最新更新 :
18/03/2026
抗生素   Gentamicin sulfate  
注射液
眼药水
溶液稳定性 混合物稳定性 影响稳定性的因素 兼容性 用药途径 引用文献 PDF
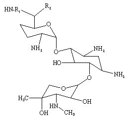
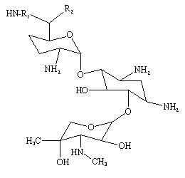
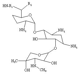
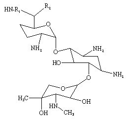
   化学式  

商品名   商品名     

商品名仅供参考, 药品所用的辅料可能依国家或厂商不同有所不同。

Azupel 秘鲁
Cidomycin 埃及, 突尼斯, 英国
Dabroson 希腊
Epigent 埃及
Garalone 葡萄牙
Garamicina 厄瓜多尔, 哥伦比亚, 墨西哥, 巴西
Garamycin 丹麦, 克罗地亚, 印度, 埃及, 希腊, 挪威, 波兰, 瑞士, 荷兰, 阿联酋
Genmisin 土耳其
Gensif 土耳其
Gensumycin 挪威, 瑞典, 芬兰
Genta-Gobens 西班牙
Gentalline 摩洛哥
Gentamen 摩洛哥
Genticin 爱尔兰, 英国, 阿联酋
Gentreks 土耳其
Hexamycin 丹麦
Plurisemina 阿根廷
Refobacin 哥伦比亚, 埃及, 奥地利, 德国
Rupegen 阿根廷
混合物稳定性   注射液   混合物稳定性 : Gentamicin sulfate     
容器 溶剂 浓度 分子 温度 保存 穩定持續時間 引用文献
玻璃 NaCl 0,9% 0,75 mg/ml
注射液   Gentamicin sulfate   
注射液   Granisetron hydrochloride 0,5 mg/ml
20°C-23°C
4 小时
光 57
A+级
玻璃 NaCl 0,9% 1 mg/ml
注射液   Gentamicin sulfate   
注射液   Cefpirome sulfate 50 mg/ml
23°C
8 小时
光 280
B+级
玻璃 NaCl 0,9% 0,8 mg/ml
注射液   Gentamicin sulfate   
注射液   Cefazolin sodium 10 mg/ml
注射液   Clindamycin phosphate 9 mg/ml
25°C
12 小时
光 695
Joker
玻璃 葡萄糖5% 1 mg/ml
注射液   Gentamicin sulfate   
注射液   Cefpirome sulfate 50 mg/ml
23°C
8 小时
光 280
B+级
玻璃 葡萄糖5% 0,32 mg/ml
注射液   Gentamicin sulfate   
注射液   Dopamine hydrochloride 0,8 mg/ml
23°C-25°C
24 小时
光 738
Joker
玻璃 葡萄糖5% 0,8 mg/ml
注射液   Gentamicin sulfate   
注射液   Cefazolin sodium 10 mg/ml
注射液   Clindamycin phosphate 9 mg/ml
25°C
1 小时
光 695
Joker
玻璃 葡萄糖5% 3,2 mg/ml
注射液   Gentamicin sulfate   
注射液   Filgrastim 40 µg/ml
25°C
4 小时
无特殊要求 104
B级
玻璃 葡萄糖5% 5.26 mg/ml
注射液   Gentamicin sulfate   
注射液   Palonosetron hydrochloride 26.7 µg/ml
25°C
4 小时
无特殊要求 2228
A+级
玻璃 Ringer乳酸溶液 1 mg/ml
注射液   Gentamicin sulfate   
注射液   Cefpirome sulfate 50 mg/ml
23°C
8 小时
光 280
B+级
玻璃 NaCl 0.45% 1 mg/ml
注射液   Gentamicin sulfate   
注射液   Cefpirome sulfate 50 mg/ml
23°C
8 小时
光 280
B+级
玻璃 无 0,8 mg/ml
注射液   Gentamicin sulfate   
注射液   Ofloxacin 2 mg/ml
25°C
48 小时
无特殊要求 889
D级
聚氯乙烯 NaCl 0,9% 1,2 mg/ml
注射液   Gentamicin sulfate   
注射液   Clindamycin phosphate 9 mg/ml
-20°C
28 白天
避光 565
D级
聚氯乙烯 NaCl 0,9% 1 mg/ml
注射液   Gentamicin sulfate   
注射液   Ciprofloxacin lactate 1,5 mg/ml
25°C
48 小时
光 434
聚氯乙烯 NaCl 0,9% 0,2 & 0,8 mg/ml
注射液   Gentamicin sulfate   
