Laatste update :
17/12/2025
Antibioticum   Gentamicin sulfate  
injecteerbaar geneesmiddel
Oogwater
Stabiliteit in oplossing Stabiliteit in mengsels Factoren die de stabiliteit beïnvloeden Verenigbaarheden Toedieningswijze Literatuur pdf
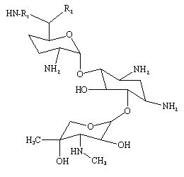
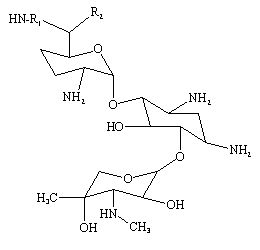
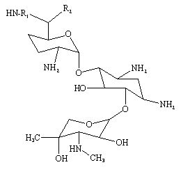
   Molecuulstructuur  

Merknamen in verschillende landen   Merknamen in verschillende landen     

Handelsnamen zijn slechts een indicatie; de samenstelling van hulpstoffen kan per land variëren afhankelijk van de fabrikant

Azupel Peru
Cidomycin Egypte, Groot Britannië, Tunisie
Dabroson Griekenland
Epigent Egypte
Garalone Portugal
Garamicina Brazilië, Colombia, Ecuador, Mexico
Garamycin Denemarken, Egypte, Griekenland, Indië, Kroatië, Nederland, Noorwegen, Polen, Verenigde Arabische Emiraten, Zwitserland
Genmisin Turkije
Gensif Turkije
Gensumycin Finland, Noorwegen, Zweden
Genta-Gobens Spanje
Gentalline Marokko
Gentamen Marokko
Genticin Groot Britannië, Ierland, Verenigde Arabische Emiraten
Gentreks Turkije
Hexamycin Denemarken
Plurisemina Argentinië
Refobacin Colombia, Duitsland, Egypte, Oostenrijk
Rupegen Argentinië
Stabiliteit in mengsels   injecteerbaar geneesmiddel   Stabiliteit in mengsels : Gentamicin sulfate     
Verpakking Oplosmiddel Concentratie Stof Temperatuur Bewaring Duur van de stabiliteit Literatuur
Glas Natriumchloride 0,9% 0,75 mg/ml
injecteerbaar geneesmiddel   Gentamicin sulfate   
injecteerbaar geneesmiddel   Granisetron hydrochloride 0,5 mg/ml
20°C-23°C
4 Uur
Licht 57
Bewijsniveau A+
Glas Natriumchloride 0,9% 1 mg/ml
injecteerbaar geneesmiddel   Gentamicin sulfate   
injecteerbaar geneesmiddel   Cefpirome sulfate 50 mg/ml
23°C
8 Uur
Licht 280
Niveau van bewijs B+
Glas Natriumchloride 0,9% 0,8 mg/ml
injecteerbaar geneesmiddel   Gentamicin sulfate   
injecteerbaar geneesmiddel   Cefazolin sodium 10 mg/ml
injecteerbaar geneesmiddel   Clindamycin phosphate 9 mg/ml
25°C
12 Uur
Licht 695
Joker
Glas Glucose 5% 1 mg/ml
injecteerbaar geneesmiddel   Gentamicin sulfate   
injecteerbaar geneesmiddel   Cefpirome sulfate 50 mg/ml
23°C
8 Uur
Licht 280
Niveau van bewijs B+
Glas Glucose 5% 0,32 mg/ml
injecteerbaar geneesmiddel   Gentamicin sulfate   
injecteerbaar geneesmiddel   Dopamine hydrochloride 0,8 mg/ml
23°C-25°C
24 Uur
Licht 738
Joker
Glas Glucose 5% 0,8 mg/ml
injecteerbaar geneesmiddel   Gentamicin sulfate   
injecteerbaar geneesmiddel   Cefazolin sodium 10 mg/ml
injecteerbaar geneesmiddel   Clindamycin phosphate 9 mg/ml
25°C
1 Uur
Licht 695
Joker
Glas Glucose 5% 3,2 mg/ml
injecteerbaar geneesmiddel   Gentamicin sulfate   
injecteerbaar geneesmiddel   Filgrastim 40 µg/ml
25°C
4 Uur
Niet gespecificeerd 104
Bewijsniveau B
