Τελευταία ενημέρωση :
18/03/2026
Αντιβιοτικό   Gentamicin sulfate  
Ενέσιμο
Οφθαλμικές σταγόνες
Σταθερότητα διαλυμάτων Σταθερότητα σε μίγματα Παράγοντας που επηρεάζει τη σταθερότητα Συμβατότητες Τρόπος χορήγησης Βιβλιογραφία pdf
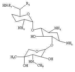
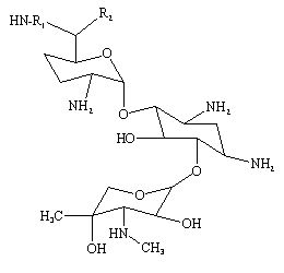
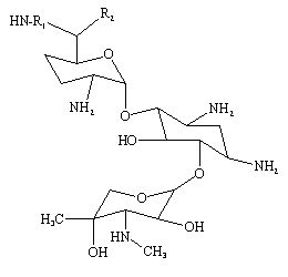
   χημική δομή  

Εμπορική ονομασία   Εμπορική ονομασία     

Οι εμπορικές ονομασίες είναι ενδεικτικές και η σύνθεση των εκδόχων μπορεί να διαφέρει ανάλογα με τη χώρα και τα εργαστήρια

Azupel Περού
Cidomycin Αίγυπτος, Μεγάλη Βρετανία, Τυνησία
Dabroson Ελλάδα
Epigent Αίγυπτος
Garalone Πορτογαλία
Garamicina Βραζιλία, Εκουαδόρ, Κολομβία, Μεξικό
Garamycin Yhdistyneet arabiemiirikunnat, Αίγυπτος, Δανία, Ελβετία, Ελλάδα, Ινδία, Κροατία, Νορβηγία, Ολλανδία, Πολωνία
Genmisin Τουρκία
Gensif Τουρκία
Gensumycin Νορβηγία, Σουηδία, Φινλανδία
Genta-Gobens Ισπανία
Gentalline Μαρόκο
Gentamen Μαρόκο
Genticin Yhdistyneet arabiemiirikunnat, Ιρλανδία, Μεγάλη Βρετανία
Gentreks Τουρκία
Hexamycin Δανία
Plurisemina Αργεντινή
Refobacin Αίγυπτος, Αυστρία, Γερμανία, Κολομβία
Rupegen Αργεντινή
Σταθερότητα σε μίγματα   Ενέσιμο   Σταθερότητα σε μίγματα : Gentamicin sulfate     
Υποδοχέας Διαλυτικό Συγκέντρωση Συστατικό Θερμοκρασία Αποθήκευση Διάρκεια σταθερότητας Βιβλιογραφία
Ύαλος Χλωριούχο νάτριο 0,9% 0,75 mg/ml
Ενέσιμο   Gentamicin sulfate   
Ενέσιμο   Granisetron hydrochloride 0,5 mg/ml
20°C-23°C
4 Ώρα
Φως 57
Επίπεδο των αποδεικτικών στοιχείων A+
Ύαλος Χλωριούχο νάτριο 0,9% 1 mg/ml
Ενέσιμο   Gentamicin sulfate   
Ενέσιμο   Cefpirome sulfate 50 mg/ml
23°C
8 Ώρα
Φως 280
Επίπεδο των αποδεικτικών στοιχείων B+
Ύαλος Χλωριούχο νάτριο 0,9% 0,8 mg/ml
Ενέσιμο   Gentamicin sulfate   
Ενέσιμο   Cefazolin sodium 10 mg/ml
Ενέσιμο   Clindamycin phosphate 9 mg/ml
25°C
12 Ώρα
Φως 695
Τζόκερ
Ύαλος Γλυκόζη 5% 1 mg/ml
Ενέσιμο   Gentamicin sulfate   
Ενέσιμο   Cefpirome sulfate 50 mg/ml
23°C
8 Ώρα
Φως 280
Επίπεδο των αποδεικτικών στοιχείων B+
Ύαλος Γλυκόζη 5% 0,32 mg/ml
Ενέσιμο   Gentamicin sulfate   
Ενέσιμο   Dopamine hydrochloride 0,8 mg/ml
23°C-25°C
24 Ώρα
Φως 738
Τζόκερ
Ύαλος Γλυκόζη 5% 0,8 mg/ml
Ενέσιμο   Gentamicin sulfate   
Ενέσιμο   Cefazolin sodium 10 mg/ml
Ενέσιμο   Clindamycin phosphate 9 mg/ml
25°C
1 Ώρα
Φως 695
Τζόκερ
Ύαλος Γλυκόζη 5% 3,2 mg/ml
Ενέσιμο   Gentamicin sulfate   
Ενέσιμο   Filgrastim 40 µg/ml
25°C
4 Ώρα
Απροσδιόριστο 104
Επίπεδο των αποδεικτικών στοιχείων B
