Siste oppdatering :
18/03/2026
Antibiotika   Gentamicin sulfate  
Injeksjon
Øyedråper
Oppløsningsstabilitet Stabilitet i blandinger Faktorer som påvirker stabiliteten Kompatibilitet Administrasjonsmåte Referanser pdf
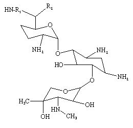
   Kjemisk struktur  

Handelsnavn   Handelsnavn     

Handelsnavn er veiledende og sammensetning av hjelpestoffer kan være forskjellig avhengig av land og produsent

Azupel Peru
Cidomycin Egypt, Storbritannia, Tunisia
Dabroson Hellas
Epigent Egypt
Garalone Portugal
Garamicina Brasil, Colombia, Ecuador, Mexico
Garamycin Danmark, De forente arabiske emirater, Egypt, Hellas, India, Kroatia, Nederland, Norge, Polen, Sveits
Genmisin Tyrkia
Gensif Tyrkia
Gensumycin Finland, Norge, Sverige
Genta-Gobens Spania
Gentalline Marokko
Gentamen Marokko
Genticin De forente arabiske emirater, Irland, Storbritannia
Gentreks Tyrkia
Hexamycin Danmark
Plurisemina Argentina
Refobacin Colombia, Egypt, Tyskland, Østerrike
Rupegen Argentina
Stabilitet i blandinger   Injeksjon   Stabilitet i blandinger : Gentamicin sulfate     
Beholder Oppløsningsmiddel Konsentrasjon Legemiddel Temperatur Oppbevaring Varighet av stabilitet Referanser
Glass Natriumklorid 0,9 % 0,75 mg/ml
Injeksjon   Gentamicin sulfate   
Injeksjon   Granisetron hydrochloride 0,5 mg/ml
20°C-23°C
4 Tid
Lys 57
Bevisgrad A +
Glass Natriumklorid 0,9 % 1 mg/ml
Injeksjon   Gentamicin sulfate   
Injeksjon   Cefpirome sulfate 50 mg/ml
23°C
8 Tid
Lys 280
Bevisgrad B+
Glass Natriumklorid 0,9 % 0,8 mg/ml
Injeksjon   Gentamicin sulfate   
Injeksjon   Cefazolin sodium 10 mg/ml
Injeksjon   Clindamycin phosphate 9 mg/ml
25°C
12 Tid
Lys 695
Joker
Glass Glukose 5 % 1 mg/ml
Injeksjon   Gentamicin sulfate   
Injeksjon   Cefpirome sulfate 50 mg/ml
23°C
8 Tid
Lys 280
Bevisgrad B+
Glass Glukose 5 % 0,32 mg/ml
Injeksjon   Gentamicin sulfate   
Injeksjon   Dopamine hydrochloride 0,8 mg/ml
23°C-25°C
24 Tid
Lys 738
Joker
Glass Glukose 5 % 0,8 mg/ml
Injeksjon   Gentamicin sulfate   
Injeksjon   Cefazolin sodium 10 mg/ml
Injeksjon   Clindamycin phosphate 9 mg/ml
25°C
1 Tid
Lys 695
Joker
Glass Glukose 5 % 3,2 mg/ml
Injeksjon   Gentamicin sulfate   
Injeksjon   Filgrastim 40 µg/ml
25°C
4 Tid
Ikke angitt 104
Bevisgrad B
Glass Glukose 5 % 5.26 mg/ml
Injeksjon   Gentamicin sulfate   
Injeksjon   Palonosetron hydrochloride 26.7 µg/ml
25°C
4 Tid
Ikke angitt 2228
Bevisgrad A +
Glass Ringers laktatoppløsning 1 mg/ml
Injeksjon   Gentamicin sulfate   
Injeksjon   Cefpirome sulfate 50 mg/ml
23°C
8 Tid
Lys 280
Bevisgrad B+
Glass Natriumklorid 0,45 % 1 mg/ml
Injeksjon   Gentamicin sulfate   
Injeksjon   Cefpirome sulfate 50 mg/ml
23°C
8 Tid
Lys 280
Bevisgrad B+
Glass Ingen 0,8 mg/ml
Injeksjon   Gentamicin sulfate   
Injeksjon   Ofloxacin 2 mg/ml
25°C
48 Tid
Ikke angitt 889
Bevisgrad D
Polyvinylklorid Natriumklorid 0,9 % 1,2 mg/ml
Injeksjon   Gentamicin sulfate   
Injeksjon   Clindamycin phosphate 9 mg/ml
-20°C
28 Dag
Beskyttes mot lys 565
Bevisgrad D
Polyvinylklorid Natriumklorid 0,9 % 1 mg/ml
Injeksjon   Gentamicin sulfate   
Injeksjon   Ciprofloxacin lactate 1,5 mg/ml
25°C
48 Tid
Lys 434
Polyvinylklorid Natriumklorid 0,9 % 0,2 & 0,8 mg/ml
Injeksjon   Gentamicin sulfate   
Injeksjon   Aztreonam 10 & 20 mg/ml