Glas Glucose 5% 5.26 mg/ml
injecteerbaar geneesmiddel   Gentamicin sulfate   
injecteerbaar geneesmiddel   Palonosetron hydrochloride 26.7 µg/ml
25°C
4 Uur
Niet gespecificeerd 2228
Bewijsniveau A+
Glas Ringer-lactaat 1 mg/ml
injecteerbaar geneesmiddel   Gentamicin sulfate   
injecteerbaar geneesmiddel   Cefpirome sulfate 50 mg/ml
23°C
8 Uur
Licht 280
Niveau van bewijs B+
Glas Natriumchloride 0,45 % 1 mg/ml
injecteerbaar geneesmiddel   Gentamicin sulfate   
injecteerbaar geneesmiddel   Cefpirome sulfate 50 mg/ml
23°C
8 Uur
Licht 280
Niveau van bewijs B+
Glas Geen 0,8 mg/ml
injecteerbaar geneesmiddel   Gentamicin sulfate   
injecteerbaar geneesmiddel   Ofloxacin 2 mg/ml
25°C
48 Uur
Niet gespecificeerd 889
Bewijsniveau D
Polyvinylchloride (PVC) Natriumchloride 0,9% 1,2 mg/ml
injecteerbaar geneesmiddel   Gentamicin sulfate   
injecteerbaar geneesmiddel   Clindamycin phosphate 9 mg/ml
-20°C
28 Dag
Buiten invloed van licht 565
Bewijsniveau D
Polyvinylchloride (PVC) Natriumchloride 0,9% 1 mg/ml
injecteerbaar geneesmiddel   Gentamicin sulfate   
injecteerbaar geneesmiddel   Ciprofloxacin lactate 1,5 mg/ml
25°C
48 Uur
Licht 434
Polyvinylchloride (PVC) Natriumchloride 0,9% 0,2 & 0,8 mg/ml
injecteerbaar geneesmiddel   Gentamicin sulfate   
injecteerbaar geneesmiddel   Aztreonam 10 & 20 mg/ml
25°C
8 Uur
Niet gespecificeerd 19
Bewijsniveau D
Polyvinylchloride (PVC) Natriumchloride 0,9% 0,2 & 0,8 mg/ml
injecteerbaar geneesmiddel   Gentamicin sulfate   
injecteerbaar geneesmiddel   Aztreonam 10 & 20 mg/ml
4°C
24 Uur
Buiten invloed van licht 19
Bewijsniveau D
Polyvinylchloride (PVC) Natriumchloride 0,9% 1 mg/ml
injecteerbaar geneesmiddel   Gentamicin sulfate   
injecteerbaar geneesmiddel   Ciprofloxacin lactate 1,5 mg/ml
4°C
48 Uur
Buiten invloed van licht 434
Polyvinylchloride (PVC) Glucose 5% 1,2 mg/ml
injecteerbaar geneesmiddel   Gentamicin sulfate   
injecteerbaar geneesmiddel   Clindamycin phosphate 9 mg/ml
-20°C
28 Dag
Buiten invloed van licht 565
Bewijsniveau D
Polyvinylchloride (PVC) Glucose 5% 5 mg/ml
injecteerbaar geneesmiddel   Gentamicin sulfate   
injecteerbaar geneesmiddel   Clindamycin phosphate 6 mg/ml
25°C
24 Uur
Licht 423
Bewijsniveau D
Polyvinylchloride (PVC) Glucose 5% 1 mg/ml
injecteerbaar geneesmiddel   Gentamicin sulfate   
injecteerbaar geneesmiddel   Ciprofloxacin lactate 1,5 mg/ml
25°C
48 Uur
Licht 434
Polyvinylchloride (PVC) Glucose 5% 0,2 & 0,8 mg/ml
injecteerbaar geneesmiddel   Gentamicin sulfate   
injecteerbaar geneesmiddel   Aztreonam 10 & 20 mg/ml
25°C
8 Uur
Niet gespecificeerd 19
Bewijsniveau D
Polyvinylchloride (PVC) Glucose 5% 0,2 & 0,8 mg/ml
injecteerbaar geneesmiddel   Gentamicin sulfate   
injecteerbaar geneesmiddel   Aztreonam 10 & 20 mg/ml
4°C
24 Uur
Buiten invloed van licht 19
Bewijsniveau D
