Posledná aktualizácia :
18/03/2026
antibiotikum   Gentamicin sulfate  
Injekcia
Očná instilácia
Stabilita roztokov Stabilita v zmesiach Faktory ovplyvňujúce stabilitu Kompatibility spôsob podania Odkazy na literatúru PDF
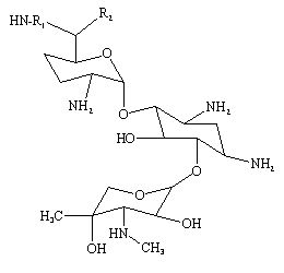
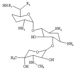
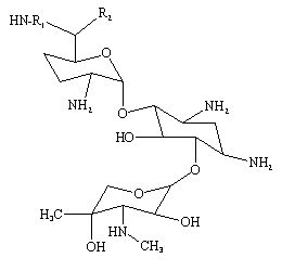
   Chemický vzorec  

Obchodný názov   Obchodný názov     

Obchodné názvy sú orientačné, a zloženie pomocných látok sa môže líšiť v závislosti od krajiny a výrobcu.

Azupel peru
Cidomycin Egypt, Tunisko, Veľká Británia
Dabroson Grécko
Epigent Egypt
Garalone Portugalsko
Garamicina Brazília, Ekvádor, Kolumbia, Mexiko
Garamycin Chorvátsko, Dánsko, Egypt, Grécko, Holandsko, India, Nórsko, Poľsko, Spojené arabské emiráty, Švajčiarsko
Genmisin Turecko
Gensif Turecko
Gensumycin Fínsko, Nórsko, Švédsko
Genta-Gobens Španielsko
Gentalline Maroko
Gentamen Maroko
Genticin Írsko, Spojené arabské emiráty, Veľká Británia
Gentreks Turecko
Hexamycin Dánsko
Plurisemina Argentína
Refobacin Egypt, Kolumbia, Nemecko, Rakúsko
Rupegen Argentína
Stabilita v zmesiach   Injekcia   Stabilita v zmesiach : Gentamicin sulfate     
obal rozpúšťadlo koncentrácia Zlúčenina teplota uchovávanie Trvanie stability odkazy na lieteratúru
Sklo 0,9% chlorid sodný 0,75 mg/ml
Injekcia   Gentamicin sulfate   
Injekcia   Granisetron hydrochloride 0,5 mg/ml
20°C-23°C
4 hodín
Za svetla 57
Úroveň dôkazov A+
Sklo 0,9% chlorid sodný 1 mg/ml
Injekcia   Gentamicin sulfate   
Injekcia   Cefpirome sulfate 50 mg/ml
23°C
8 hodín
Za svetla 280
Úroveň dôkazov B+
Sklo 0,9% chlorid sodný 0,8 mg/ml
Injekcia   Gentamicin sulfate   
Injekcia   Cefazolin sodium 10 mg/ml
Injekcia   Clindamycin phosphate 9 mg/ml
25°C
12 hodín
Za svetla 695
Žolík (rôzne)
Sklo 5% glukóza 1 mg/ml
Injekcia   Gentamicin sulfate   
Injekcia   Cefpirome sulfate 50 mg/ml
23°C
8 hodín
Za svetla 280
Úroveň dôkazov B+
Sklo 5% glukóza 0,32 mg/ml
Injekcia   Gentamicin sulfate   
Injekcia   Dopamine hydrochloride 0,8 mg/ml
23°C-25°C
24 hodín
Za svetla 738
Žolík (rôzne)
Sklo 5% glukóza 0,8 mg/ml
Injekcia   Gentamicin sulfate   
Injekcia   Cefazolin sodium 10 mg/ml
Injekcia   Clindamycin phosphate 9 mg/ml
25°C
1 hodín
Za svetla 695
Žolík (rôzne)
Sklo 5% glukóza 3,2 mg/ml
Injekcia   Gentamicin sulfate   
Injekcia   Filgrastim 40 µg/ml
25°C
4 hodín
nešpecifikované 104
Úroveň dôkazov B
Sklo 5% glukóza 5.26 mg/ml
Injekcia   Gentamicin sulfate   
Injekcia   Palonosetron hydrochloride 26.7 µg/ml
25°C
4 hodín
nešpecifikované 2228
Úroveň dôkazov A+
Sklo Ringerov laktátový roztok 1 mg/ml
Injekcia   Gentamicin sulfate   
Injekcia   Cefpirome sulfate 50 mg/ml
23°C
8 hodín
Za svetla 280
Úroveň dôkazov B+
Sklo 0,45 % chlorid sodný 1 mg/ml
Injekcia   Gentamicin sulfate   
Injekcia   Cefpirome sulfate 50 mg/ml
23°C
8 hodín
Za svetla 280
Úroveň dôkazov B+
Sklo Žiadny 0,8 mg/ml
Injekcia   Gentamicin sulfate   
Injekcia   Ofloxacin 2 mg/ml
25°C
48 hodín
nešpecifikované 889
Úroveň dôkazov D
polyvinylchlorid (PVC) 0,9% chlorid sodný 1,2 mg/ml
Injekcia   Gentamicin sulfate   
Injekcia   Clindamycin phosphate 9 mg/ml
-20°C
28 dní
Chránené pred svetlom 565
Úroveň dôkazov D
polyvinylchlorid (PVC) 0,9% chlorid sodný 1 mg/ml
Injekcia   Gentamicin sulfate   
Injekcia   Ciprofloxacin lactate 1,5 mg/ml
25°C
48 hodín
Za svetla 434
polyvinylchlorid (PVC) 0,9% chlorid sodný 0,2 & 0,8 mg/ml
Injekcia   Gentamicin sulfate   
Injekcia   Aztreonam 10 & 20 mg/ml
25°C
8 hodín
