Poslední aktualizace :
17/12/2025
Antibiotikas   Gentamicin sulfate  
Įpurškimas
Akių lašai
Tirpalų stabilumas Mišinių stabilumas Stabilumą lemiantys veiksniai Suderinamumas Leidimo būdai Bibliografija pdf
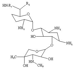
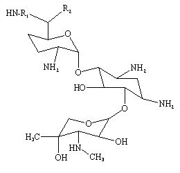
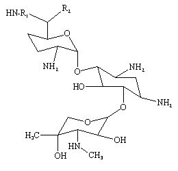
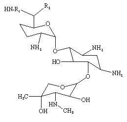
   Cheminė sandara  

Prekinis pavadinimas   Prekinis pavadinimas     

Trade names are indicative and excipients composition can be different depending on the country and manufacturers

Azupel Peru
Cidomycin Didžioji Britanija, Egiptas, Tunisas
Dabroson Graikija
Epigent Egiptas
Garalone Portugalija
Garamicina Brazilija, Ekvadoras, Kolumbija, Meksikas
Garamycin Danija, Egiptas, Graikija, Indija, Jungtiniai Arabų Emyratai, Kroatija, Lenkija, Norvegija, Olandija, Šveicarija
Genmisin Turkija
Gensif Turkija
Gensumycin Norvegija, Suomija, Švedija
Genta-Gobens Ispanija
Gentalline Marokas
Gentamen Marokas
Genticin Airija, Didžioji Britanija, Jungtiniai Arabų Emyratai
Gentreks Turkija
Hexamycin Danija
Plurisemina Argentina
Refobacin Austrija, Egiptas, Kolumbija, Vokietija
Rupegen Argentina
Mišinių stabilumas   Įpurškimas   Mišinių stabilumas : Gentamicin sulfate     
Pakuotė Tirpiklis Koncentracija Molekulė Temperatūra Laikymas Stabilumo trukmė Nuorodos
Stiklas Natrio chloridas 0,9% 0,75 mg/ml
Įpurškimas   Gentamicin sulfate   
Įpurškimas   Granisetron hydrochloride 0,5 mg/ml
20°C-23°C
4 Valanda
Šviesa 57
Bandymo lygis A+
Stiklas Natrio chloridas 0,9% 1 mg/ml
Įpurškimas   Gentamicin sulfate   
Įpurškimas   Cefpirome sulfate 50 mg/ml
23°C
8 Valanda
Šviesa 280
Bandymo lygis B+
Stiklas Natrio chloridas 0,9% 0,8 mg/ml
Įpurškimas   Gentamicin sulfate   
Įpurškimas   Cefazolin sodium 10 mg/ml
Įpurškimas   Clindamycin phosphate 9 mg/ml
25°C
12 Valanda
Šviesa 695
Joker
Stiklas Gliukozė 5% 1 mg/ml
Įpurškimas   Gentamicin sulfate   
Įpurškimas   Cefpirome sulfate 50 mg/ml
23°C
8 Valanda
Šviesa 280
Bandymo lygis B+
Stiklas Gliukozė 5% 0,32 mg/ml
Įpurškimas   Gentamicin sulfate   
Įpurškimas   Dopamine hydrochloride 0,8 mg/ml
23°C-25°C
24 Valanda
Šviesa 738
Joker
Stiklas Gliukozė 5% 0,8 mg/ml
Įpurškimas   Gentamicin sulfate   
Įpurškimas   Cefazolin sodium 10 mg/ml
Įpurškimas   Clindamycin phosphate 9 mg/ml
25°C
1 Valanda
Šviesa 695
Joker
Stiklas Gliukozė 5% 3,2 mg/ml
Įpurškimas   Gentamicin sulfate   
Įpurškimas   Filgrastim 40 µg/ml
25°C
4 Valanda
Nenurodyta 104
Bandymo lygis B
Stiklas Gliukozė 5% 5.26 mg/ml
Įpurškimas   Gentamicin sulfate   
Įpurškimas   Palonosetron hydrochloride 26.7 µg/ml
25°C
4 Valanda
Nenurodyta 2228
Bandymo lygis A+
Stiklas Ringerio laktato tirpalas 1 mg/ml
Įpurškimas   Gentamicin sulfate   
Įpurškimas   Cefpirome sulfate 50 mg/ml
23°C
8 Valanda
Šviesa 280
Bandymo lygis B+
Stiklas Natrio chloridas 0,45% 1 mg/ml
Įpurškimas   Gentamicin sulfate   
Įpurškimas   Cefpirome sulfate 50 mg/ml
23°C
8 Valanda
Šviesa 280
Bandymo lygis B+
Stiklas Nėra 0,8 mg/ml
Įpurškimas   Gentamicin sulfate   
Įpurškimas   Ofloxacin 2 mg/ml
25°C
48 Valanda
Nenurodyta 889
Bandymo lygis D
Polivinilchloridas Natrio chloridas 0,9% 1,2 mg/ml
Įpurškimas   Gentamicin sulfate   
Įpurškimas   Clindamycin phosphate 9 mg/ml
-20°C
28 Diena
Apsaugotas nuo šviesos 565
Bandymo lygis D
Polivinilchloridas Natrio chloridas 0,9% 1 mg/ml
Įpurškimas   Gentamicin sulfate   
Įpurškimas   Ciprofloxacin lactate 1,5 mg/ml
25°C
48 Valanda
Šviesa 434
Polivinilchloridas Natrio chloridas 0,9% 0,2 & 0,8 mg/ml
Įpurškimas   Gentamicin sulfate   
