Ultimele actualizari :
18/03/2026
Antibiotic   Gentamicin sulfate  
Injectabil
colir
Stabilitatea in solutie Stabilitatea in amestec Factorii care influenteaza stabilitatea Compatibilitate Microunde Bibliografie pdf
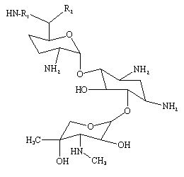
   Formula chimica  

Denumirea comerciala   Denumirea comerciala     

Trade names are indicative and excipients composition can be different depending on the country and manufacturers

Azupel Peru
Cidomycin Egipt, Marea Britanie, Tunisia
Dabroson Grecia
Epigent Egipt
Garalone Portugalia
Garamicina Brazilia, Columbia, Ecuador, Mexic
Garamycin Croatia, Danemarca, Egipt, Elvetia, Emiratele Arabe Unite, Grecia, India, Norvegia, Olanda, Polonia
Genmisin Turcia
Gensif Turcia
Gensumycin Finlanda, Norvegia, Suedia
Genta-Gobens Spania
Gentalline Maroc
Gentamen Maroc
Genticin Emiratele Arabe Unite, Irlanda, Marea Britanie
Gentreks Turcia
Hexamycin Danemarca
Plurisemina Argentina
Refobacin Austria, Columbia, Egipt, Germania
Rupegen Argentina
Stabilitatea in amestec   Injectabil   Stabilitatea in amestec : Gentamicin sulfate     
Continut Solvent Concentratie Molecula (substanta activa) Temperatura Conservare Durata stabilității Bibiografie
sticla clorura de sodiu 0,9% 0,75 mg/ml
Injectabil   Gentamicin sulfate   
Injectabil   Granisetron hydrochloride 0,5 mg/ml
20°C-23°C
4 Ora
Lumina 57
Nivel de evidență A+
sticla clorura de sodiu 0,9% 1 mg/ml
Injectabil   Gentamicin sulfate   
Injectabil   Cefpirome sulfate 50 mg/ml
23°C
8 Ora
Lumina 280
Nivel de evidență B+
sticla clorura de sodiu 0,9% 0,8 mg/ml
Injectabil   Gentamicin sulfate   
Injectabil   Cefazolin sodium 10 mg/ml
Injectabil   Clindamycin phosphate 9 mg/ml
25°C
12 Ora
Lumina 695
Joker
sticla Glucoza 5% 1 mg/ml
Injectabil   Gentamicin sulfate   
Injectabil   Cefpirome sulfate 50 mg/ml
23°C
8 Ora
Lumina 280
Nivel de evidență B+
sticla Glucoza 5% 0,32 mg/ml
Injectabil   Gentamicin sulfate   
Injectabil   Dopamine hydrochloride 0,8 mg/ml
23°C-25°C
24 Ora
Lumina 738
Joker
sticla Glucoza 5% 0,8 mg/ml
Injectabil   Gentamicin sulfate   
Injectabil   Cefazolin sodium 10 mg/ml
Injectabil   Clindamycin phosphate 9 mg/ml
25°C
1 Ora
Lumina 695
Joker
sticla Glucoza 5% 3,2 mg/ml
Injectabil   Gentamicin sulfate   
Injectabil   Filgrastim 40 µg/ml
25°C
4 Ora
Neprecizat 104
Nivel de evidență B
sticla Glucoza 5% 5.26 mg/ml
Injectabil   Gentamicin sulfate   
Injectabil   Palonosetron hydrochloride 26.7 µg/ml
25°C
4 Ora
Neprecizat 2228
Nivel de evidență A+
sticla Solutie Ringer lactat 1 mg/ml
Injectabil   Gentamicin sulfate   
Injectabil   Cefpirome sulfate 50 mg/ml
23°C
8 Ora
Lumina 280
Nivel de evidență B+
sticla clorura de sodiu 0,45% 1 mg/ml
Injectabil   Gentamicin sulfate   
Injectabil   Cefpirome sulfate 50 mg/ml
23°C
8 Ora
Lumina 280
Nivel de evidență B+
sticla fara 0,8 mg/ml
Injectabil   Gentamicin sulfate   
Injectabil   Ofloxacin 2 mg/ml
25°C
48 Ora
Neprecizat 889
Nivel de evidență D
clorura de polivinil clorura de sodiu 0,9% 1,2 mg/ml
Injectabil   Gentamicin sulfate   
Injectabil   Clindamycin phosphate 9 mg/ml
-20°C
28 Ziua
Ferit de lumina 565
Nivel de evidență D
clorura de polivinil clorura de sodiu 0,9% 1 mg/ml
Injectabil   Gentamicin sulfate   
Injectabil   Ciprofloxacin lactate 1,5 mg/ml
25°C
48 Ora
Lumina 434
clorura de polivinil clorura de sodiu 0,9% 0,2 & 0,8 mg/ml
Injectabil   Gentamicin sulfate   
Injectabil   Aztreonam 10 & 20 mg/ml
25°C
8 Ora
Neprecizat 19
