Pēdējā atjaunošana :
18/03/2026
Antibiotika   Gentamicin sulfate  
Injekcija
Acu pilieni
Šķīduma stabilitāte Maisījuma stabilitāte Stabilitāti ietekmējoši faktori Saderība Levadīšanas veids Literatūras saraksts pdf
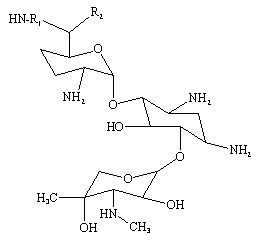
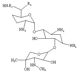
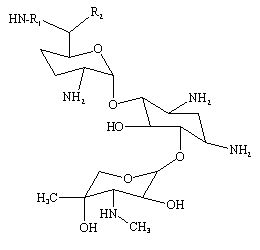
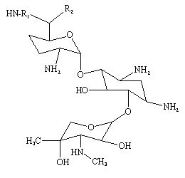
   Ķīmiskā uzbūve   

Oriģinālais nosaukums   Oriģinālais nosaukums     

Tirdzniecības nosaukumi ir apzīmējoši un palīgvielas var atšķirties dažādām valstīm un laboratorijām

Azupel Peru
Cidomycin Ēģipte, Lielbritānija, Tunisija
Dabroson Grieķija
Epigent Ēģipte
Garalone Portugāle
Garamicina Brazīlija, Ekvadora, Kolumbija, Meksika
Garamycin Apvienotie Arābu Emirāti, Dānija, Ēģipte, Grieķija, Holande, Horvātija, Indija, Norvēģija, Polija, Šveice
Genmisin Turcija
Gensif Turcija
Gensumycin Norvēģija, Somija, Zviedrija
Genta-Gobens Spānija
Gentalline Maroka
Gentamen Maroka
Genticin Apvienotie Arābu Emirāti, Īrija, Lielbritānija
Gentreks Turcija
Hexamycin Dānija
Plurisemina Argentīna
Refobacin Austrija, Ēģipte, Kolumbija, Vācija
Rupegen Argentīna
Maisījuma stabilitāte   Injekcija   Maisījuma stabilitāte : Gentamicin sulfate     
Iepakojums Šķīdinātājs Koncentrācija Savienojums Temperatūra Glabāšana Stabilitātes ilgums Literatūras saraksts
Stikls Nātrija hlorīds 0.9% 0,75 mg/ml
Injekcija   Gentamicin sulfate   
Injekcija   Granisetron hydrochloride 0,5 mg/ml
20°C-23°C
4 Stunda
Gaisma 57
Pierādījumu līmenis A+
Stikls Nātrija hlorīds 0.9% 1 mg/ml
Injekcija   Gentamicin sulfate   
Injekcija   Cefpirome sulfate 50 mg/ml
23°C
8 Stunda
Gaisma 280
Pierādījumu līmenis B+
Stikls Nātrija hlorīds 0.9% 0,8 mg/ml
Injekcija   Gentamicin sulfate   
Injekcija   Cefazolin sodium 10 mg/ml
Injekcija   Clindamycin phosphate 9 mg/ml
25°C
12 Stunda
Gaisma 695
\
Stikls 5% glikoze 1 mg/ml
Injekcija   Gentamicin sulfate   
Injekcija   Cefpirome sulfate 50 mg/ml
23°C
8 Stunda
Gaisma 280
Pierādījumu līmenis B+
Stikls 5% glikoze 0,32 mg/ml
Injekcija   Gentamicin sulfate   
Injekcija   Dopamine hydrochloride 0,8 mg/ml
23°C-25°C
24 Stunda
Gaisma 738
\
Stikls 5% glikoze 0,8 mg/ml
Injekcija   Gentamicin sulfate   
Injekcija   Cefazolin sodium 10 mg/ml
Injekcija   Clindamycin phosphate 9 mg/ml
25°C
1 Stunda
Gaisma 695
\
Stikls 5% glikoze 3,2 mg/ml
Injekcija   Gentamicin sulfate   
Injekcija   Filgrastim 40 µg/ml
25°C
4 Stunda
Nav specifisks 104
Pierādījumu līmenis B
Stikls 5% glikoze 5.26 mg/ml
Injekcija   Gentamicin sulfate   
Injekcija   Palonosetron hydrochloride 26.7 µg/ml
25°C
4 Stunda
Nav specifisks 2228
Pierādījumu līmenis A+
Stikls Ringera laktāta šķīdums 1 mg/ml
Injekcija   Gentamicin sulfate   
Injekcija   Cefpirome sulfate 50 mg/ml
23°C
8 Stunda
Gaisma 280
Pierādījumu līmenis B+
Stikls Nātrija hlorīds 0.45% 1 mg/ml
Injekcija   Gentamicin sulfate   
Injekcija   Cefpirome sulfate 50 mg/ml
23°C
8 Stunda
Gaisma 280
Pierādījumu līmenis B+
Stikls Nekāds 0,8 mg/ml
Injekcija   Gentamicin sulfate   
Injekcija   Ofloxacin 2 mg/ml
25°C
48 Stunda
Nav specifisks 889
Pierādījumu līmenis D
Polivinilhlorīds Nātrija hlorīds 0.9% 1,2 mg/ml
Injekcija   Gentamicin sulfate   
Injekcija   Clindamycin phosphate 9 mg/ml
-20°C
28 Diena
Aizsargāt no gaismas 565
Pierādījumu līmenis D
Polivinilhlorīds Nātrija hlorīds 0.9% 1 mg/ml
Injekcija   Gentamicin sulfate   
Injekcija   Ciprofloxacin lactate 1,5 mg/ml
25°C
48 Stunda
Gaisma 434
Polivinilhlorīds Nātrija hlorīds 0.9% 0,2 & 0,8 mg/ml
Injekcija   Gentamicin sulfate   
