最新更新 :
18/03/2026
抗菌薬   Gentamicin sulfate  
注射薬
点眼薬
溶媒内の安定性 混合時の安定性 安定性に影響する因子 互換性 投与経路 引用文献 PDF
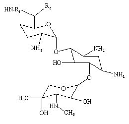
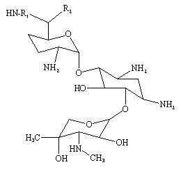
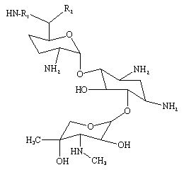
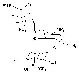
   化学構造  

商品名   商品名     

商品名、賦形剤は国、製薬会社ごとに異なることがあります

Azupel ペルー
Cidomycin イギリス, エジプト, チュニジア
Dabroson ギリシア
Epigent エジプト
Garalone ポルトガル
Garamicina エクアドル, コロンビア, ブラジル, メキシコ
Garamycin アラブ首長国連邦, インド, エジプト, オランダ, ギリシア, クロアチア, スイス, デンマーク, ノルウェー, ポーランド
Genmisin トルコ
Gensif トルコ
Gensumycin スウェーデン, ノルウェー, フィンランド
Genta-Gobens スペイン
Gentalline モロッコ
Gentamen モロッコ
Genticin アイルランド, アラブ首長国連邦, イギリス
Gentreks トルコ
Hexamycin デンマーク
Plurisemina アルゼンチン
Refobacin エジプト, オーストリア, コロンビア, ドイツ
Rupegen アルゼンチン
混合時の安定性   注射薬   混合時の安定性 : Gentamicin sulfate     
容器 溶媒 濃度 化合物 温度 保管 安定期間 引用文献
ガラス NaCl 0,9% 0,75 mg/ml
注射薬   Gentamicin sulfate   
注射薬   Granisetron hydrochloride 0,5 mg/ml
20°C-23°C
4 時間
光 57
エビデンスレベル A+
ガラス NaCl 0,9% 1 mg/ml
注射薬   Gentamicin sulfate   
注射薬   Cefpirome sulfate 50 mg/ml
23°C
8 時間
光 280
エビデンスレベル B+
ガラス NaCl 0,9% 0,8 mg/ml
注射薬   Gentamicin sulfate   
注射薬   Cefazolin sodium 10 mg/ml
注射薬   Clindamycin phosphate 9 mg/ml
25°C
12 時間
光 695
Joker
ガラス グルコース5% 1 mg/ml
注射薬   Gentamicin sulfate   
注射薬   Cefpirome sulfate 50 mg/ml
23°C
8 時間
光 280
エビデンスレベル B+
ガラス グルコース5% 0,32 mg/ml
注射薬   Gentamicin sulfate   
注射薬   Dopamine hydrochloride 0,8 mg/ml
23°C-25°C
24 時間
光 738
Joker
ガラス グルコース5% 0,8 mg/ml
注射薬   Gentamicin sulfate   
注射薬   Cefazolin sodium 10 mg/ml
注射薬   Clindamycin phosphate 9 mg/ml
25°C
1 時間
光 695
Joker
ガラス グルコース5% 3,2 mg/ml
注射薬   Gentamicin sulfate   
注射薬   Filgrastim 40 µg/ml
25°C
4 時間
特記なし 104
エビデンスレベル B
ガラス グルコース5% 5.26 mg/ml
注射薬   Gentamicin sulfate   
注射薬   Palonosetron hydrochloride 26.7 µg/ml
25°C
4 時間
特記なし 2228
エビデンスレベル A+
ガラス 乳酸リンゲル 1 mg/ml
注射薬   Gentamicin sulfate   
注射薬   Cefpirome sulfate 50 mg/ml
23°C
8 時間
光 280
エビデンスレベル B+
ガラス NaCl 0.45% 1 mg/ml
注射薬   Gentamicin sulfate   
注射薬   Cefpirome sulfate 50 mg/ml
23°C
8 時間
光 280
エビデンスレベル B+
ガラス なし 0,8 mg/ml
注射薬   Gentamicin sulfate   
注射薬   Ofloxacin 2 mg/ml
25°C
48 時間
特記なし 889
エビデンスレベル D
ポリ塩化ビニル(PVC) NaCl 0,9% 1,2 mg/ml
注射薬   Gentamicin sulfate   
注射薬   Clindamycin phosphate 9 mg/ml
-20°C
28 日
遮光 565
エビデンスレベル D
ポリ塩化ビニル(PVC) NaCl 0,9% 1 mg/ml
注射薬   Gentamicin sulfate   
注射薬   Ciprofloxacin lactate 1,5 mg/ml
25°C
48 時間
光 434
ポリ塩化ビニル(PVC) NaCl 0,9% 0,2 & 0,8 mg/ml
注射薬   Gentamicin sulfate   
注射薬   Aztreonam 10 & 20 mg/ml
25°C