Ύαλος Γλυκόζη 5% 5.26 mg/ml
Ενέσιμο   Gentamicin sulfate   
Ενέσιμο   Palonosetron hydrochloride 26.7 µg/ml
25°C
4 Ώρα
Απροσδιόριστο 2228
Επίπεδο των αποδεικτικών στοιχείων A+
Ύαλος Γαλακτικό διάλυμα Ringer 1 mg/ml
Ενέσιμο   Gentamicin sulfate   
Ενέσιμο   Cefpirome sulfate 50 mg/ml
23°C
8 Ώρα
Φως 280
Επίπεδο των αποδεικτικών στοιχείων B+
Ύαλος Χλωριούχο νάτριο 0,45% 1 mg/ml
Ενέσιμο   Gentamicin sulfate   
Ενέσιμο   Cefpirome sulfate 50 mg/ml
23°C
8 Ώρα
Φως 280
Επίπεδο των αποδεικτικών στοιχείων B+
Ύαλος Ουδέν 0,8 mg/ml
Ενέσιμο   Gentamicin sulfate   
Ενέσιμο   Ofloxacin 2 mg/ml
25°C
48 Ώρα
Απροσδιόριστο 889
Επίπεδο των αποδεικτικών στοιχείων D
Πολυβινυλοχλωρίδιο Χλωριούχο νάτριο 0,9% 1,2 mg/ml
Ενέσιμο   Gentamicin sulfate   
Ενέσιμο   Clindamycin phosphate 9 mg/ml
-20°C
28 Ημέρα
Προστατεύετε από το φως 565
Επίπεδο των αποδεικτικών στοιχείων D
Πολυβινυλοχλωρίδιο Χλωριούχο νάτριο 0,9% 1 mg/ml
Ενέσιμο   Gentamicin sulfate   
Ενέσιμο   Ciprofloxacin lactate 1,5 mg/ml
25°C
48 Ώρα
Φως 434
Πολυβινυλοχλωρίδιο Χλωριούχο νάτριο 0,9% 0,2 & 0,8 mg/ml
Ενέσιμο   Gentamicin sulfate   
Ενέσιμο   Aztreonam 10 & 20 mg/ml
25°C
8 Ώρα
Απροσδιόριστο 19
Επίπεδο των αποδεικτικών στοιχείων D
Πολυβινυλοχλωρίδιο Χλωριούχο νάτριο 0,9% 0,2 & 0,8 mg/ml
Ενέσιμο   Gentamicin sulfate   
Ενέσιμο   Aztreonam 10 & 20 mg/ml
4°C
24 Ώρα
Προστατεύετε από το φως 19
Επίπεδο των αποδεικτικών στοιχείων D
Πολυβινυλοχλωρίδιο Χλωριούχο νάτριο 0,9% 1 mg/ml
Ενέσιμο   Gentamicin sulfate   
Ενέσιμο   Ciprofloxacin lactate 1,5 mg/ml
4°C
48 Ώρα
Προστατεύετε από το φως 434
Πολυβινυλοχλωρίδιο Γλυκόζη 5% 1,2 mg/ml
Ενέσιμο   Gentamicin sulfate   
Ενέσιμο   Clindamycin phosphate 9 mg/ml
-20°C
28 Ημέρα
Προστατεύετε από το φως 565
Επίπεδο των αποδεικτικών στοιχείων D
Πολυβινυλοχλωρίδιο Γλυκόζη 5% 5 mg/ml
Ενέσιμο   Gentamicin sulfate   
Ενέσιμο   Clindamycin phosphate 6 mg/ml
25°C
24 Ώρα
Φως 423
Επίπεδο των αποδεικτικών στοιχείων D
Πολυβινυλοχλωρίδιο Γλυκόζη 5% 1 mg/ml
Ενέσιμο   Gentamicin sulfate   
Ενέσιμο   Ciprofloxacin lactate 1,5 mg/ml
25°C
48 Ώρα
Φως 434
Πολυβινυλοχλωρίδιο Γλυκόζη 5% 0,2 & 0,8 mg/ml
Ενέσιμο   Gentamicin sulfate   
Ενέσιμο   Aztreonam 10 & 20 mg/ml
25°C
8 Ώρα
Απροσδιόριστο 19
Επίπεδο των αποδεικτικών στοιχείων D
Πολυβινυλοχλωρίδιο Γλυκόζη 5% 0,2 & 0,8 mg/ml
Ενέσιμο   Gentamicin sulfate   
Ενέσιμο   Aztreonam 10 & 20 mg/ml
4°C
24 Ώρα
Προστατεύετε από το φως 19
Επίπεδο των αποδεικτικών στοιχείων D
