zadnja posodobitev :
18/03/2026
Antibiotik   Flucloxacillin sodium  
Brizgalka
Stabilnost raztopine Stabilnost mešanice Faktorji, ki vplivajo na stabilnost Kompatibilnost način aplikacije Viri pdf
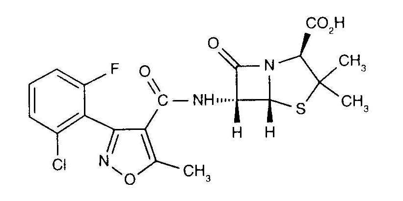
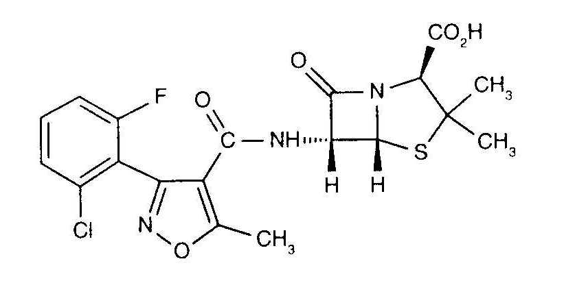
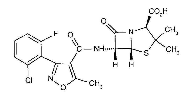
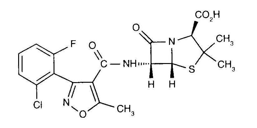
   Kemična formula  

Lastniško ime   Lastniško ime     

Sestava pomožnih snovi je med paralelami lahko različna

Astaph Maroko
Betabiotic Italija
DBL flucloxacillin sodium Avstralija
Flix Turčija
Floxam Maroko
Floxapen Avstrija, Belgija, Italija, Maroko, Nizozemska, Poljska, Portugalska, Savdska Arabija, Švica, Združene države Amerike
Flucloxacillin Avstralija, Italija, Nemčija, Velika Britanija
Flucloxacilline Belgija, Francija, Nizozemska
Flucloxin nova Zelandija
Ladropen Združene države Amerike
Stafoxil Nizozemska
Staphylex Nemčija

Faktorji, ki vplivajo na stabilnost   Brizgalka   Faktorji, ki vplivajo na stabilnost : Flucloxacillin sodium        
Viri
Topilo Parenteralna prehrana (z lipidi) Inducirati Degradacija 3522
Topilo Parenteralna prehrana (binarno zmes) Inducirati Degradacija 3522
Temperatura 37°C Inducirati Degradacija 3189
pH pH = 6.5 Inducirati Podaljšana stabilnost 3189

  Mentions Légales