8 時間
特記なし 19
エビデンスレベル D
ポリ塩化ビニル(PVC) NaCl 0,9% 0,2 & 0,8 mg/ml
注射薬   Gentamicin sulfate   
注射薬   Aztreonam 10 & 20 mg/ml
4°C
24 時間
遮光 19
エビデンスレベル D
ポリ塩化ビニル(PVC) NaCl 0,9% 1 mg/ml
注射薬   Gentamicin sulfate   
注射薬   Ciprofloxacin lactate 1,5 mg/ml
4°C
48 時間
遮光 434
ポリ塩化ビニル(PVC) グルコース5% 1,2 mg/ml
注射薬   Gentamicin sulfate   
注射薬   Clindamycin phosphate 9 mg/ml
-20°C
28 日
遮光 565
エビデンスレベル D
ポリ塩化ビニル(PVC) グルコース5% 5 mg/ml
注射薬   Gentamicin sulfate   
注射薬   Clindamycin phosphate 6 mg/ml
25°C
24 時間
光 423
エビデンスレベル D
ポリ塩化ビニル(PVC) グルコース5% 1 mg/ml
注射薬   Gentamicin sulfate   
注射薬   Ciprofloxacin lactate 1,5 mg/ml
25°C
48 時間
光 434
ポリ塩化ビニル(PVC) グルコース5% 0,2 & 0,8 mg/ml
注射薬   Gentamicin sulfate   
注射薬   Aztreonam 10 & 20 mg/ml
25°C
8 時間
特記なし 19
エビデンスレベル D
ポリ塩化ビニル(PVC) グルコース5% 0,2 & 0,8 mg/ml
注射薬   Gentamicin sulfate   
注射薬   Aztreonam 10 & 20 mg/ml
4°C
24 時間
遮光 19
エビデンスレベル D
ポリ塩化ビニル(PVC) グルコース5% 1 mg/ml
注射薬   Gentamicin sulfate   
注射薬   Ciprofloxacin lactate 1,5 mg/ml
4°C
48 時間
遮光 434
ポリ塩化ビニル(PVC) Extraneal® (Baxter) 0,02 mg/ml
注射薬   Gentamicin sulfate   
注射薬   Cefazolin sodium 0,5 mg/ml
25°C
4 日
遮光 3888
エビデンスレベル D
ポリ塩化ビニル(PVC) Extraneal® (Baxter) 0,02 mg/ml
注射薬   Gentamicin sulfate   
注射薬   Vancomycin hydrochloride 1 mg/ml
25°C
14 日
遮光 3888
エビデンスレベル D
ポリ塩化ビニル(PVC) Extraneal® (Baxter) 0,02 mg/ml
注射薬   Gentamicin sulfate   
注射薬   Vancomycin hydrochloride 1 mg/ml
37°C
4 日
遮光 3888
エビデンスレベル D
ポリ塩化ビニル(PVC) Extraneal® (Baxter) 0,02 mg/ml
注射薬   Gentamicin sulfate   
注射薬   Cefazolin sodium 0,5 mg/ml
37°C
24 時間
遮光 3888
エビデンスレベル D
ポリ塩化ビニル(PVC) Extraneal® (Baxter) 0,02 mg/ml
注射薬   Gentamicin sulfate   
注射薬   Cefazolin sodium 0,5 mg/ml
4°C
14 日
遮光 3888
エビデンスレベル D
ポリエチレン 注射用水 2,5 mg/ml
注射薬   Gentamicin sulfate   
注射薬   Trisodium citrate 40 mg/ml
25°C
112 日
遮光 3141
エビデンスレベル B
ポリプロピレン NaCl 0,9% 0,1 mg/ml
注射薬   Gentamicin sulfate   
注射薬   Heparin sodium 5000 UI/ml
4°C
28 日
特記なし 3956
生物学的分析
ポリオレフィン なし 0,75 mg/ml
注射薬   Gentamicin sulfate   
注射薬   Linezolid 1,80 mg/ml
23°C
5 日
遮光 2353
エビデンスレベル B+
ポリオレフィン なし 0,75 mg/ml
注射薬   Gentamicin sulfate   
注射薬   Linezolid 1,80 mg/ml
4°C
7 日
遮光 2353
エビデンスレベル B+
シリンジ ポリプロピレン NaCl 0,9% 30 mg/ml
注射薬   Gentamicin sulfate   
注射薬   Clindamycin phosphate 90 mg/ml
22°C-23°C
48 時間
光 639
エビデンスレベル D
指定なし 注射用水 2,5 mg/ml
注射薬   Gentamicin sulfate   
注射薬   Sodium citrate 40 mg/ml
37°C
96 時間
特記なし 3952
エビデンスレベル A
指定なし NaCl 0,9% 1,5 mg/ml
注射薬   Gentamicin sulfate   
注射薬   Daptomycin 19,2 mg/ml
22°C-28°C
2 時間
特記なし 1937
エビデンスレベル C+

  Mentions Légales