Letztes “update” :
18/03/2026
Antibiotikum   Gentamicin sulfate  
Injektion
Augentropfen
Stabilität der Lösung Gemengestabilität Stabilitätbeeinflussende Faktoren Kompatibilitäten Applikationsart Literaturverzeichnis pdf
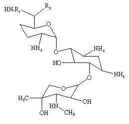
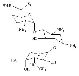
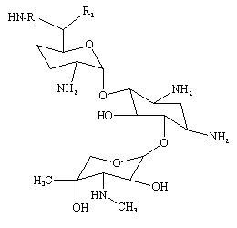
   Chemische Struktur  

Handelsmarke   Handelsmarke     

Handelsnamen sind als beispielhaft anzusehen. Sonstige Bestandteile können je nach Hersteller oder Land verschieden sein

Azupel Peru
Cidomycin Ägypten, Großbritannien, Tunesien
Dabroson Griechenland
Epigent Ägypten
Garalone Portugal
Garamicina Brasilien, Ecuador, Kolumbien, Mexiko
Garamycin Ägypten, Dänemark, Griechenland, Indien, Kroatien, Niederlande, Norwegen, Polen, Schweiz, Vereinigte Arabische Emirate
Genmisin Türkei
Gensif Türkei
Gensumycin Finnland, Norwegen, Schweden
Genta-Gobens Spanien
Gentalline Marokko
Gentamen Marokko
Genticin Großbritannien, Irland, Vereinigte Arabische Emirate
Gentreks Türkei
Hexamycin Dänemark
Plurisemina Argentinien
Refobacin Ägypten, Deutschland, Kolumbien, Österreich
Rupegen Argentinien
Gemengestabilität   Injektion   Gemengestabilität : Gentamicin sulfate     
Behälter Lösungsmittel Konzentration Molekül Temperatur Konservierung Dauer der Stabilität Literaturverzeichnis
Glas 0,9% Natriumchlorid 0,75 mg/ml
Injektion   Gentamicin sulfate   
Injektion   Granisetron hydrochloride 0,5 mg/ml
20°C-23°C
4 Stunde
Licht 57
Evidenzgrad A+
Glas 0,9% Natriumchlorid 1 mg/ml
Injektion   Gentamicin sulfate   
Injektion   Cefpirome sulfate 50 mg/ml
23°C
8 Stunde
Licht 280
Evidenzgrad B+
Glas 0,9% Natriumchlorid 0,8 mg/ml
Injektion   Gentamicin sulfate   
Injektion   Cefazolin sodium 10 mg/ml
Injektion   Clindamycin phosphate 9 mg/ml
25°C
12 Stunde
Licht 695
Joker
Glas 5% Glucose 1 mg/ml
Injektion   Gentamicin sulfate   
Injektion   Cefpirome sulfate 50 mg/ml
23°C
8 Stunde
Licht 280
Evidenzgrad B+
Glas 5% Glucose 0,32 mg/ml
Injektion   Gentamicin sulfate   
Injektion   Dopamine hydrochloride 0,8 mg/ml
23°C-25°C
24 Stunde
Licht 738
Joker
Glas 5% Glucose 0,8 mg/ml
Injektion   Gentamicin sulfate   
Injektion   Cefazolin sodium 10 mg/ml
Injektion   Clindamycin phosphate 9 mg/ml
25°C
1 Stunde
Licht 695
Joker
Glas 5% Glucose 3,2 mg/ml
Injektion   Gentamicin sulfate   
Injektion   Filgrastim 40 µg/ml
25°C
4 Stunde
Nicht genau angegeben 104
Evidenzgrad B
Glas 5% Glucose 5.26 mg/ml
Injektion   Gentamicin sulfate   
Injektion   Palonosetron hydrochloride 26.7 µg/ml
25°C
4 Stunde
Nicht genau angegeben 2228
Evidenzgrad A+
Glas Ringer Lactat - Lösung 1 mg/ml
Injektion   Gentamicin sulfate   
Injektion   Cefpirome sulfate 50 mg/ml
23°C
8 Stunde
Licht 280
Evidenzgrad B+
Glas 0,45% Natriumchlorid 1 mg/ml
Injektion   Gentamicin sulfate   
Injektion   Cefpirome sulfate 50 mg/ml
23°C
8 Stunde
Licht 280
Evidenzgrad B+
Glas Kein 0,8 mg/ml
Injektion   Gentamicin sulfate   
Injektion   Ofloxacin 2 mg/ml
25°C
48 Stunde
Nicht genau angegeben 889
Evidenzgrad D
Polyvinylchlorid 0,9% Natriumchlorid 1,2 mg/ml
Injektion   Gentamicin sulfate   
Injektion   Clindamycin phosphate 9 mg/ml
-20°C
28 Tag
Ohne Licht 565
Evidenzgrad D
Polyvinylchlorid 0,9% Natriumchlorid 1 mg/ml
Injektion   Gentamicin sulfate   
Injektion   Ciprofloxacin lactate 1,5 mg/ml
25°C
48 Stunde
Licht 434
Polyvinylchlorid 0,9% Natriumchlorid 0,2 & 0,8 mg/ml