Πολυβινυλοχλωρίδιο Γλυκόζη 5% 1 mg/ml
Ενέσιμο   Gentamicin sulfate   
Ενέσιμο   Ciprofloxacin lactate 1,5 mg/ml
4°C
48 Ώρα
Προστατεύετε από το φως 434
Πολυβινυλοχλωρίδιο Extraneal® (Baxter) 0,02 mg/ml
Ενέσιμο   Gentamicin sulfate   
Ενέσιμο   Cefazolin sodium 0,5 mg/ml
25°C
4 Ημέρα
Προστατεύετε από το φως 3888
Επίπεδο των αποδεικτικών στοιχείων D
Πολυβινυλοχλωρίδιο Extraneal® (Baxter) 0,02 mg/ml
Ενέσιμο   Gentamicin sulfate   
Ενέσιμο   Vancomycin hydrochloride 1 mg/ml
25°C
14 Ημέρα
Προστατεύετε από το φως 3888
Επίπεδο των αποδεικτικών στοιχείων D
Πολυβινυλοχλωρίδιο Extraneal® (Baxter) 0,02 mg/ml
Ενέσιμο   Gentamicin sulfate   
Ενέσιμο   Vancomycin hydrochloride 1 mg/ml
37°C
4 Ημέρα
Προστατεύετε από το φως 3888
Επίπεδο των αποδεικτικών στοιχείων D
Πολυβινυλοχλωρίδιο Extraneal® (Baxter) 0,02 mg/ml
Ενέσιμο   Gentamicin sulfate   
Ενέσιμο   Cefazolin sodium 0,5 mg/ml
37°C
24 Ώρα
Προστατεύετε από το φως 3888
Επίπεδο των αποδεικτικών στοιχείων D
Πολυβινυλοχλωρίδιο Extraneal® (Baxter) 0,02 mg/ml
Ενέσιμο   Gentamicin sulfate   
Ενέσιμο   Cefazolin sodium 0,5 mg/ml
4°C
14 Ημέρα
Προστατεύετε από το φως 3888
Επίπεδο των αποδεικτικών στοιχείων D
Πολυαιθυλένιο Ενέσιμο ύδωρ 2,5 mg/ml
Ενέσιμο   Gentamicin sulfate   
Ενέσιμο   Trisodium citrate 40 mg/ml
25°C
112 Ημέρα
Προστατεύετε από το φως 3141
Επίπεδο των αποδεικτικών στοιχείων B
Πολυπροπυλένιο Χλωριούχο νάτριο 0,9% 0,1 mg/ml
Ενέσιμο   Gentamicin sulfate   
Ενέσιμο   Heparin sodium 5000 UI/ml
4°C
28 Ημέρα
Απροσδιόριστο 3956
Βιολογική ανάλυση
Πολυολεφίνη Ουδέν 0,75 mg/ml
Ενέσιμο   Gentamicin sulfate   
Ενέσιμο   Linezolid 1,80 mg/ml
23°C
5 Ημέρα
Προστατεύετε από το φως 2353
Επίπεδο των αποδεικτικών στοιχείων B+
Πολυολεφίνη Ουδέν 0,75 mg/ml
Ενέσιμο   Gentamicin sulfate   
Ενέσιμο   Linezolid 1,80 mg/ml
4°C
7 Ημέρα
Προστατεύετε από το φως 2353
Επίπεδο των αποδεικτικών στοιχείων B+
σύριγγα πολυπροπυλένιο Χλωριούχο νάτριο 0,9% 30 mg/ml
Ενέσιμο   Gentamicin sulfate   
Ενέσιμο   Clindamycin phosphate 90 mg/ml
22°C-23°C
48 Ώρα
Φως 639
Επίπεδο των αποδεικτικών στοιχείων D
Απροσδιόριστο Ενέσιμο ύδωρ 2,5 mg/ml
Ενέσιμο   Gentamicin sulfate   
Ενέσιμο   Sodium citrate 40 mg/ml
37°C
96 Ώρα
Απροσδιόριστο 3952
Επίπεδο των αποδεικτικών στοιχείων A
Απροσδιόριστο Χλωριούχο νάτριο 0,9% 1,5 mg/ml
Ενέσιμο   Gentamicin sulfate   
Ενέσιμο   Daptomycin 19,2 mg/ml
22°C-28°C
2 Ώρα
Απροσδιόριστο 1937
Επίπεδο των αποδεικτικών στοιχείων C+

  Mentions Légales