Poslední aktualizace :
18/03/2026
Antibiotikum   Gentamicin sulfate  
injekce
Humbuk
Stabilita roztoků Stabilita směsí Faktory ovlivňující stabilitu Kompatibilita Způsoby aplikace Odkazy pdf
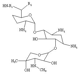
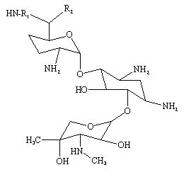
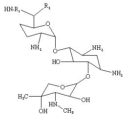
   Chemický vzorec  

Obchodní název   Obchodní název     

Trade names are indicative and excipients composition can be different depending on the country and manufacturers

Azupel Peru
Cidomycin Egypt, Tunisko, Velká Británie
Dabroson ÿecko
Epigent Egypt
Garalone Portugalsko
Garamicina BrazÌlie, Ekvádor, Kolumbie, Mexiko
Garamycin Chorvatsko, Dánsko, Egypt, Indie, Nizozemsko, Norsko, Polsko, Spojené arabské emiráty, Švýcarsko, ÿecko
Genmisin Turecko
Gensif Turecko
Gensumycin Finsko, Norsko, Švédsko
Genta-Gobens äpanÏlsko
Gentalline Maroko
Gentamen Maroko
Genticin Irsko, Spojené arabské emiráty, Velká Británie
Gentreks Turecko
Hexamycin Dánsko
Plurisemina Argentina
Refobacin Egypt, Kolumbie, NÏmecko, Rakousko
Rupegen Argentina
Stabilita směsí   injekce   Stabilita směsí : Gentamicin sulfate     
Obal RozpouötÏdlo Koncentrace SlouËenina Teplota Uchovávání Trvání stability Odkazy
Sklo Chlorid sodný 0,9% 0,75 mg/ml
injekce   Gentamicin sulfate   
injekce   Granisetron hydrochloride 0,5 mg/ml
20°C-23°C
4 Hodina
SvÏtlo 57
Úroveň zkoušky A+
Sklo Chlorid sodný 0,9% 1 mg/ml
injekce   Gentamicin sulfate   
injekce   Cefpirome sulfate 50 mg/ml
23°C
8 Hodina
SvÏtlo 280
Úroveň zkoušky B+
Sklo Chlorid sodný 0,9% 0,8 mg/ml
injekce   Gentamicin sulfate   
injekce   Cefazolin sodium 10 mg/ml
injekce   Clindamycin phosphate 9 mg/ml
25°C
12 Hodina
SvÏtlo 695
JOKER
Sklo GlukÛza 5% 1 mg/ml
injekce   Gentamicin sulfate   
injekce   Cefpirome sulfate 50 mg/ml
23°C
8 Hodina
SvÏtlo 280
Úroveň zkoušky B+
Sklo GlukÛza 5% 0,32 mg/ml
injekce   Gentamicin sulfate   
injekce   Dopamine hydrochloride 0,8 mg/ml
23°C-25°C
24 Hodina
SvÏtlo 738
JOKER
Sklo GlukÛza 5% 0,8 mg/ml
injekce   Gentamicin sulfate   
injekce   Cefazolin sodium 10 mg/ml
injekce   Clindamycin phosphate 9 mg/ml
25°C
1 Hodina
SvÏtlo 695
JOKER
Sklo GlukÛza 5% 3,2 mg/ml
injekce   Gentamicin sulfate   
injekce   Filgrastim 40 µg/ml
25°C
4 Hodina
Nespecifikováno 104
Úroveň zkoušky B
Sklo GlukÛza 5% 5.26 mg/ml
injekce   Gentamicin sulfate   
injekce   Palonosetron hydrochloride 26.7 µg/ml
25°C
4 Hodina
Nespecifikováno 2228
Úroveň zkoušky A+
Sklo RingerŐs laktátový roztok 1 mg/ml
injekce   Gentamicin sulfate   
injekce   Cefpirome sulfate 50 mg/ml
23°C
8 Hodina
SvÏtlo 280
Úroveň zkoušky B+
Sklo Chlorid sodný 0,45% 1 mg/ml
injekce   Gentamicin sulfate   
injekce   Cefpirome sulfate 50 mg/ml
23°C
8 Hodina
SvÏtlo 280
Úroveň zkoušky B+
Sklo Žádné 0,8 mg/ml
injekce   Gentamicin sulfate   
injekce   Ofloxacin 2 mg/ml
25°C
48 Hodina
Nespecifikováno 889
Úroveň zkoušky D
Polyvinyl chlorid Chlorid sodný 0,9% 1,2 mg/ml
injekce   Gentamicin sulfate   
injekce   Clindamycin phosphate 9 mg/ml
-20°C
28 Den
Chráněno před světlem 565
Úroveň zkoušky D
Polyvinyl chlorid Chlorid sodný 0,9% 1 mg/ml
injekce   Gentamicin sulfate   
injekce   Ciprofloxacin lactate 1,5 mg/ml
25°C
48 Hodina
SvÏtlo 434
Polyvinyl chlorid Chlorid sodný 0,9% 0,2 & 0,8 mg/ml
injekce   Gentamicin sulfate   
injekce   Aztreonam 10 & 20 mg/ml
25°C
8 Hodina
Nespecifikováno 19