nešpecifikované 19
Úroveň dôkazov D
polyvinylchlorid (PVC) 0,9% chlorid sodný 0,2 & 0,8 mg/ml
Injekcia   Gentamicin sulfate   
Injekcia   Aztreonam 10 & 20 mg/ml
4°C
24 hodín
Chránené pred svetlom 19
Úroveň dôkazov D
polyvinylchlorid (PVC) 0,9% chlorid sodný 1 mg/ml
Injekcia   Gentamicin sulfate   
Injekcia   Ciprofloxacin lactate 1,5 mg/ml
4°C
48 hodín
Chránené pred svetlom 434
polyvinylchlorid (PVC) 5% glukóza 1,2 mg/ml
Injekcia   Gentamicin sulfate   
Injekcia   Clindamycin phosphate 9 mg/ml
-20°C
28 dní
Chránené pred svetlom 565
Úroveň dôkazov D
polyvinylchlorid (PVC) 5% glukóza 5 mg/ml
Injekcia   Gentamicin sulfate   
Injekcia   Clindamycin phosphate 6 mg/ml
25°C
24 hodín
Za svetla 423
Úroveň dôkazov D
polyvinylchlorid (PVC) 5% glukóza 1 mg/ml
Injekcia   Gentamicin sulfate   
Injekcia   Ciprofloxacin lactate 1,5 mg/ml
25°C
48 hodín
Za svetla 434
polyvinylchlorid (PVC) 5% glukóza 0,2 & 0,8 mg/ml
Injekcia   Gentamicin sulfate   
Injekcia   Aztreonam 10 & 20 mg/ml
25°C
8 hodín
nešpecifikované 19
Úroveň dôkazov D
polyvinylchlorid (PVC) 5% glukóza 0,2 & 0,8 mg/ml
Injekcia   Gentamicin sulfate   
Injekcia   Aztreonam 10 & 20 mg/ml
4°C
24 hodín
Chránené pred svetlom 19
Úroveň dôkazov D
polyvinylchlorid (PVC) 5% glukóza 1 mg/ml
Injekcia   Gentamicin sulfate   
Injekcia   Ciprofloxacin lactate 1,5 mg/ml
4°C
48 hodín
Chránené pred svetlom 434
polyvinylchlorid (PVC) Extraneal® (Baxter) 0,02 mg/ml
Injekcia   Gentamicin sulfate   
Injekcia   Cefazolin sodium 0,5 mg/ml
25°C
4 dní
Chránené pred svetlom 3888
Úroveň dôkazov D
polyvinylchlorid (PVC) Extraneal® (Baxter) 0,02 mg/ml
Injekcia   Gentamicin sulfate   
Injekcia   Vancomycin hydrochloride 1 mg/ml
25°C
14 dní
Chránené pred svetlom 3888
Úroveň dôkazov D
polyvinylchlorid (PVC) Extraneal® (Baxter) 0,02 mg/ml
Injekcia   Gentamicin sulfate   
Injekcia   Vancomycin hydrochloride 1 mg/ml
37°C
4 dní
Chránené pred svetlom 3888
Úroveň dôkazov D
polyvinylchlorid (PVC) Extraneal® (Baxter) 0,02 mg/ml
Injekcia   Gentamicin sulfate   
Injekcia   Cefazolin sodium 0,5 mg/ml
37°C
24 hodín
Chránené pred svetlom 3888
Úroveň dôkazov D
polyvinylchlorid (PVC) Extraneal® (Baxter) 0,02 mg/ml
Injekcia   Gentamicin sulfate   
Injekcia   Cefazolin sodium 0,5 mg/ml
4°C
14 dní
Chránené pred svetlom 3888
Úroveň dôkazov D
polyetylén voda na injekciu 2,5 mg/ml
Injekcia   Gentamicin sulfate   
Injekcia   Trisodium citrate 40 mg/ml
25°C
112 dní
Chránené pred svetlom 3141
Úroveň dôkazov B
polypropylén 0,9% chlorid sodný 0,1 mg/ml
Injekcia   Gentamicin sulfate   
Injekcia   Heparin sodium 5000 UI/ml
4°C
28 dní
nešpecifikované 3956
biologická analýza
polyolefín Žiadny 0,75 mg/ml
Injekcia   Gentamicin sulfate   
Injekcia   Linezolid 1,80 mg/ml
23°C
5 dní
Chránené pred svetlom 2353
Úroveň dôkazov B+
polyolefín Žiadny 0,75 mg/ml
Injekcia   Gentamicin sulfate   
Injekcia   Linezolid 1,80 mg/ml
4°C
7 dní
Chránené pred svetlom 2353
Úroveň dôkazov B+
Injekčná striekačka polypropylén 0,9% chlorid sodný 30 mg/ml
Injekcia   Gentamicin sulfate   
Injekcia   Clindamycin phosphate 90 mg/ml
22°C-23°C
48 hodín
Za svetla 639
Úroveň dôkazov D
nešpecifikované voda na injekciu 2,5 mg/ml
Injekcia   Gentamicin sulfate   
Injekcia   Sodium citrate 40 mg/ml
37°C
96 hodín
nešpecifikované 3952
Úroveň dôkazov A
nešpecifikované 0,9% chlorid sodný 1,5 mg/ml
Injekcia   Gentamicin sulfate   
Injekcia   Daptomycin 19,2 mg/ml
22°C-28°C
2 hodín
nešpecifikované 1937
Úroveň dôkazov C+

  Mentions Légales