Ostatnia aktualizacja :
18/03/2026
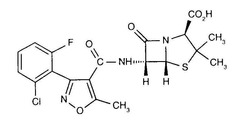
Antybiotyk   Flucloxacillin sodium  
Injekcje
Trwałość roztworów Trwałość w mieszaninie Czynnik wpływający na trwałość Zgodność Sposób podania Bibliografia pdf
   Struktura chemiczna  

Nazwa handlowa   Nazwa handlowa     

Trade names are indicative and excipients composition can be different depending on the country and manufacturers

Astaph Maroko
Betabiotic Włochy
DBL flucloxacillin sodium Australia
Flix Turcja
Floxam Maroko
Floxapen Arabia Saudyjska, Austria, Belgia, Holandia, Maroko, Polska, Portugalia, Stany Zjednoczone Ameryki, Szwajcaria, Włochy
Flucloxacillin Australia, Niemcy, Wielka Brytania, Włochy
Flucloxacilline Belgia, Francja , Holandia
Flucloxin nowa Zelandia
Ladropen Stany Zjednoczone Ameryki
Stafoxil Holandia
Staphylex Niemcy

Czynnik wpływający na trwałość   Injekcje   Czynnik wpływający na trwałość : Flucloxacillin sodium        
Bibliografia
Rozpuszczalnik Żywienie pozajelitowe (lipidami) Wywołuje Degradacja 3522
Rozpuszczalnik Odżywianie pozajelitowe (mieszanina binarny) Wywołuje Degradacja 3522
Temperatura 37°C Wywołuje Degradacja 3189
pH pH = 6.5 Wywołuje Wzmożona stabilność 3189

  Mentions Légales