آخر تحديث :
18/03/2026
مضاد حيوي   Gentamicin sulfate  
حقن
قطرات العين
الاستقرار في حلول استقرار مخاليط العوامل التي تؤثر على الاستقرار التوافق طريقة التعاطي مراجع pdf
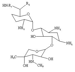
   التركيب الكيميائي  

حجز الاسم التجاري   حجز الاسم التجاري     

تحذير الأسماء التجاريه المختلفه قد تحتوي علي محتوي إضافات مختلفة حسب الدوله و المعمل

Azupel بيرو
Cidomycin بريطانيا العظمي, تونس, مصر
Dabroson يونان
Epigent مصر
Garalone البرتغال
Garamicina الإكوادور, البرازيل, المكسيك, كولومبيا
Garamycin الإمارات العربية المتحدة, الدنمارك, النرويج, الهند, بولندا, سويسرا, كرواتيا, مصر, هولندا, يونان
Genmisin تركيا
Gensif تركيا
Gensumycin السويد, النرويج, فنلندا
Genta-Gobens إسبانيا
Gentalline المغرب
Gentamen المغرب
Genticin الإمارات العربية المتحدة, ايرلندا, بريطانيا العظمي
Gentreks تركيا
Hexamycin الدنمارك
Plurisemina الأرجنتين
Refobacin ألمانيا, النمسا, كولومبيا, مصر
Rupegen الأرجنتين
استقرار مخاليط   حقن   استقرار مخاليط : Gentamicin sulfate     
حاوية مذيب تركيز مركب درجة الحرارة تخزين مدة الاستقرار مراجع
زجاج كلوريد الصوديوم 0.9% 0,75 mg/ml
حقن   Gentamicin sulfate   
حقن   Granisetron hydrochloride 0,5 mg/ml
20°C-23°C
4 ساعة
ضوء 57
 A+ مستوى الأدلة
زجاج كلوريد الصوديوم 0.9% 1 mg/ml
حقن   Gentamicin sulfate   
حقن   Cefpirome sulfate 50 mg/ml
23°C
8 ساعة
ضوء 280
B+ مستوى الأدلة
زجاج كلوريد الصوديوم 0.9% 0,8 mg/ml
حقن   Gentamicin sulfate   
حقن   Cefazolin sodium 10 mg/ml
حقن   Clindamycin phosphate 9 mg/ml
25°C
12 ساعة
ضوء 695
joker
زجاج الجلوكوز %5 1 mg/ml
حقن   Gentamicin sulfate   
حقن   Cefpirome sulfate 50 mg/ml
23°C
8 ساعة
ضوء 280
B+ مستوى الأدلة
زجاج الجلوكوز %5 0,32 mg/ml
حقن   Gentamicin sulfate   
حقن   Dopamine hydrochloride 0,8 mg/ml
23°C-25°C
24 ساعة
ضوء 738
joker
زجاج الجلوكوز %5 0,8 mg/ml
حقن   Gentamicin sulfate   
حقن   Cefazolin sodium 10 mg/ml
حقن   Clindamycin phosphate 9 mg/ml
25°C
1 ساعة
ضوء 695
joker
زجاج الجلوكوز %5 3,2 mg/ml
حقن   Gentamicin sulfate   
حقن   Filgrastim 40 µg/ml
25°C
4 ساعة
لم يتم تحديد 104
B مستوى الأدلة
زجاج الجلوكوز %5 5.26 mg/ml
حقن   Gentamicin sulfate   
حقن   Palonosetron hydrochloride 26.7 µg/ml
25°C
4 ساعة
لم يتم تحديد 2228
 A+ مستوى الأدلة
زجاج محلول رينجر  اللاكتات 1 mg/ml
حقن   Gentamicin sulfate   
حقن   Cefpirome sulfate 50 mg/ml
23°C
8 ساعة
ضوء 280
B+ مستوى الأدلة
زجاج كلوريد الصوديوم 0.45% 1 mg/ml
حقن   Gentamicin sulfate   
حقن   Cefpirome sulfate 50 mg/ml
23°C
8 ساعة
ضوء 280
B+ مستوى الأدلة
زجاج لا شيء 0,8 mg/ml
حقن   Gentamicin sulfate   
حقن   Ofloxacin 2 mg/ml
25°C
48 ساعة
لم يتم تحديد 889
D مستوى الأدلة
البولي فينيل كلوريد كلوريد الصوديوم 0.9% 1,2 mg/ml
حقن   Gentamicin sulfate   
حقن   Clindamycin phosphate 9 mg/ml
-20°C
28 يوم
بعيدا عن الضوء 565
D مستوى الأدلة
البولي فينيل كلوريد كلوريد الصوديوم 0.9% 1 mg/ml
حقن   Gentamicin sulfate   
حقن   Ciprofloxacin lactate 1,5 mg/ml
25°C
48 ساعة
ضوء 434
البولي فينيل كلوريد كلوريد الصوديوم 0.9% 0,2 & 0,8 mg/ml
حقن   Gentamicin sulfate   
حقن   Aztreonam 10 & 20 mg/ml
25°C
8 ساعة
لم يتم تحديد 19
D مستوى الأدلة