25°C
8 Tid
Ikke angitt 19
Bevisgrad D
Polyvinylklorid Natriumklorid 0,9 % 0,2 & 0,8 mg/ml
Injeksjon   Gentamicin sulfate   
Injeksjon   Aztreonam 10 & 20 mg/ml
4°C
24 Tid
Beskyttes mot lys 19
Bevisgrad D
Polyvinylklorid Natriumklorid 0,9 % 1 mg/ml
Injeksjon   Gentamicin sulfate   
Injeksjon   Ciprofloxacin lactate 1,5 mg/ml
4°C
48 Tid
Beskyttes mot lys 434
Polyvinylklorid Glukose 5 % 1,2 mg/ml
Injeksjon   Gentamicin sulfate   
Injeksjon   Clindamycin phosphate 9 mg/ml
-20°C
28 Dag
Beskyttes mot lys 565
Bevisgrad D
Polyvinylklorid Glukose 5 % 5 mg/ml
Injeksjon   Gentamicin sulfate   
Injeksjon   Clindamycin phosphate 6 mg/ml
25°C
24 Tid
Lys 423
Bevisgrad D
Polyvinylklorid Glukose 5 % 1 mg/ml
Injeksjon   Gentamicin sulfate   
Injeksjon   Ciprofloxacin lactate 1,5 mg/ml
25°C
48 Tid
Lys 434
Polyvinylklorid Glukose 5 % 0,2 & 0,8 mg/ml
Injeksjon   Gentamicin sulfate   
Injeksjon   Aztreonam 10 & 20 mg/ml
25°C
8 Tid
Ikke angitt 19
Bevisgrad D
Polyvinylklorid Glukose 5 % 0,2 & 0,8 mg/ml
Injeksjon   Gentamicin sulfate   
Injeksjon   Aztreonam 10 & 20 mg/ml
4°C
24 Tid
Beskyttes mot lys 19
Bevisgrad D
Polyvinylklorid Glukose 5 % 1 mg/ml
Injeksjon   Gentamicin sulfate   
Injeksjon   Ciprofloxacin lactate 1,5 mg/ml
4°C
48 Tid
Beskyttes mot lys 434
Polyvinylklorid Extraneal® (Baxter) 0,02 mg/ml
Injeksjon   Gentamicin sulfate   
Injeksjon   Cefazolin sodium 0,5 mg/ml
25°C
4 Dag
Beskyttes mot lys 3888
Bevisgrad D
Polyvinylklorid Extraneal® (Baxter) 0,02 mg/ml
Injeksjon   Gentamicin sulfate   
Injeksjon   Vancomycin hydrochloride 1 mg/ml
25°C
14 Dag
Beskyttes mot lys 3888
Bevisgrad D
Polyvinylklorid Extraneal® (Baxter) 0,02 mg/ml
Injeksjon   Gentamicin sulfate   
Injeksjon   Vancomycin hydrochloride 1 mg/ml
37°C
4 Dag
Beskyttes mot lys 3888
Bevisgrad D
Polyvinylklorid Extraneal® (Baxter) 0,02 mg/ml
Injeksjon   Gentamicin sulfate   
Injeksjon   Cefazolin sodium 0,5 mg/ml
37°C
24 Tid
Beskyttes mot lys 3888
Bevisgrad D
Polyvinylklorid Extraneal® (Baxter) 0,02 mg/ml
Injeksjon   Gentamicin sulfate   
Injeksjon   Cefazolin sodium 0,5 mg/ml
4°C
14 Dag
Beskyttes mot lys 3888
Bevisgrad D
Polyetylen Vann til injeksjon 2,5 mg/ml
Injeksjon   Gentamicin sulfate   
Injeksjon   Trisodium citrate 40 mg/ml
25°C
112 Dag
Beskyttes mot lys 3141
Bevisgrad B
Polypropylen Natriumklorid 0,9 % 0,1 mg/ml
Injeksjon   Gentamicin sulfate   
Injeksjon   Heparin sodium 5000 UI/ml
4°C
28 Dag
Ikke angitt 3956
Biologisk metode
Polyolefin Ingen 0,75 mg/ml
Injeksjon   Gentamicin sulfate   
Injeksjon   Linezolid 1,80 mg/ml
23°C
5 Dag
Beskyttes mot lys 2353
Bevisgrad B+
Polyolefin Ingen 0,75 mg/ml
Injeksjon   Gentamicin sulfate   
Injeksjon   Linezolid 1,80 mg/ml
4°C
7 Dag
Beskyttes mot lys 2353
Bevisgrad B+
Sprøyte polypropylen Natriumklorid 0,9 % 30 mg/ml
Injeksjon   Gentamicin sulfate   
Injeksjon   Clindamycin phosphate 90 mg/ml
22°C-23°C
48 Tid
Lys 639
Bevisgrad D
Ikke angitt Vann til injeksjon 2,5 mg/ml
Injeksjon   Gentamicin sulfate   
Injeksjon   Sodium citrate 40 mg/ml
37°C
96 Tid
Ikke angitt 3952
Bevisgrad A
Ikke angitt Natriumklorid 0,9 % 1,5 mg/ml
Injeksjon   Gentamicin sulfate   
Injeksjon   Daptomycin 19,2 mg/ml
22°C-28°C
2 Tid
Ikke angitt 1937
Bevisgrad C+

  Mentions Légales