Nivel de evidență D
clorura de polivinil clorura de sodiu 0,9% 0,2 & 0,8 mg/ml
Injectabil   Gentamicin sulfate   
Injectabil   Aztreonam 10 & 20 mg/ml
4°C
24 Ora
Ferit de lumina 19
Nivel de evidență D
clorura de polivinil clorura de sodiu 0,9% 1 mg/ml
Injectabil   Gentamicin sulfate   
Injectabil   Ciprofloxacin lactate 1,5 mg/ml
4°C
48 Ora
Ferit de lumina 434
clorura de polivinil Glucoza 5% 1,2 mg/ml
Injectabil   Gentamicin sulfate   
Injectabil   Clindamycin phosphate 9 mg/ml
-20°C
28 Ziua
Ferit de lumina 565
Nivel de evidență D
clorura de polivinil Glucoza 5% 5 mg/ml
Injectabil   Gentamicin sulfate   
Injectabil   Clindamycin phosphate 6 mg/ml
25°C
24 Ora
Lumina 423
Nivel de evidență D
clorura de polivinil Glucoza 5% 1 mg/ml
Injectabil   Gentamicin sulfate   
Injectabil   Ciprofloxacin lactate 1,5 mg/ml
25°C
48 Ora
Lumina 434
clorura de polivinil Glucoza 5% 0,2 & 0,8 mg/ml
Injectabil   Gentamicin sulfate   
Injectabil   Aztreonam 10 & 20 mg/ml
25°C
8 Ora
Neprecizat 19
Nivel de evidență D
clorura de polivinil Glucoza 5% 0,2 & 0,8 mg/ml
Injectabil   Gentamicin sulfate   
Injectabil   Aztreonam 10 & 20 mg/ml
4°C
24 Ora
Ferit de lumina 19
Nivel de evidență D
clorura de polivinil Glucoza 5% 1 mg/ml
Injectabil   Gentamicin sulfate   
Injectabil   Ciprofloxacin lactate 1,5 mg/ml
4°C
48 Ora
Ferit de lumina 434
clorura de polivinil Extraneal® (Baxter) 0,02 mg/ml
Injectabil   Gentamicin sulfate   
Injectabil   Cefazolin sodium 0,5 mg/ml
25°C
4 Ziua
Ferit de lumina 3888
Nivel de evidență D
clorura de polivinil Extraneal® (Baxter) 0,02 mg/ml
Injectabil   Gentamicin sulfate   
Injectabil   Vancomycin hydrochloride 1 mg/ml
25°C
14 Ziua
Ferit de lumina 3888
Nivel de evidență D
clorura de polivinil Extraneal® (Baxter) 0,02 mg/ml
Injectabil   Gentamicin sulfate   
Injectabil   Vancomycin hydrochloride 1 mg/ml
37°C
4 Ziua
Ferit de lumina 3888
Nivel de evidență D
clorura de polivinil Extraneal® (Baxter) 0,02 mg/ml
Injectabil   Gentamicin sulfate   
Injectabil   Cefazolin sodium 0,5 mg/ml
37°C
24 Ora
Ferit de lumina 3888
Nivel de evidență D
clorura de polivinil Extraneal® (Baxter) 0,02 mg/ml
Injectabil   Gentamicin sulfate   
Injectabil   Cefazolin sodium 0,5 mg/ml
4°C
14 Ziua
Ferit de lumina 3888
Nivel de evidență D
polietilen apa pentru preparate injectabile 2,5 mg/ml
Injectabil   Gentamicin sulfate   
Injectabil   Trisodium citrate 40 mg/ml
25°C
112 Ziua
Ferit de lumina 3141
Nivel de evidență B
polipropilen clorura de sodiu 0,9% 0,1 mg/ml
Injectabil   Gentamicin sulfate   
Injectabil   Heparin sodium 5000 UI/ml
4°C
28 Ziua
Neprecizat 3956
Analiza biologică
poliolefine fara 0,75 mg/ml
Injectabil   Gentamicin sulfate   
Injectabil   Linezolid 1,80 mg/ml
23°C
5 Ziua
Ferit de lumina 2353
Nivel de evidență B+
poliolefine fara 0,75 mg/ml
Injectabil   Gentamicin sulfate   
Injectabil   Linezolid 1,80 mg/ml
4°C
7 Ziua
Ferit de lumina 2353
Nivel de evidență B+
seringă polipropileno clorura de sodiu 0,9% 30 mg/ml
Injectabil   Gentamicin sulfate   
Injectabil   Clindamycin phosphate 90 mg/ml
22°C-23°C
48 Ora
Lumina 639
Nivel de evidență D
neprecizat apa pentru preparate injectabile 2,5 mg/ml
Injectabil   Gentamicin sulfate   
Injectabil   Sodium citrate 40 mg/ml
37°C
96 Ora
Neprecizat 3952
Nivel de evidență A
neprecizat clorura de sodiu 0,9% 1,5 mg/ml
Injectabil   Gentamicin sulfate   
Injectabil   Daptomycin 19,2 mg/ml
22°C-28°C
2 Ora
Neprecizat 1937
Nivel de evidență C+

  Mentions Légales