Polyvinylchloride (PVC) Glucose 5% 1 mg/ml
injecteerbaar geneesmiddel   Gentamicin sulfate   
injecteerbaar geneesmiddel   Ciprofloxacin lactate 1,5 mg/ml
4°C
48 Uur
Buiten invloed van licht 434
Polyvinylchloride (PVC) Extraneal® (Baxter) 0,02 mg/ml
injecteerbaar geneesmiddel   Gentamicin sulfate   
injecteerbaar geneesmiddel   Cefazolin sodium 0,5 mg/ml
25°C
4 Dag
Buiten invloed van licht 3888
Bewijsniveau D
Polyvinylchloride (PVC) Extraneal® (Baxter) 0,02 mg/ml
injecteerbaar geneesmiddel   Gentamicin sulfate   
injecteerbaar geneesmiddel   Vancomycin hydrochloride 1 mg/ml
25°C
14 Dag
Buiten invloed van licht 3888
Bewijsniveau D
Polyvinylchloride (PVC) Extraneal® (Baxter) 0,02 mg/ml
injecteerbaar geneesmiddel   Gentamicin sulfate   
injecteerbaar geneesmiddel   Vancomycin hydrochloride 1 mg/ml
37°C
4 Dag
Buiten invloed van licht 3888
Bewijsniveau D
Polyvinylchloride (PVC) Extraneal® (Baxter) 0,02 mg/ml
injecteerbaar geneesmiddel   Gentamicin sulfate   
injecteerbaar geneesmiddel   Cefazolin sodium 0,5 mg/ml
37°C
24 Uur
Buiten invloed van licht 3888
Bewijsniveau D
Polyvinylchloride (PVC) Extraneal® (Baxter) 0,02 mg/ml
injecteerbaar geneesmiddel   Gentamicin sulfate   
injecteerbaar geneesmiddel   Cefazolin sodium 0,5 mg/ml
4°C
14 Dag
Buiten invloed van licht 3888
Bewijsniveau D
Polyethyleen (PE) Water voor injectie 2,5 mg/ml
injecteerbaar geneesmiddel   Gentamicin sulfate   
injecteerbaar geneesmiddel   Trisodium citrate 40 mg/ml
25°C
112 Dag
Buiten invloed van licht 3141
Bewijsniveau B
Polypropyleen (PP) Natriumchloride 0,9% 0,1 mg/ml
injecteerbaar geneesmiddel   Gentamicin sulfate   
injecteerbaar geneesmiddel   Heparin sodium 5000 UI/ml
4°C
28 Dag
Niet gespecificeerd 3956
Biologische analyse
Polyolefine Geen 0,75 mg/ml
injecteerbaar geneesmiddel   Gentamicin sulfate   
injecteerbaar geneesmiddel   Linezolid 1,80 mg/ml
23°C
5 Dag
Buiten invloed van licht 2353
Niveau van bewijs B+
Polyolefine Geen 0,75 mg/ml
injecteerbaar geneesmiddel   Gentamicin sulfate   
injecteerbaar geneesmiddel   Linezolid 1,80 mg/ml
4°C
7 Dag
Buiten invloed van licht 2353
Niveau van bewijs B+
injectiespuit polypropyleen Natriumchloride 0,9% 30 mg/ml
injecteerbaar geneesmiddel   Gentamicin sulfate   
injecteerbaar geneesmiddel   Clindamycin phosphate 90 mg/ml
22°C-23°C
48 Uur
Licht 639
Bewijsniveau D
Niet gespecificeerd Water voor injectie 2,5 mg/ml
injecteerbaar geneesmiddel   Gentamicin sulfate   
injecteerbaar geneesmiddel   Sodium citrate 40 mg/ml
37°C
96 Uur
Niet gespecificeerd 3952
Bewijsniveau A
Niet gespecificeerd Natriumchloride 0,9% 1,5 mg/ml
injecteerbaar geneesmiddel   Gentamicin sulfate   
injecteerbaar geneesmiddel   Daptomycin 19,2 mg/ml
22°C-28°C
2 Uur
Niet gespecificeerd 1937
Bewijsniveau C+

  Mentions Légales