Gentamicin sulfate   
ін'єкція   Linezolid 1,80 mg/ml
4°C
7 День
Берегти від світла 2353
Рівень доказовості B+
Поліпропіленовий шприц Натрію хлорид 0,9% 30 mg/ml
ін'єкція   Gentamicin sulfate   
ін'єкція   Clindamycin phosphate 90 mg/ml
22°C-23°C
48 годину
світло 639
Рівень доказовості D
Не визначено Вода для ін'єкцій 2,5 mg/ml
ін'єкція   Gentamicin sulfate   
ін'єкція   Sodium citrate 40 mg/ml
37°C
96 годину
Не визначено 3952
Рівень доказовості А
Не визначено Натрію хлорид 0,9% 1,5 mg/ml
ін'єкція   Gentamicin sulfate   
ін'єкція   Daptomycin 19,2 mg/ml
22°C-28°C
2 годину
Не визначено 1937
Рівень доказовості C+

  Mentions Légales