Úroveň zkoušky D
Polyvinyl chlorid Chlorid sodný 0,9% 0,2 & 0,8 mg/ml
injekce   Gentamicin sulfate   
injekce   Aztreonam 10 & 20 mg/ml
4°C
24 Hodina
Chráněno před světlem 19
Úroveň zkoušky D
Polyvinyl chlorid Chlorid sodný 0,9% 1 mg/ml
injekce   Gentamicin sulfate   
injekce   Ciprofloxacin lactate 1,5 mg/ml
4°C
48 Hodina
Chráněno před světlem 434
Polyvinyl chlorid GlukÛza 5% 1,2 mg/ml
injekce   Gentamicin sulfate   
injekce   Clindamycin phosphate 9 mg/ml
-20°C
28 Den
Chráněno před světlem 565
Úroveň zkoušky D
Polyvinyl chlorid GlukÛza 5% 5 mg/ml
injekce   Gentamicin sulfate   
injekce   Clindamycin phosphate 6 mg/ml
25°C
24 Hodina
SvÏtlo 423
Úroveň zkoušky D
Polyvinyl chlorid GlukÛza 5% 1 mg/ml
injekce   Gentamicin sulfate   
injekce   Ciprofloxacin lactate 1,5 mg/ml
25°C
48 Hodina
SvÏtlo 434
Polyvinyl chlorid GlukÛza 5% 0,2 & 0,8 mg/ml
injekce   Gentamicin sulfate   
injekce   Aztreonam 10 & 20 mg/ml
25°C
8 Hodina
Nespecifikováno 19
Úroveň zkoušky D
Polyvinyl chlorid GlukÛza 5% 0,2 & 0,8 mg/ml
injekce   Gentamicin sulfate   
injekce   Aztreonam 10 & 20 mg/ml
4°C
24 Hodina
Chráněno před světlem 19
Úroveň zkoušky D
Polyvinyl chlorid GlukÛza 5% 1 mg/ml
injekce   Gentamicin sulfate   
injekce   Ciprofloxacin lactate 1,5 mg/ml
4°C
48 Hodina
Chráněno před světlem 434
Polyvinyl chlorid Extraneal® (Baxter) 0,02 mg/ml
injekce   Gentamicin sulfate   
injekce   Cefazolin sodium 0,5 mg/ml
25°C
4 Den
Chráněno před světlem 3888
Úroveň zkoušky D
Polyvinyl chlorid Extraneal® (Baxter) 0,02 mg/ml
injekce   Gentamicin sulfate   
injekce   Vancomycin hydrochloride 1 mg/ml
25°C
14 Den
Chráněno před světlem 3888
Úroveň zkoušky D
Polyvinyl chlorid Extraneal® (Baxter) 0,02 mg/ml
injekce   Gentamicin sulfate   
injekce   Vancomycin hydrochloride 1 mg/ml
37°C
4 Den
Chráněno před světlem 3888
Úroveň zkoušky D
Polyvinyl chlorid Extraneal® (Baxter) 0,02 mg/ml
injekce   Gentamicin sulfate   
injekce   Cefazolin sodium 0,5 mg/ml
37°C
24 Hodina
Chráněno před světlem 3888
Úroveň zkoušky D
Polyvinyl chlorid Extraneal® (Baxter) 0,02 mg/ml
injekce   Gentamicin sulfate   
injekce   Cefazolin sodium 0,5 mg/ml
4°C
14 Den
Chráněno před světlem 3888
Úroveň zkoušky D
Polyethylen Voda pro injekci 2,5 mg/ml
injekce   Gentamicin sulfate   
injekce   Trisodium citrate 40 mg/ml
25°C
112 Den
Chráněno před světlem 3141
Úroveň zkoušky B
polypropylen Chlorid sodný 0,9% 0,1 mg/ml
injekce   Gentamicin sulfate   
injekce   Heparin sodium 5000 UI/ml
4°C
28 Den
Nespecifikováno 3956
Biologická metoda
Polyoleofin Žádné 0,75 mg/ml
injekce   Gentamicin sulfate   
injekce   Linezolid 1,80 mg/ml
23°C
5 Den
Chráněno před světlem 2353
Úroveň zkoušky B+
Polyoleofin Žádné 0,75 mg/ml
injekce   Gentamicin sulfate   
injekce   Linezolid 1,80 mg/ml
4°C
7 Den
Chráněno před světlem 2353
Úroveň zkoušky B+
stříkačka polypropylen Chlorid sodný 0,9% 30 mg/ml
injekce   Gentamicin sulfate   
injekce   Clindamycin phosphate 90 mg/ml
22°C-23°C
48 Hodina
SvÏtlo 639
Úroveň zkoušky D
Nespecifikováno Voda pro injekci 2,5 mg/ml
injekce   Gentamicin sulfate   
injekce   Sodium citrate 40 mg/ml
37°C
96 Hodina
Nespecifikováno 3952
Úroveň zkoušky A
Nespecifikováno Chlorid sodný 0,9% 1,5 mg/ml
injekce   Gentamicin sulfate   
injekce   Daptomycin 19,2 mg/ml
22°C-28°C
2 Hodina
Nespecifikováno 1937
Úroveň zkoušky C+

  Mentions Légales