Injekcija   Aztreonam 10 & 20 mg/ml
25°C
8 Stunda
Nav specifisks 19
Pierādījumu līmenis D
Polivinilhlorīds Nātrija hlorīds 0.9% 0,2 & 0,8 mg/ml
Injekcija   Gentamicin sulfate   
Injekcija   Aztreonam 10 & 20 mg/ml
4°C
24 Stunda
Aizsargāt no gaismas 19
Pierādījumu līmenis D
Polivinilhlorīds Nātrija hlorīds 0.9% 1 mg/ml
Injekcija   Gentamicin sulfate   
Injekcija   Ciprofloxacin lactate 1,5 mg/ml
4°C
48 Stunda
Aizsargāt no gaismas 434
Polivinilhlorīds 5% glikoze 1,2 mg/ml
Injekcija   Gentamicin sulfate   
Injekcija   Clindamycin phosphate 9 mg/ml
-20°C
28 Diena
Aizsargāt no gaismas 565
Pierādījumu līmenis D
Polivinilhlorīds 5% glikoze 5 mg/ml
Injekcija   Gentamicin sulfate   
Injekcija   Clindamycin phosphate 6 mg/ml
25°C
24 Stunda
Gaisma 423
Pierādījumu līmenis D
Polivinilhlorīds 5% glikoze 1 mg/ml
Injekcija   Gentamicin sulfate   
Injekcija   Ciprofloxacin lactate 1,5 mg/ml
25°C
48 Stunda
Gaisma 434
Polivinilhlorīds 5% glikoze 0,2 & 0,8 mg/ml
Injekcija   Gentamicin sulfate   
Injekcija   Aztreonam 10 & 20 mg/ml
25°C
8 Stunda
Nav specifisks 19
Pierādījumu līmenis D
Polivinilhlorīds 5% glikoze 0,2 & 0,8 mg/ml
Injekcija   Gentamicin sulfate   
Injekcija   Aztreonam 10 & 20 mg/ml
4°C
24 Stunda
Aizsargāt no gaismas 19
Pierādījumu līmenis D
Polivinilhlorīds 5% glikoze 1 mg/ml
Injekcija   Gentamicin sulfate   
Injekcija   Ciprofloxacin lactate 1,5 mg/ml
4°C
48 Stunda
Aizsargāt no gaismas 434
Polivinilhlorīds Extraneal® (Baxter) 0,02 mg/ml
Injekcija   Gentamicin sulfate   
Injekcija   Cefazolin sodium 0,5 mg/ml
25°C
4 Diena
Aizsargāt no gaismas 3888
Pierādījumu līmenis D
Polivinilhlorīds Extraneal® (Baxter) 0,02 mg/ml
Injekcija   Gentamicin sulfate   
Injekcija   Vancomycin hydrochloride 1 mg/ml
25°C
14 Diena
Aizsargāt no gaismas 3888
Pierādījumu līmenis D
Polivinilhlorīds Extraneal® (Baxter) 0,02 mg/ml
Injekcija   Gentamicin sulfate   
Injekcija   Vancomycin hydrochloride 1 mg/ml
37°C
4 Diena
Aizsargāt no gaismas 3888
Pierādījumu līmenis D
Polivinilhlorīds Extraneal® (Baxter) 0,02 mg/ml
Injekcija   Gentamicin sulfate   
Injekcija   Cefazolin sodium 0,5 mg/ml
37°C
24 Stunda
Aizsargāt no gaismas 3888
Pierādījumu līmenis D
Polivinilhlorīds Extraneal® (Baxter) 0,02 mg/ml
Injekcija   Gentamicin sulfate   
Injekcija   Cefazolin sodium 0,5 mg/ml
4°C
14 Diena
Aizsargāt no gaismas 3888
Pierādījumu līmenis D
Polietilēns Ūdens injekcijām 2,5 mg/ml
Injekcija   Gentamicin sulfate   
Injekcija   Trisodium citrate 40 mg/ml
25°C
112 Diena
Aizsargāt no gaismas 3141
Pierādījumu līmenis B
Polipropilēns Nātrija hlorīds 0.9% 0,1 mg/ml
Injekcija   Gentamicin sulfate   
Injekcija   Heparin sodium 5000 UI/ml
4°C
28 Diena
Nav specifisks 3956
Bioloģiskā metode
Poliolefīns Nekāds 0,75 mg/ml
Injekcija   Gentamicin sulfate   
Injekcija   Linezolid 1,80 mg/ml
23°C
5 Diena
Aizsargāt no gaismas 2353
Pierādījumu līmenis B+
Poliolefīns Nekāds 0,75 mg/ml
Injekcija   Gentamicin sulfate   
Injekcija   Linezolid 1,80 mg/ml
4°C
7 Diena
Aizsargāt no gaismas 2353
Pierādījumu līmenis B+
Šļirce polipropilēna Nātrija hlorīds 0.9% 30 mg/ml
Injekcija   Gentamicin sulfate   
Injekcija   Clindamycin phosphate 90 mg/ml
22°C-23°C
48 Stunda
Gaisma 639
Pierādījumu līmenis D
Nespecifisks Ūdens injekcijām 2,5 mg/ml
Injekcija   Gentamicin sulfate   
Injekcija   Sodium citrate 40 mg/ml
37°C
96 Stunda
Nav specifisks 3952
Pierādījumu līmenis A
Nespecifisks Nātrija hlorīds 0.9% 1,5 mg/ml
Injekcija   Gentamicin sulfate   
Injekcija   Daptomycin 19,2 mg/ml
22°C-28°C
2 Stunda
Nav specifisks 1937
Pierādījumu līmenis C+

  Mentions Légales