注射液   Aztreonam 10 & 20 mg/ml
25°C
8 小时
无特殊要求 19
D级
聚氯乙烯 NaCl 0,9% 0,2 & 0,8 mg/ml
注射液   Gentamicin sulfate   
注射液   Aztreonam 10 & 20 mg/ml
4°C
24 小时
避光 19
D级
聚氯乙烯 NaCl 0,9% 1 mg/ml
注射液   Gentamicin sulfate   
注射液   Ciprofloxacin lactate 1,5 mg/ml
4°C
48 小时
避光 434
聚氯乙烯 葡萄糖5% 1,2 mg/ml
注射液   Gentamicin sulfate   
注射液   Clindamycin phosphate 9 mg/ml
-20°C
28 白天
避光 565
D级
聚氯乙烯 葡萄糖5% 5 mg/ml
注射液   Gentamicin sulfate   
注射液   Clindamycin phosphate 6 mg/ml
25°C
24 小时
光 423
D级
聚氯乙烯 葡萄糖5% 1 mg/ml
注射液   Gentamicin sulfate   
注射液   Ciprofloxacin lactate 1,5 mg/ml
25°C
48 小时
光 434
聚氯乙烯 葡萄糖5% 0,2 & 0,8 mg/ml
注射液   Gentamicin sulfate   
注射液   Aztreonam 10 & 20 mg/ml
25°C
8 小时
无特殊要求 19
D级
聚氯乙烯 葡萄糖5% 0,2 & 0,8 mg/ml
注射液   Gentamicin sulfate   
注射液   Aztreonam 10 & 20 mg/ml
4°C
24 小时
避光 19
D级
聚氯乙烯 葡萄糖5% 1 mg/ml
注射液   Gentamicin sulfate   
注射液   Ciprofloxacin lactate 1,5 mg/ml
4°C
48 小时
避光 434
聚氯乙烯 Extraneal® (Baxter) 0,02 mg/ml
注射液   Gentamicin sulfate   
注射液   Cefazolin sodium 0,5 mg/ml
25°C
4 白天
避光 3888
D级
聚氯乙烯 Extraneal® (Baxter) 0,02 mg/ml
注射液   Gentamicin sulfate   
注射液   Vancomycin hydrochloride 1 mg/ml
25°C
14 白天
避光 3888
D级
聚氯乙烯 Extraneal® (Baxter) 0,02 mg/ml
注射液   Gentamicin sulfate   
注射液   Vancomycin hydrochloride 1 mg/ml
37°C
4 白天
避光 3888
D级
聚氯乙烯 Extraneal® (Baxter) 0,02 mg/ml
注射液   Gentamicin sulfate   
注射液   Cefazolin sodium 0,5 mg/ml
37°C
24 小时
避光 3888
D级
聚氯乙烯 Extraneal® (Baxter) 0,02 mg/ml
注射液   Gentamicin sulfate   
注射液   Cefazolin sodium 0,5 mg/ml
4°C
14 白天
避光 3888
D级
聚乙烯 注射用水 2,5 mg/ml
注射液   Gentamicin sulfate   
注射液   Trisodium citrate 40 mg/ml
25°C
112 白天
避光 3141
B级
聚丙烯 NaCl 0,9% 0,1 mg/ml
注射液   Gentamicin sulfate   
注射液   Heparin sodium 5000 UI/ml
4°C
28 白天
无特殊要求 3956
生物检测
聚烯烃 无 0,75 mg/ml
注射液   Gentamicin sulfate   
注射液   Linezolid 1,80 mg/ml
23°C
5 白天
避光 2353
B+级
聚烯烃 无 0,75 mg/ml
注射液   Gentamicin sulfate   
注射液   Linezolid 1,80 mg/ml
4°C
7 白天
避光 2353
B+级
注射器  聚丙烯 NaCl 0,9% 30 mg/ml
注射液   Gentamicin sulfate   
注射液   Clindamycin phosphate 90 mg/ml
22°C-23°C
48 小时
光 639
D级
不详 注射用水 2,5 mg/ml
注射液   Gentamicin sulfate   
注射液   Sodium citrate 40 mg/ml
37°C
96 小时
无特殊要求 3952
A级
不详 NaCl 0,9% 1,5 mg/ml
注射液   Gentamicin sulfate   
注射液   Daptomycin 19,2 mg/ml
22°C-28°C
2 小时
无特殊要求 1937
C+级

  Mentions Légales