البولي فينيل كلوريد كلوريد الصوديوم 0.9% 0,2 & 0,8 mg/ml
حقن   Gentamicin sulfate   
حقن   Aztreonam 10 & 20 mg/ml
4°C
24 ساعة
بعيدا عن الضوء 19
D مستوى الأدلة
البولي فينيل كلوريد كلوريد الصوديوم 0.9% 1 mg/ml
حقن   Gentamicin sulfate   
حقن   Ciprofloxacin lactate 1,5 mg/ml
4°C
48 ساعة
بعيدا عن الضوء 434
البولي فينيل كلوريد الجلوكوز %5 1,2 mg/ml
حقن   Gentamicin sulfate   
حقن   Clindamycin phosphate 9 mg/ml
-20°C
28 يوم
بعيدا عن الضوء 565
D مستوى الأدلة
البولي فينيل كلوريد الجلوكوز %5 5 mg/ml
حقن   Gentamicin sulfate   
حقن   Clindamycin phosphate 6 mg/ml
25°C
24 ساعة
ضوء 423
D مستوى الأدلة
البولي فينيل كلوريد الجلوكوز %5 1 mg/ml
حقن   Gentamicin sulfate   
حقن   Ciprofloxacin lactate 1,5 mg/ml
25°C
48 ساعة
ضوء 434
البولي فينيل كلوريد الجلوكوز %5 0,2 & 0,8 mg/ml
حقن   Gentamicin sulfate   
حقن   Aztreonam 10 & 20 mg/ml
25°C
8 ساعة
لم يتم تحديد 19
D مستوى الأدلة
البولي فينيل كلوريد الجلوكوز %5 0,2 & 0,8 mg/ml
حقن   Gentamicin sulfate   
حقن   Aztreonam 10 & 20 mg/ml
4°C
24 ساعة
بعيدا عن الضوء 19
D مستوى الأدلة
البولي فينيل كلوريد الجلوكوز %5 1 mg/ml
حقن   Gentamicin sulfate   
حقن   Ciprofloxacin lactate 1,5 mg/ml
4°C
48 ساعة
بعيدا عن الضوء 434
البولي فينيل كلوريد Extraneal  (باكستر) 0,02 mg/ml
حقن   Gentamicin sulfate   
حقن   Cefazolin sodium 0,5 mg/ml
25°C
4 يوم
بعيدا عن الضوء 3888
D مستوى الأدلة
البولي فينيل كلوريد Extraneal  (باكستر) 0,02 mg/ml
حقن   Gentamicin sulfate   
حقن   Vancomycin hydrochloride 1 mg/ml
25°C
14 يوم
بعيدا عن الضوء 3888
D مستوى الأدلة
البولي فينيل كلوريد Extraneal  (باكستر) 0,02 mg/ml
حقن   Gentamicin sulfate   
حقن   Vancomycin hydrochloride 1 mg/ml
37°C
4 يوم
بعيدا عن الضوء 3888
D مستوى الأدلة
البولي فينيل كلوريد Extraneal  (باكستر) 0,02 mg/ml
حقن   Gentamicin sulfate   
حقن   Cefazolin sodium 0,5 mg/ml
37°C
24 ساعة
بعيدا عن الضوء 3888
D مستوى الأدلة
البولي فينيل كلوريد Extraneal  (باكستر) 0,02 mg/ml
حقن   Gentamicin sulfate   
حقن   Cefazolin sodium 0,5 mg/ml
4°C
14 يوم
بعيدا عن الضوء 3888
D مستوى الأدلة
البولي ايثيلين حقن المياه لل 2,5 mg/ml
حقن   Gentamicin sulfate   
حقن   Trisodium citrate 40 mg/ml
25°C
112 يوم
بعيدا عن الضوء 3141
B مستوى الأدلة
البولي بروبلين كلوريد الصوديوم 0.9% 0,1 mg/ml
حقن   Gentamicin sulfate   
حقن   Heparin sodium 5000 UI/ml
4°C
28 يوم
لم يتم تحديد 3956
التحليل البيولوجي
البولي فين لا شيء 0,75 mg/ml
حقن   Gentamicin sulfate   
حقن   Linezolid 1,80 mg/ml
23°C
5 يوم
بعيدا عن الضوء 2353
B+ مستوى الأدلة
البولي فين لا شيء 0,75 mg/ml
حقن   Gentamicin sulfate   
حقن   Linezolid 1,80 mg/ml
4°C
7 يوم
بعيدا عن الضوء 2353
B+ مستوى الأدلة
محقنة البولي بروبلين كلوريد الصوديوم 0.9% 30 mg/ml
حقن   Gentamicin sulfate   
حقن   Clindamycin phosphate 90 mg/ml
22°C-23°C
48 ساعة
ضوء 639
D مستوى الأدلة
لم يتم تحديد حقن المياه لل 2,5 mg/ml
حقن   Gentamicin sulfate   
حقن   Sodium citrate 40 mg/ml
37°C
96 ساعة
لم يتم تحديد 3952
A مستوى الأدلة
لم يتم تحديد كلوريد الصوديوم 0.9% 1,5 mg/ml
حقن   Gentamicin sulfate   
حقن   Daptomycin 19,2 mg/ml
22°C-28°C
2 ساعة
لم يتم تحديد 1937
C+ مستوى الأدلة

  Mentions Légales