Injektion   Gentamicin sulfate   
Injektion   Aztreonam 10 & 20 mg/ml
25°C
8 Stunde
Nicht genau angegeben 19
Evidenzgrad D
Polyvinylchlorid 0,9% Natriumchlorid 0,2 & 0,8 mg/ml
Injektion   Gentamicin sulfate   
Injektion   Aztreonam 10 & 20 mg/ml
4°C
24 Stunde
Ohne Licht 19
Evidenzgrad D
Polyvinylchlorid 0,9% Natriumchlorid 1 mg/ml
Injektion   Gentamicin sulfate   
Injektion   Ciprofloxacin lactate 1,5 mg/ml
4°C
48 Stunde
Ohne Licht 434
Polyvinylchlorid 5% Glucose 1,2 mg/ml
Injektion   Gentamicin sulfate   
Injektion   Clindamycin phosphate 9 mg/ml
-20°C
28 Tag
Ohne Licht 565
Evidenzgrad D
Polyvinylchlorid 5% Glucose 5 mg/ml
Injektion   Gentamicin sulfate   
Injektion   Clindamycin phosphate 6 mg/ml
25°C
24 Stunde
Licht 423
Evidenzgrad D
Polyvinylchlorid 5% Glucose 1 mg/ml
Injektion   Gentamicin sulfate   
Injektion   Ciprofloxacin lactate 1,5 mg/ml
25°C
48 Stunde
Licht 434
Polyvinylchlorid 5% Glucose 0,2 & 0,8 mg/ml
Injektion   Gentamicin sulfate   
Injektion   Aztreonam 10 & 20 mg/ml
25°C
8 Stunde
Nicht genau angegeben 19
Evidenzgrad D
Polyvinylchlorid 5% Glucose 0,2 & 0,8 mg/ml
Injektion   Gentamicin sulfate   
Injektion   Aztreonam 10 & 20 mg/ml
4°C
24 Stunde
Ohne Licht 19
Evidenzgrad D
Polyvinylchlorid 5% Glucose 1 mg/ml
Injektion   Gentamicin sulfate   
Injektion   Ciprofloxacin lactate 1,5 mg/ml
4°C
48 Stunde
Ohne Licht 434
Polyvinylchlorid Extraneal® (Baxter) 0,02 mg/ml
Injektion   Gentamicin sulfate   
Injektion   Cefazolin sodium 0,5 mg/ml
25°C
4 Tag
Ohne Licht 3888
Evidenzgrad D
Polyvinylchlorid Extraneal® (Baxter) 0,02 mg/ml
Injektion   Gentamicin sulfate   
Injektion   Vancomycin hydrochloride 1 mg/ml
25°C
14 Tag
Ohne Licht 3888
Evidenzgrad D
Polyvinylchlorid Extraneal® (Baxter) 0,02 mg/ml
Injektion   Gentamicin sulfate   
Injektion   Vancomycin hydrochloride 1 mg/ml
37°C
4 Tag
Ohne Licht 3888
Evidenzgrad D
Polyvinylchlorid Extraneal® (Baxter) 0,02 mg/ml
Injektion   Gentamicin sulfate   
Injektion   Cefazolin sodium 0,5 mg/ml
37°C
24 Stunde
Ohne Licht 3888
Evidenzgrad D
Polyvinylchlorid Extraneal® (Baxter) 0,02 mg/ml
Injektion   Gentamicin sulfate   
Injektion   Cefazolin sodium 0,5 mg/ml
4°C
14 Tag
Ohne Licht 3888
Evidenzgrad D
Polyäthylen Wasser für injektable präparate 2,5 mg/ml
Injektion   Gentamicin sulfate   
Injektion   Trisodium citrate 40 mg/ml
25°C
112 Tag
Ohne Licht 3141
Evidenzgrad B
Polypropylen 0,9% Natriumchlorid 0,1 mg/ml
Injektion   Gentamicin sulfate   
Injektion   Heparin sodium 5000 UI/ml
4°C
28 Tag
Nicht genau angegeben 3956
Biologische Analysen
Polyolefin Kein 0,75 mg/ml
Injektion   Gentamicin sulfate   
Injektion   Linezolid 1,80 mg/ml
23°C
5 Tag
Ohne Licht 2353
Evidenzgrad B+
Polyolefin Kein 0,75 mg/ml
Injektion   Gentamicin sulfate   
Injektion   Linezolid 1,80 mg/ml
4°C
7 Tag
Ohne Licht 2353
Evidenzgrad B+
 Spritze Polypropylen 0,9% Natriumchlorid 30 mg/ml
Injektion   Gentamicin sulfate   
Injektion   Clindamycin phosphate 90 mg/ml
22°C-23°C
48 Stunde
Licht 639
Evidenzgrad D
Nicht genau angegeben Wasser für injektable präparate 2,5 mg/ml
Injektion   Gentamicin sulfate   
Injektion   Sodium citrate 40 mg/ml
37°C
96 Stunde
Nicht genau angegeben 3952
Evidenzgrad A
Nicht genau angegeben 0,9% Natriumchlorid 1,5 mg/ml
Injektion   Gentamicin sulfate   
Injektion   Daptomycin 19,2 mg/ml
22°C-28°C
2 Stunde
Nicht genau angegeben 1937
Evidenzgrad C+

  Mentions Légales