Įpurškimas   Aztreonam 10 & 20 mg/ml
25°C
8 Valanda
Nenurodyta 19
Bandymo lygis D
Polivinilchloridas Natrio chloridas 0,9% 0,2 & 0,8 mg/ml
Įpurškimas   Gentamicin sulfate   
Įpurškimas   Aztreonam 10 & 20 mg/ml
4°C
24 Valanda
Apsaugotas nuo šviesos 19
Bandymo lygis D
Polivinilchloridas Natrio chloridas 0,9% 1 mg/ml
Įpurškimas   Gentamicin sulfate   
Įpurškimas   Ciprofloxacin lactate 1,5 mg/ml
4°C
48 Valanda
Apsaugotas nuo šviesos 434
Polivinilchloridas Gliukozė 5% 1,2 mg/ml
Įpurškimas   Gentamicin sulfate   
Įpurškimas   Clindamycin phosphate 9 mg/ml
-20°C
28 Diena
Apsaugotas nuo šviesos 565
Bandymo lygis D
Polivinilchloridas Gliukozė 5% 5 mg/ml
Įpurškimas   Gentamicin sulfate   
Įpurškimas   Clindamycin phosphate 6 mg/ml
25°C
24 Valanda
Šviesa 423
Bandymo lygis D
Polivinilchloridas Gliukozė 5% 1 mg/ml
Įpurškimas   Gentamicin sulfate   
Įpurškimas   Ciprofloxacin lactate 1,5 mg/ml
25°C
48 Valanda
Šviesa 434
Polivinilchloridas Gliukozė 5% 0,2 & 0,8 mg/ml
Įpurškimas   Gentamicin sulfate   
Įpurškimas   Aztreonam 10 & 20 mg/ml
25°C
8 Valanda
Nenurodyta 19
Bandymo lygis D
Polivinilchloridas Gliukozė 5% 0,2 & 0,8 mg/ml
Įpurškimas   Gentamicin sulfate   
Įpurškimas   Aztreonam 10 & 20 mg/ml
4°C
24 Valanda
Apsaugotas nuo šviesos 19
Bandymo lygis D
Polivinilchloridas Gliukozė 5% 1 mg/ml
Įpurškimas   Gentamicin sulfate   
Įpurškimas   Ciprofloxacin lactate 1,5 mg/ml
4°C
48 Valanda
Apsaugotas nuo šviesos 434
Polivinilchloridas Extraneal® (Baxter) 0,02 mg/ml
Įpurškimas   Gentamicin sulfate   
Įpurškimas   Cefazolin sodium 0,5 mg/ml
25°C
4 Diena
Apsaugotas nuo šviesos 3888
Bandymo lygis D
Polivinilchloridas Extraneal® (Baxter) 0,02 mg/ml
Įpurškimas   Gentamicin sulfate   
Įpurškimas   Vancomycin hydrochloride 1 mg/ml
25°C
14 Diena
Apsaugotas nuo šviesos 3888
Bandymo lygis D
Polivinilchloridas Extraneal® (Baxter) 0,02 mg/ml
Įpurškimas   Gentamicin sulfate   
Įpurškimas   Vancomycin hydrochloride 1 mg/ml
37°C
4 Diena
Apsaugotas nuo šviesos 3888
Bandymo lygis D
Polivinilchloridas Extraneal® (Baxter) 0,02 mg/ml
Įpurškimas   Gentamicin sulfate   
Įpurškimas   Cefazolin sodium 0,5 mg/ml
37°C
24 Valanda
Apsaugotas nuo šviesos 3888
Bandymo lygis D
Polivinilchloridas Extraneal® (Baxter) 0,02 mg/ml
Įpurškimas   Gentamicin sulfate   
Įpurškimas   Cefazolin sodium 0,5 mg/ml
4°C
14 Diena
Apsaugotas nuo šviesos 3888
Bandymo lygis D
Polietilenas Vanduo injekcijoms 2,5 mg/ml
Įpurškimas   Gentamicin sulfate   
Įpurškimas   Trisodium citrate 40 mg/ml
25°C
112 Diena
Apsaugotas nuo šviesos 3141
Bandymo lygis B
Polipropilenas Natrio chloridas 0,9% 0,1 mg/ml
Įpurškimas   Gentamicin sulfate   
Įpurškimas   Heparin sodium 5000 UI/ml
4°C
28 Diena
Nenurodyta 3956
Biologinis metodas
Poliolefinas Nėra 0,75 mg/ml
Įpurškimas   Gentamicin sulfate   
Įpurškimas   Linezolid 1,80 mg/ml
23°C
5 Diena
Apsaugotas nuo šviesos 2353
Bandymo lygis B+
Poliolefinas Nėra 0,75 mg/ml
Įpurškimas   Gentamicin sulfate   
Įpurškimas   Linezolid 1,80 mg/ml
4°C
7 Diena
Apsaugotas nuo šviesos 2353
Bandymo lygis B+
Švirkštas polipropileno Natrio chloridas 0,9% 30 mg/ml
Įpurškimas   Gentamicin sulfate   
Įpurškimas   Clindamycin phosphate 90 mg/ml
22°C-23°C
48 Valanda
Šviesa 639
Bandymo lygis D
Nenurodyta Vanduo injekcijoms 2,5 mg/ml
Įpurškimas   Gentamicin sulfate   
Įpurškimas   Sodium citrate 40 mg/ml
37°C
96 Valanda
Nenurodyta 3952
Bandymo lygis A
Nenurodyta Natrio chloridas 0,9% 1,5 mg/ml
Įpurškimas   Gentamicin sulfate   
Įpurškimas   Daptomycin 19,2 mg/ml
22°C-28°C
2 Valanda
Nenurodyta 1937
Bandymo lygis C+

  Mentions Légales